静安旁!大华公园柏翠 2025 官方发布,中环公园好房引争抢!

搜狐焦点广安站 2025-10-12 17:35:28
用手机看
扫描到手机,新闻随时看

扫一扫,用手机看文章
更加方便分享给朋友

上海宝山大华公园柏翠咨询热线:4009665004(享限时高额返现)【400-9665-004√√√24小时预约热线】上海宝山大华公园柏翠售楼处电话:400-9665004

上海宝山大华公园柏翠售楼处热线;4009665004(开发商统一电话)上海宝山大华公园柏翠售楼处电话;4009665004(预约看房热线)上海宝山大华公园柏翠咨询热线:4009665004(享限时高额返现)【400-9665-004√√√24小时预约热线】上海宝山大华公园柏翠售楼处电话:400-9665004一对一上海宝山大华公园柏翠热情服务热线:400966-5004(了解最新优惠)上海宝山大华公园柏翠开盘时间优惠力度交付时间300万-500万新房怎么选?上海宝山大华公园柏翠更多优惠楼盘详情?4009665004最新现状.户型图.上海宝山大华公园柏翠属于什么档次?上海宝山大华公园柏翠4009665004为什么便宜?上海宝山大华公园柏翠4009665004营销处

温馨提示:看房务必致电与销售确认时间,可获取新房特价房/工抵房,以及售楼部最新折扣优惠!

编辑

搜图

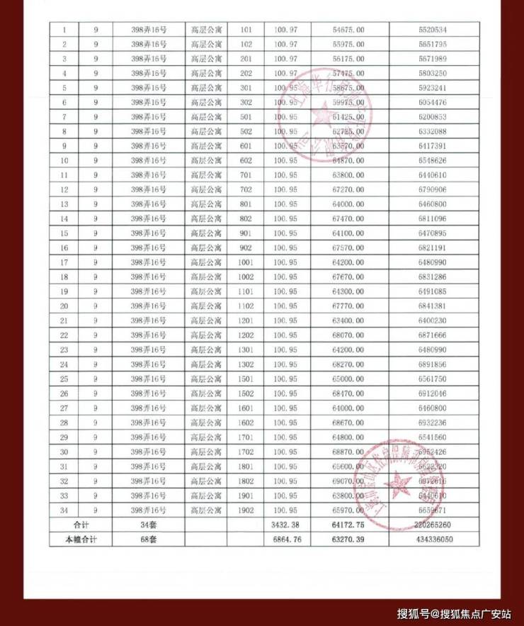
【大华·公园柏翠】开始认购

加推约101-142㎡3-4房

均价66,589元/㎡

今年,很多人都在说:中环内外一千万也挑不出好盘。

因为像黄浦、老静安等区域都已经来到了约14.6-17.6万/㎡的价格,并且大多数的项目都是大户型为主,总价门槛都在约2500万以上。

编辑

搜图

尤其是静安新房的门槛,更是让人惊叹。

苏河湾已经有大量约13.3万/㎡的新房入市;

大宁虽没有新房,但 中环外二手次新房的挂牌价格都在约12万/㎡+。

编辑

搜图

所以,今年很多人都在感叹,现在一千万也难买中环。

但接下来,会有一个超劲爆的项目入市!

一个距离静安只有约400米、距离中环线直线约3km的,但是均价惊喜的项目: 大华公园柏翠

编辑

搜图

这个价格,这个位置,大华公园柏翠无疑将成为上海下一个爆点项目。

编辑

搜图

效果图,仅供参考

大华公园柏翠售楼处&样板间已正式开放,以现象级的热度席卷整个北上海。示范区和样板间人气如炙,现场人山人海,热度空前! 来看现场情况:

编辑

搜图

编辑

搜图

01 中环之上、大宁之上

上海距离静安更近的新房

在地段上,项目有三个标签:

项目距离静安直线约400米、地铁3站大宁核心区!

项目距离中环线约3km!

繁华配套!

我们来解析以上这三个标签。

第一,距离静安直线约400米、地铁3站大宁核心意味着什么?

一方面,这意味着距离静安、黄浦更近,直接影响上班通勤便捷性,即使你将来换工作,只要还占位外环内,不管单位在哪里,都能从容应对。

编辑

搜图

要知道,如今置业肉眼可见的边缘化,主力供应已到外环外5-10公里,如今却还能碰到 大华公园柏翠,甚是难得。

尤其对于工作在大宁的小伙伴来说,1号线3站就是上海马戏城,大宁核心区。

编辑

搜图

目前的大宁已是大家公认的北上海新的商业、产业中心。

约56万平大宁音乐广场、约25万平大宁国际商业广场、约30万平大宁久光百货,静安大融城等商场一路连缀。

编辑

搜图

这个出行便捷度,在同能级的板块中,几乎是属于一梯队。

另外一方面,这意味着大华公园柏翠有出众的未来前景。

举个例子:整个浦东外环外,唐镇无疑是王者级的。约10万+的二手房房价、约7万+的新房价格,板块价值可见一斑。

而造成这种原因也很简单: 唐镇距离张江仅3站

于是,唐镇就成为了张江精英们外溢的首站。而围绕着这些精英,唐镇落地了大量高能级的教育、商业、生态等资源。

这样的良性循环,让这个板块的价值水涨船高,甚至突破环线价格限制。

编辑

搜图

同样道理,大华公园柏翠距离静安直线约400米、1号线3站即大宁核心商圈,是整个上海距离静安最近的新房。

对于工作在大宁、苏河湾、静安寺、南京西路、人民广场、虹口等区域的购房者来说,大华公园柏翠就是地段更好的新房。

并且相比静安、大宁的约1500万级置业门槛,大华公园柏翠的价格几乎是差了一半多,这样的性价比谁能抵挡?

未来当大水漫灌下,大华公园柏翠的项目价值、配套能级、居住氛围和圈层,都会有大提升。

第二,项目距离中环线约3km!

与大华公园柏翠同纬度的板块,新房均价起码约8.58万/㎡起,单价约10万+的区域比比皆是。

编辑

搜图

第三,已经成熟的繁华配套!

商业配套方面,项目周边从生活配套到高端商场到大型商超,应有尽有。

· 地铁3站直达:大宁久光中心、大宁音乐广场、大宁国际商业广场等

· 周边约900M范围:共康商圈、社区邻里中心商业广场、场北集贸市场、北斗星广场

· 直线距离约1.5KM范围内:宝山万达广场、宝山购物中心等

· 直线距离约2.7KM:宝山日月光,多类型商业形态荟萃

编辑

搜图

编辑

搜图

教育方面,项目周边教育资源丰富,包括陈伯吹实验幼儿园(上海市示范幼儿园)、陈伯吹实验小学,华师大宝山实验学校等学校。

项目正南侧一墙之隔,还有 九年一贯制公办学校在建设中。

免责声明:以上教育资源整理仅代表楼盘与学校的距离,该房屋所在项目暂未划分学区,开发商不对项目交房后所属学区、学校做任何承诺。教育资源分配或学校/学区划分以及学校的具体招生规则等请以政府相关主管部门、教育机构公开的最新信息为准。

生态方面,项目坐拥五大公园:

约80万方伟岸绿境环抱,包括千亩绿境(约60万方绿化在侧),约3万方庙行公园、约4.2万方共和公园,约2.7万方三泉公园、约9.3万方彭浦四季公园等。

这样的生态能级,媲美“新江湾湿地公园、世纪公园、长风公园”等,拥享“自然生态+稀臻难寻”双重价值属性。

编辑

搜图

不管是从出行便捷度、未来潜力、现有配套还是同纬度的对比中,大华公园柏翠的地段都是更具竞争力的。光凭这一点,这个项目就已经足够有吸引力了。

但在产品力上,大华依旧给了我们足够的诚意和惊喜。

02 建面约101-142㎡神户型

一梯两户的无连廊飞机户型

项目整个社区由4栋16层、10栋17层小高层组成, 是纯粹的低密小高层住宅

一方面,小高层在近期的上海市场中非常稀缺,尤其是在中环线上的位置上,小高层住宅凤毛麟角。

但另外一方面,小高层 天然的高得房率、私密性和居住舒适度也保证了这个产品的受欢迎程度

换句话说,大华公园柏翠的产品力,从天赋上就已经与其他项目拉开了差距。

其次,产品上:项目建面约101-124㎡房源 一梯两户、建面约142㎡ 两梯两户

而这意味着, 大部分的房源均是无连廊的设计,将带来更高的采光通透度、更好的通风以及更高的得房率。

再加上项目飞机户型的设计,室内几乎0空间浪费,即使是小户型也有超高的尺度感。

具体来看:

编辑

搜图

建面约101㎡3房2卫户型,非常标准的飞机户型。

三开间朝南整体约11.5米的面宽。什么概念呢?

上海这些年其实也有不少三开间朝南的飞机户型,但都不如了大华公园柏翠。

例如以下这个: 总价约千万左右,建面约104㎡的房源。

这个项目凭借着出色的户型,获得了不少高净值人群的青睐,但他约104㎡的户型南向面宽只有10.2米,比大华公园柏翠约101㎡的户型还小了约1.3米。

别小看这约1.3米,整体的尺度感完全不同。

编辑

搜图

更重要的是,项目是 大横厅+超大阳台的设计。撑起气场的同时,也能为家庭带来更多的生活想象。

另外,南北通透+3房5飘窗的设计,保证了户型的通风以及视野。

超大的U型厨房十分宽绰,让切配煮更加合理从容。

细节方面,次卫的干湿分离也能保证室内的干燥,入户的玄关、主卧的套房,保证了主人的私密空间。

这个户型拥有一个“好户型”的所有特质,上车必看的首选户型!

编辑

搜图

建面约124㎡的4房2卫户型,通常来说是紧凑型的户型。

但得益于 无连廊+飞机户型带来的高得房率,这个户型的尺度感非常惊人。

就拿餐厅而言,这个户型可以 放下一个5-6人的圆桌,可以满足一大家子围坐大圆桌吃饭的需求。

另外,项目是4房中少有的 4开间朝南、3房朝南的设计,采光度十分出色。

编辑

搜图

真正一步到位的改善型4房产品,大横厅的设计,

四开间朝南+大横厅,约15.4米的南向面宽堪比别墅。

大横厅也可以灵活运用在各种生活场景,例如作为妈妈的瑜伽室、孩子的游乐天地等,都是很好的选择。

这样的户型,能满足各个家庭成员的需求!

最后,还有一点: 项目将标配国际家装大牌、臻选精奢材质、把关精细施工,悉心规划4大定制系统、100+精工细节,精琢非凡空间。

03 比肩千万级豪宅的公区

约80米门头、星级酒店大堂、内外双公园...

大华公园柏翠是大华公园城市的四期地块,该地块为协议出让用地,就在大华公园城市三期的南侧。

编辑

搜图

社区方面,项目容积率2.2,清一色16-17层小高层,低密人居大境, 整个社区不管是采光、视野还是人均绿化率都很可观!

编辑

搜图

效果图,仅供参考

另外,有几大细节值得重点强调:

第一,约80米气派门头,这是整个北上海少有的配置,给业主更加尊崇的归家体验。

编辑

搜图

效果图,仅供参考

第二,高感车库,如果您是车行归家,那这个车库将给你千万级豪宅才有的礼遇。

第三,星级酒店大堂,从用料到颜值,整个大华公园柏翠的表现都将非常出众。

编辑

搜图

效果图,仅供参考

第四,奢氧无界秘境·内外双园。

项目社区秉承“内外双公园、城市公园一体化”理念,打造出“一轴、一带、一环、九大花园空间”的生态品质社区。

编辑

搜图

效果图,仅供参考

编辑

搜图

效果图,仅供参考

编辑

搜图

编辑

搜图

编辑

搜图

距中环约3公里大宁北 宝山·共康双轨交1/18号线 中环公园大盘【大华·公园柏翠】

编辑

搜图

上海宝山大华公园柏翠售楼处电话:4009665004【上海宝山大华公园柏翠开发商售楼中心热线】上海宝山大华公园柏翠营销中心热线400-9665-004上海宝山大华公园柏翠售楼处地址4009665-004,售楼处电话楼盘项目全面介绍,上海宝山大华公园柏翠业主评论?上海宝山大华公园柏翠4009665004真实评价?是学区房吗?都是住什么人?上海宝山大华公园柏翠400 966 5004发布 新 优缺点 400 9665 004利弊?上海宝山大华公园柏翠本电话为开发商提供线上预约售楼电话,400/966/5004楼盘项目在哪里

上海宝山大华公园柏翠(包含楼盘简介,均价,上海宝山大华公园柏翠房价,现房,期房,别墅,叠墅,大平层,价格,楼盘地址,上海宝山大华公园柏翠户型图,交通规划,备案价,备案名,上海宝山大华公园柏翠400 9665 004项目配套,样板间,开盘时间,认筹时间,楼盘详情,售楼处电话,最新消息,最新详情,上海宝山大华公园柏翠400 9665 004是学区房吗?周边配套,一房一价,上海宝山大华公园柏翠400 9665 004最新进展等详情咨询)楼盘详情丨价格丨400 9665 004更多优惠丨机不可失丨欢迎致电丨诚邀品鉴!售楼处位置丨特价房丨工抵房丨剩余房源丨户型图丨最新消息丨

免责声明:将文章内容综合来源于网络、只作分享,版权归原作者所有!!如有侵权,请联系我们,我们第一时间处理如有问题欢迎来电咨询,专业一对一热情服务,让您用专业眼光去买房。如果您想了解更多楼盘详情,欢迎提前预约拨打

上海宝山大华公园柏翠售楼处电话☎400_966_5004(开发商统一电话)✔✔✔

上海宝山大华公园柏翠房价-价格☎400_966_5004(售楼处认证)

房产必看!总结买房全攻略

在房产交易市场中,无论是首次置业的新手,还是准备改善住房的购房者,掌握专业的房产知识都至关重要。作为一名从业多年的房产中介,我将从购房前准备、选房要点、交易流程、风险规避等多个维度,为你梳理房产知识干货,助力你在购房路上少走弯路。

编辑

搜图

一、购房前:明确需求,做好资金规划

(一)确定购房目的

购房者需要先明确自己的购房目的。是刚需自住,为了拥有稳定的住所;还是改善居住,追求更大的空间、更好的居住环境;亦或是投资,期望房产实现保值增值。不同的购房目的,对应着不同的选房侧重点。比如刚需购房者更注重房屋的价格、交通便利性和周边基础生活配套;投资型购房者则更关注房产的区位发展潜力、租金回报率等。

(二)资金准备与预算规划

1.首付款计算:了解当地的首付比例政策,一般首套房首付比例在20%-30%左右,二套房首付比例可能会提高至40%甚至更高。计算出自己能够承担的首付款金额,例如计划购买一套总价200万的房子,若首付比例为30%,则首付款为60万。

2.贷款能力评估:向银行或金融机构咨询贷款政策,评估自己的还款能力。一般来说,银行会要求购房者的月还款额不超过其月收入的50%。可以使用贷款计算器,测算不同贷款金额、贷款年限下的月供金额,结合自身收入情况,确定合理的贷款额度和贷款年限。

编辑

搜图

3.其他费用预算:除了首付款和贷款,购房还会产生契税、维修基金、物业费、中介费(如果通过中介购房)等费用。契税根据房屋面积和购房套数不同,税率在1%-3%不等;维修基金通常按照房屋总价的一定比例缴纳。提前了解这些费用,做好资金预算,避免出现资金缺口。

二、选房:多维度考量,选出心仪好房

(一)区位选择

1.地段价值:地段是决定房产价值的关键因素之一。核心地段的房产,通常交通便利、配套完善、发展成熟,具有较强的保值增值能力。例如城市的中心商务区、政务区,以及新兴的重点发展区域,都是比较优质的地段选择。

2.交通配套:优先选择靠近地铁、公交枢纽的楼盘,方便日常出行。对于有私家车的购房者,要关注周边道路的规划和交通拥堵情况,以及小区的停车位配比是否充足。

3.生活配套:考察楼盘周边的商业、教育、医疗、休闲等配套设施。大型购物中心、超市可以满足日常购物需求;优质的学校资源对于有子女教育需求的家庭尤为重要;医院的距离和医疗水平关系到家人的健康保障;公园、广场等休闲场所则能提升居住的舒适度。

编辑

搜图

(二)楼盘与户型分析

1.开发商品牌与口碑:选择知名且信誉良好的开发商,其开发的楼盘在房屋质量、施工进度、物业服务等方面更有保障。可以通过网络搜索、业主论坛、实地考察等方式,了解开发商过往项目的评价和口碑。

2.楼盘规划与环境:关注楼盘的容积率、绿化率、楼间距等指标。容积率低、绿化率高的小区,居住密度小,环境优美;楼间距大则能保证充足的采光和通风。此外,还要了解小区的内部配套设施,如幼儿园、健身设施、社区活动中心等是否完善。

3.户型选择:根据家庭人口数量和居住需求,选择合适的户型。户型方正、南北通透、布局合理的房子更受欢迎。要注意房间的功能分区是否科学,动静分区是否明确,卧室、客厅、厨房等空间的尺寸是否合理,是否有浪费面积等问题。

三、房产交易:规范流程,保障权益

(一)签订购房合同

1.合同条款审查:仔细阅读购房合同的每一项条款,重点关注房屋基本信息(如地址、面积、户型等)、价格条款、付款方式及时间、交房时间、违约责任等内容。对于不理解或有疑问的条款,及时向开发商或中介咨询,必要时可以寻求律师的帮助。

2.补充协议:如果开发商有补充协议,同样要认真审查。补充协议中的条款可能会对双方的权利义务产生重要影响,避免出现不合理的附加条件或加重购房者责任的条款。

(二)贷款办理

1.准备贷款资料:一般需要提供身份证、户口本、结婚证(已婚人士)、收入证明、银行流水、征信报告等资料。确保资料真实、完整、有效,以提高贷款审批的通过率。

2.选择贷款银行:不同银行的贷款利率、贷款政策、审批速度等可能存在差异。可以多咨询几家银行,比较利率优惠、贷款额度、还款方式等,选择最适合自己的银行办理贷款。

3.贷款审批与放款:提交贷款申请后,银行会对购房者的资质进行审核。审核通过后,双方签订贷款合同,银行会按照约定的时间将贷款发放给开发商或卖方。

编辑

搜图

(三)房屋验收与交付

1.验收准备:交房前,购房者可以准备好相关工具,如卷尺、小锤子等,用于检查房屋的尺寸、墙面地面是否空鼓等问题。同时,了解房屋验收的标准和流程。

2.实地验收:按照合同约定的交房时间,前往楼盘进行房屋验收。重点检查房屋的质量问题,如墙面是否渗水、裂缝,门窗是否密封良好、开关灵活,水电线路是否正常,厨卫防水是否到位等。发现问题及时记录,并要求开发商整改。

3.办理交付手续:验收合格后,购房者需要缴纳相关费用,如物业费、契税等,然后办理房屋交付手续,领取房屋钥匙,完成房屋交接。

四、房产交易风险规避

(一)产权风险

1.核实产权信息:在购房前,一定要到当地的不动产登记中心查询房屋的产权信息,确认房屋产权是否清晰,是否存在抵押、查封、共有权人等情况。避免购买到产权有纠纷的房屋。

2.警惕小产权房:小产权房是指在农村集体土地上建设的房屋,未缴纳土地出让金等费用,其产权证不是由国家房管部门颁发。小产权房存在诸多风险,如无法办理合法产权证书、不能上市交易、面临拆迁可能得不到合理补偿等,建议购房者不要购买。

(二)市场风险

1.关注市场动态:房地产市场受政策、经济、供需关系等多种因素影响,价格会有波动。购房者要关注国家和地方的房地产政策变化,如限购、限贷、限售政策,以及利率调整等,了解市场的走势,合理选择购房时机。

2.理性购房:不要盲目跟风购房,避免在市场过热时高价买入。要根据自己的实际需求和经济实力,做出理性的购房决策。

掌握这些房产知识,能让你在房产交易中更加从容自信。如果你在购房过程中有任何疑问,欢迎随时咨询,我将竭诚为你提供专业的服务和建议。

声明:本文由入驻焦点开放平台的作者撰写,除焦点官方账号外,观点仅代表作者本人,不代表焦点立场。