静安玺樾(售楼处)首页网站-静安玺樾销售中心(营销中心)-静安玺樾楼盘欢迎您-小区环境-户型-价格-地址-楼盘详情-周边配套-售楼处电话

搜狐焦点广安站 2025-10-13 09:50:52
用手机看
扫描到手机,新闻随时看

扫一扫,用手机看文章
更加方便分享给朋友

静安玺樾售楼处电话:400-8878-824静安玺樾位于内环核心,价格攀升,总价千万置业机会难得,产品力强,地段优越,是静安内环新盘。

静安玺樾售楼处电话:400-8878-824

静安玺樾营销中心热线400-887-8824(官方预约看房热线)

静安玺樾

静安玺樾 售楼处电话:400-8878-824

【售楼处预约热线】(一对一热情服务)

看房请务必致电与销售确认时间,仅预约客户可享受开发商内部优惠,专属老带新推荐奖!

市场走势,瞬息万变,稍不留神,便会被时代抛弃!

而你知道吗?静安内环内的新房价格要冲18万/㎡了!

作为上海人公认的白月光,静安一直是沪上置业的大热门,即使是不那么核心的内中环,目前新房的预估售价也将超过16万/㎡

至于资源更集中的内环内,曹家渡项目更是17万+/㎡仍然强势售罄。

而下半年,刚成功出让的东斯文里地块预估售价或超过18万/㎡!

伴随着中小套型的放开,未来想买进静安甚至静安内环内,两三千万或是常态门槛!

静安玺樾售楼处电话:400-8878-824

静安玺樾营销中心热线400-887-8824(官方预约看房热线)

不少置业者们问,想要用千万级的总价买入静安内环内,现在还有机会吗?

静安玺樾的出现,就是一次难得上车的大好机会!

1、不可复制的地段天赋。站位静安内环内核芯区域,享塔尖资源,直线距离外滩仅约3.8km。1km里拥有百万方城市更新项目,苏河湾&北外滩、人民广场&陆家嘴等上海地标建筑尽收眼底。

2、稀缺的千万级总价。在区域内新房价格攀升时,静安玺樾12.5万/㎡的过会价格,比起周边的新房以及二手次新房,在板块内很有性价比。

3、多样化户型可供选择。建面约94-165㎡的二至四房,无论是改善还是刚需,都能找到心仪的户型款式,可满足各类人群的置业需求。

4、超高产品力、国企钜制。全精装交付,装标超乎想象,无愧于区域内同价格段项目天花板级别的存在。

静安玺樾售楼处电话:400-8878-824

静安玺樾营销中心热线400-887-8824(官方预约看房热线)

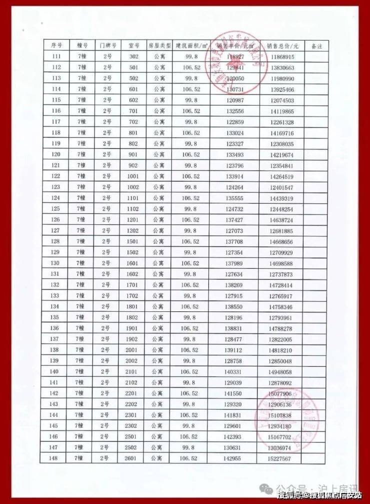
【静安玺樾】三期房源过会

推售建面约97-106m²2-3房

过会均价124191元/m²,945万起

加推2#、7#楼计165套房源

项目9月5日开启认购,认购金额50万,计划于9月17日开盘

前期少量建面约94-102-134-165㎡2-4房

过会均价125777元/m²,总价982万起

建面约98㎡宽阔两房,非常适合单身或是年轻的小家庭置业。其得房率最高约79%,相较于市面上大多70-75%的项目,实实在在地省下了不少空间的置业成本!

更大的亮点还在项目不回避自身的“抗性”,将实体样板间做在了邻近高架的3号楼,优越的隔音效果与日常居住的静谧程度是置业者可以亲自感受到的。

第一个亮点,室内软装是邀请梁志天大师团队进行设计的,分为两大主题,预设家庭生活场景,围绕家庭成员的居住方式,加载健身、书房、茶室、养宠等功能,展现生活的精致感与摩登感。

第二个亮点,动静分离+客餐厅一体化设计,功能区和休息区互不干扰,客餐厅、厨房等公共活动区集中在一侧,卧室等休息区全部一侧,保证了私密性!

第三个亮点,是尺度感!得益于高得房率,客餐厅朝南面宽大,衔接宽阔大阳台,而且像两间卧室都能轻松放下双人床,尤其是对于单身或两口之家,次卧完全可以成为X空间,工作室、电竞房、书房等尽可创意想象!

第四个亮点,是南向主卧套房设计,不仅能放得下2*1.8米双人床,且还能保留约1米的过道;同时带独立卫生间和大飘窗,增强私密性。

104㎡3户型特点:该户型多为楼栋的东边套,是一个观景户型。客厅连接270°阳台,视野出众。双卧朝南,阳光满溢。从次卫布局看,如果家庭人口较少,该户型还能做成双套卧。

此外,还具有独立储藏间,非常难得。该户型比较适合三口之家或三代同堂居住。

建面约103㎡3房2卫

该户型适合三口之家或年轻家庭居住的动静分区户型,厨房、餐厅、客厅及阳台一体化设计,动静完全分区设计,相当人性化。

主卧套房设计满满尊崇感,次卫三分离干湿分区设计,考量十分贴心。

建面约103㎡2+1房2卫

该户型的精髓是“+1”的灵动空间,可随着家庭结构和需求随心个性定制,书房、学习区、游戏区,女王化妆间等。

若维持两房,你将拥双开间大横厅设计及宽景阳台。同时,次卫设计取巧,可以做成套卧,那就是双套房。

值得一提,主卧套房空间阔绰,刚需面积改善的尺度,摆两个床头柜和衣柜空间都绰绰有余,床尾即使再放置柜子也不影响过道通行。

全球奢装品牌领衔,装修豪华。

项目装修配置堪称豪华,空调、地暖为大金或三菱重工(或同档次其它品牌),热水器选用瑞美或能率(或同档次其它品牌);新风为霍尼韦尔或大金(或同档次其它品牌)。

厨电5件套(油烟机、三眼燃气灶、洗碗机、烤箱、冰箱)均为美诺或斯麦格(或同档次其它品牌);水槽和龙头采用铂浪高或弗兰卡(或同档次其它品牌)。同时配置三玻两腔隔音降噪玻璃。

项目样板间实景图

项目信息

洪南山宅240街坊也曾经是老闸北区著名的棚户区,该街坊于2019年年初启动征收。洪南山宅240街坊项目开辟了市区联手、两级联动的融资新模式。

效果示意图

四至范围:东至302a-05、302a-06地块、南至中华新路、302a-12地块,西至共和新路(南北高架)、302a-07、302a-11地块,北至南山路、302a-03地块。

根据出让合同显示,规划用地面积31352.4平方米,地上计容面积为95624.82平方米,容积率为3.05,地块限高100米。该地块将新增926套住宅。

根据设计方案显示,该地块共规划了7幢层高在15-33层不等的高层,其中1号楼19,2号楼27层(局部24层),3号楼15层,4号楼33层,5号楼17层,6号楼为30层(局部20层),7号楼30层。

而北侧靠近南山路一侧还规划一幢最高6层的养老设施用房。在小区南北两侧的中华新路和南山路分别设有机动车出入口。

「静安玺樾」不仅拥有近约10w方规模的完整社区空间,还通过景观花园、泛会所等空间打造出满足儿童玩乐、家人休闲锻炼、社交会客的全年龄人群需求的豪宅优等社区。

项目园林由业界知名的奥雅设计操刀设计,打造了一个”翡光礼境“景观社区。

规划了“翡色五境”五大空间氛围,匠造融入时光、人文海派、自然与艺术、家庭与邻里的“四轴、三园、五区、一所”四大功能空间。

设计了“春赏花、夏赏绿、秋赏叶、冬赏姿”四季有景的长效花园,呈现四季景观皆不同的诗意雅致生活氛围。

翡色五境社区氛围

翡廊境:尊享连廊的归家体验

翡林境:绿荫包裹的林下漫步

翡溪境:舒适惬意的绿意溪径

翡湾境:放空归静的心灵港湾

翡屿境:欢乐温馨的家庭氛围

社区景观打造上还考虑了空间的功能丰富性,打造了三大花园空间:中心港湾花园、水溪花园,西入口归家花园,实现社区内各区域景观不同的丰富视觉盛宴~

林下空间用于会客、洽谈、休憩使用,零距离接触自然景观,惬意万分~

五大运动活力系统

精心设计的环绕社区的400m跑道系统串联热身区、定制主题儿童活动区、老年健身区、活力健身区和休憩缓冲区五大运动活力系统,家人在社区内锻炼身体的祥和画面呼之欲出。

户外定制化主题儿童区+架空层泛会所构成双儿童系统,以“秘境童话专列”的火车主题串联儿童活动空间,兼顾全年龄儿童不同游玩体验。

更有贴心细节设计:儿童活动区和老年健身区的器械均考虑防磕碰设计,地面均采用塑胶,以防磕碰受伤。

架空层位于5#楼王位置楼栋,用作泛会所空间,为孩子提供不受天气影响的社区活动空间,实属优秀~

与常规社区的三重归家礼序不同的是,「静安玺樾」创造出升级版“四轴”归家体系:气派入口门楼,精致艺术的归家廊厅,全区花园式入户以及仪式水系轴线空间。让你从社区大门开始就能感受到身为业主的尊崇感~

更值得一提的是,「静安玺樾」还设计了更加人性化的室内通行归家路线,更优于社区风雨连廊的设计,业主从南入口保安亭后方的电梯厅可以直达设计了采光排风井的B1层归家,不走地面社区道路就能免受风吹日晒,安全归家。

海派风格外立面+超低能耗住宅

建筑立面采用新海派风格,采用天然石材+真石漆+铝板设计打造,细节精致,线条流畅,优雅大气质感浑然天成。

与传统住宅截然不同的是,「静安玺樾」不惜成本打造了超低能耗住宅产品,将为业主带来一个四季如春的空间,享受到更加静谧的居住环境、更清新健康的空气、更安全的居住环境,还能降低更多的能耗!

从超一线装标到五星级地库,豪宅品质贯彻始终!

从装标上看,「静安玺樾」在装修标准上是下了功夫的,甚至可以说是“不惜成本”,超一线装标完全称得上“高配低价”这四个字!

中央空调、地暖、新风都是标配,室内厨卫都采用了国际一线品牌,让居住变得更为舒适的同时给足业主体验感和尊崇感。

尤其让人惊艳的还有项目豪掷重金为业主打造的五星级地库!

项目车库采用贯穿式鱼尾灯坡道和超耐磨地坪,过道全部采用精装吊顶,地下管道和局部区域进行二次包裹!尤其惊艳的是项目的豪华车马厅,采用水磨石、水晶漆、铝饰面、大板砖、立柱石材包边、门禁系统三合一!

如此用心着力只为给所有业主营造出独属的尊崇归家礼仪!

物业服务方面,有万科物业保驾护航!

万科物业,相信不用多说,全国一级物业资质,连续多年蝉联全国物业排名第一!

作为国内第一家通过ISO9002国际质量管理体系认证的物业管理企业,屡获殊荣。

万科物业进驻上海31年!多年口碑积攒下好评如潮,被业内誉为“最懂上海的物业”!

此次进驻「静安玺樾」,万科物业除了将为社区提供优质服务外,并将额外定制提供增值服务,包括:

更整洁的社区:12小时的保洁+夜间值班保洁;

更省心的居家:每年一次空调清洗,每三年一次地暖保养;

更历久弥新的建筑:每年一次外墙清洗。

生活配套

交通方面:项目直线距离8号线中兴路站直线约580米,1号线中山北路站直线约800米,距离3/4号线宝山路站约1.4公里,自驾方面,可以通过南北高架、内环高架通往市区,也可通过内环到达市区各个方向。

商业方面:项目周边配套成熟,购物便利,大型商业2公里内还有静安大悦城、万象天地、大宁永光、大宁国际等高端商业配套,周边还有规划中的百万方中兴城商业综合体。

教育方面:闸北区三中心小学、永兴路第二小学、青云中学、市北初级中学等。(新房不承诺对口学校,具体以实际为准)

市北初级中学

医疗方面:三甲医院环伺,为您和家人的健康保驾护航。项目周边有上海第十人民医院分院、上海市中医医院、上海市第一人民医院、上海第十人民医院、同济大学附属口腔医院等等。

生态休闲:在市区寸土寸金的环境下,周边还有芷江绿地、中兴公园等。

静安玺樾

静安玺樾 售楼处电话:400-8878-824

【售楼处预约热线】(一对一热情服务)

看房请务必致电与销售确认时间,仅预约客户可享受开发商内部优惠,专属老带新推荐奖!

静安玺樾售楼处电话:4008878824【售楼中心热线】静安玺樾营销中心热线400-887-8824静安玺樾售楼处地址400-8878-824,楼盘项目全面介绍,本电话为开发商提供线上预约售楼电话,楼盘项目全面介绍(包含楼盘简介,均价,房价,现房,期房,别墅,叠墅,大平层,价格,楼盘地址,户型图,交通规划,备案价,备案名,项目配套,样板间,开盘时间,认筹时间,楼盘详情,售楼处电话,最新消息,最新详情,周边配套,一房一价,最新进展等详情咨询)楼盘详情丨价格丨更多优惠丨机不可失丨欢迎致电丨诚邀品鉴!售楼处位置丨特价房丨工抵房丨剩余房源丨户型图丨最新消息丨免责声明:将文章内容综合来源于网络、只作分享,版权归原作者所有!!如有侵权,请联系我们,我们第一时间处理如有问题欢迎来电咨询,专业一对一热情服务,让您用专业眼光去买房。如果您想了解更多楼盘详情,欢迎提前预约拨打静安玺樾售楼处电话400-887-8824

声明:本文由入驻焦点开放平台的作者撰写,除焦点官方账号外,观点仅代表作者本人,不代表焦点立场。