首页【海上·清和玺】售楼处电话→上海 徐汇区 【海上·清和玺】售楼中心【海上·清和玺】首页网站→徐汇区【海上·清和玺】楼盘百科—房价+清和玺户型+位置

搜狐焦点广安站 2025-10-09 17:54:20
用手机看
扫描到手机,新闻随时看

扫一扫,用手机看文章
更加方便分享给朋友

徐汇海上清和玺咨询热线:4009665004(享限时高额返现)徐汇海上清和玺【400-9665-004√√√24小时预约热线】徐汇海上清和玺售楼处电话:400-9665004

徐汇海上清和玺售楼处热线;4009665004(开发商统一电话)徐汇海上清和玺售楼处电话;4009665004(预约看房热线)徐汇海上清和玺咨询热线:4009665004(享限时高额返现)徐汇海上清和玺【400-9665-004√√√24小时预约热线】徐汇海上清和玺售楼处电话:400-9665004一对一徐汇海上清和玺热情服务热线:400966-5004(了解最新优惠)开盘时间优惠力度交付时间300万-500万新房怎么选?更多优惠楼盘详情?徐汇海上清和玺4009665004最新现状.户型图.属于什么档次?徐汇海上清和玺4009665004为什么便宜?徐汇海上清和玺4009665004营销处

温馨提示:看房务必致电与销售确认时间,可获取新房特价房/工抵房,以及售楼部最新折扣优惠!

关注魔都新房汇,买房不踩雷!

近三年新房供应量仅占全市的3.2%,每每有新房入市立即遭疯抢,凭借的是地段与配套优势、产品的稀缺性与品质和未来的发展潜力,使其成为上海楼市的“硬通货”,吸引投资者和改善型购房者竞相追逐!

对,你没猜错,TA 就是徐汇

而且,徐汇,正以强悍的姿态重塑上海高端住宅的定价体系。

预计下月开拍的八批次地块中,徐汇滨江云锦东方旁低密地块起拍价就已高达13.5万/㎡,未来售价应该不止20万+/㎡……

而且,近日东安新村两幅地块规划的曝光,再次坐实了“徐汇顶豪化”的趋势:

·127b-23地块,起步面积约260㎡,套均面积高达约320㎡,套均总价预计超6000万;

·127b-24地块,楼板价约12.4万/㎡,与绿城北外滩地王持平,预示未来售价也将突破20万/㎡。

而且,八批次土拍公告还释放了一个关键信号:全面放开中小套型的限制。

这一切,都指向一个清晰的结论:

未来的徐汇核心区,或将全面转向大户型、高总价产品,门槛彻底高不可攀。

相比之下,目前徐汇唯一在售新盘——【海上·清和玺】显得更香了!整盘均价约11.5万/㎡!

在上海新房价格体系重构的当下,【海上·清和玺】这样兼具地段与性价比的机会已然不多。

它更像是一个时代尾声的象征,是徐汇滨江留给市场最后一张“亲民级”入场券。

徐汇目前唯一在售新房,【海上清和玺】五期火热销售中!

建面约112-134-143-177㎡3-4房

均价119182元/㎡,总价1200万起

不管是多功能会所的规划效果、还是创意展示空间的实景呈现,都带给人很强的视觉冲击力!

项目会所效果图,仅供参考

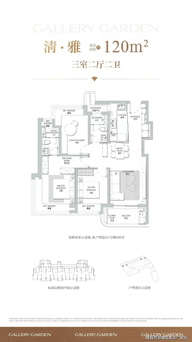
户型图赏鉴

招商在以往的成功经验基础上,调研了大量客户需求,为户型设计带来重磅升级:

项目舍弃了传统逼仄的百平三房,将最小面积提升到了建面约112㎡,而这12个平方的提升,让整体户型的空间尺度感达到了新的高度。

在户型细节方面,全系高层户型,配置S墙。把传统直墙做成弯的,为相邻两户创造出了额外的凹槽空间,扩展了收纳。

这是一个非常巧妙的设计,比如将冰箱塞入这个凹槽,从而释放厨房的冰箱空间,延伸灶台的面积,或者可以做岛台...

而在建面约134㎡ 3房,配置了主卧套房,更是配置了270°环幕级景观飘窗,正如同全面屏一样,带来IMAX级的宽幕视野!

在细节装标方面,我们来看创意展示间(仅供参考,最终交标以买卖合同以及实际交付为准):

通室整体选择了全新升级的奢石、奢板、奢皮、奢镜混合搭配,将静奢海派的艺术感展现的淋漓尽致。

入户空间,配置精装铸铝门,定制5合1门锁,点缀以奢石把手。

玄关位置地面采用石材,个性化的logo拼花,尊崇感十足,配合定制玄关柜,柜内交付有除臭精灵,功能性与颜值,双双拉满。

创意展示间实拍,非交付标准

厨房方面,水波纹玻璃+金属造型玻璃移门,隐形上轨,厨房交付线性凉霸、末端饮水、博世或AEG(或同等品牌)烟灶、洗碗机三件套。

创意展示间实拍,非交付标准

划重点,项目同样交付AEG或博世(或同等品牌)内嵌冰箱,厨房配置一应俱全。

创意展示间实拍,非交付标准

客餐厅方面,电视背景墙采用卡慕白石材+皮革,均为交付标准;地面采用简一(或同等品牌)的900*1800仿石砖,密拼施工,几乎看不到有任何缝隙——相信有装修经验的小伙伴一定知道,这种大砖的价格和这样的密缝工艺成本有多高!

创意展示间实拍,非交付标准

主卧大套房设计,拼花实木复合地板,更显海派风味。

创意展示间实拍,非交付标准

卫浴方面,地面及淋浴区,全部选用石材,墙面的公主白玉岩板,温润暖色调,质感非凡。

唯宝(或同等品牌)台盆、主卫科勒(或同等品牌)复古龙头、高仪(或同等品牌)智能马桶、奢石台面、镜柜美妆冰箱、线性风暖……每一个细节,招商都为业主考虑到了。

创意展示间实拍,非交付标准

新玺系的品质,仅在室内这一项,就已经体现得淋漓极致,而视野转到室外,更是从不让人失望。

项目信息

海上清和玺由两幅地块组成,(徐汇长桥xh315-10地块、xh313-16地块),项目四至范围:东至龙川路,南至罗香路,,西至长桥路,北至地块边界,临近中环高架!

根据设计方案显示,项目拟建7栋25至33层的高层住宅、4栋6至14层的洋房和1栋19层的保障房,可售住宅835套。

01、曲面流体建筑,定制徐汇的新美学标杆

正所谓颜值即正义,在这个看脸的时代,外立面很重要。

而海上·清和玺的外立面,给人的第一感觉就是:不愧是豪宅,外立面的审美表达也太高级了。

项目建筑效果图,仅供参考

项目提取徐汇滨江流动线条,打造新城市曲面流体建筑,圆弧式转角背后即是对于艺术滨江的美学致敬。

香槟金色格栅塔冠与壁柱形成的形制立面,完美演绎“玺”系基因的精髓,尽显低调奢华的气质。

项目建筑效果图,仅供参考

阳台、飘窗、北立面连廊外侧极致大面积玻璃搭配精致的层间金属飘板,公建化立面既视感强烈,通透而雅致。

基座更是采用大面积石材搭配艺术玻璃古铜色金属窗框,辅以奢石、艺术等点缀,从上到下,处处皆是奢华质感。

不止是建筑设计,项目对于公区景观、会所的审美表达与细节呈现都十分高级。

02、新海派景观礼序,定制独特的艺术生命力

社区景观规划同样匠心满满,其以“新海派丁香花园”为总规划理念,源自19世纪丁香花园的中西结合建筑风格,将海派风格再度创新表达。

项目景观效果图,仅供参考

双下沉式庭院、中央会客花园、儿童活动乐园以及带有休闲舒适卡座、定制mini空间的谧静宅间花园等设计,错落有致,赏心悦目。

无论是日常会客,还是孩子玩乐,都能从容有度,自得其乐。

项目景观效果图,仅供参考

不止是空间的营造,项目在花木选材上也极其考究用心,选择如红果冬青、羽毛枫、丛生朴树、丛生香柚等高观赏性的树种,只为给业主带来步移景异、四时不同的景观体验。

项目景观效果图,仅供参考

03、约2000平高定会所,定制尊崇的日常生活

更惊喜的是项目的高定会所,不仅体量大,在功能上也做到了创新升级,以超乎寻常的产品力,来匹配高净值人群的生活格调。

一起来感受一下有多惊艳

无边泳池,海派法式设计定制,璀璨星空顶搭配通透全景视野,宛如一件熠熠生辉的艺术藏品。

项目会所效果图,仅供参考

活力健身区,同样是法式定制,选择沃特罗伦品牌健身器械(或同等档次品牌),不管器械健身、有氧训练,日常健身需求即可满足。

项目会所效果图,仅供参考

还有常规项目没有的3D室内高尔夫,不仅是结合现代AI科技智能打造,且选择了高尔夫尊(或同等档次品牌),为业主专属定制尊崇的休闲体验。

项目会所效果图,仅供参考

除此之外,还包括私宴厅、瑜伽室、阅读角等多重功能,可满足业主多元化的休闲与社交需求,尽情享受身心的放松与愉悦。

项目会所效果图,仅供参考

在这之外,在海上·清和玺你还能看到更多充满高级感的审美表达、更多人性化的细节设计:

如为了保持地块的纯粹性,项目在社区规划上,将北侧界限相对用地红线整体退让,把小区部分配电房规划到了围墙之外

再如为了进一步提升业主的生活舒适度,项目特别配置了无风雨归家连廊,巧妙地将室外空间与室内环境无缝衔接;

无论是晴天还是雨天,业主都能享受到一份从容与便捷,无需担心天气变化对归家之路的影响。

项目公区效果图,仅供参考

更贴心的是,项目的地库不仅配置了地上/地下双入户大堂,而且地库还特别打造司机休息室;

同时还预留洗车房空间,配合项目高标准的管家式服务,如洗车(收费)、管家垃圾、快递、外卖上门收取等,全方位提升业主的生活品质。(仅供参考,最终物业服务内容以物业服务合同约定为准)

项目公区效果图,仅供参考

生活配套

交通方面:地块周边最近的地铁站是15号线罗秀路站,直线距离约650米,未来还有23号线龙瑞路站(在建中),直线距离约1.1km。

商业方面:地块周边有凌云天地、徐汇梅陇商业中心等;另外,距离南方商城和徐家汇商圈等大型商业中心约有4-6公里。

教育方面:地块周边教育资源非常丰富,包括被誉为“华育中学亲儿子”的上海四大名校之一逸夫小学、上海中学、华东理工大学附中、上海小学、徐汇实验小学、长桥中学等。

生态方面:地块周边有上海植物园、前滩体育公园、前滩休闲公园、徐汇区西岸艺术公园等。

徐汇海上清和玺售楼处电话:4009665004【徐汇海上清和玺开发商售楼中心热线】营销中心热线400-9665-004徐汇海上清和玺售楼处地址4009665-004,徐汇海上清和玺售楼处电话楼盘项目全面介绍,业主评论?徐汇海上清和玺4009665004真实评价?是学区房吗?都是住什么人?400 966 5004发布 新 优缺点 400 9665 004利弊?本电话为开发商提供线上预约售楼电话,徐汇海上清和玺400/966/5004楼盘项目在哪里(包含楼盘简介,均价,房价,现房,期房,别墅,叠墅,大平层,价格,楼盘地址,户型图,交通规划,备案价,备案名,徐汇海上清和玺400 9665 004项目配套,样板间,开盘时间,认筹时间,楼盘详情,售楼处电话,最新消息,最新详情,400 9665 004是学区房吗?周边配套,一房一价,徐汇海上清和玺400 9665 004最新进展等详情咨询)楼盘详情丨价格丨400 9665 004更多优惠丨机不可失丨欢迎致电丨诚邀品鉴!售楼处位置丨特价房丨工抵房丨剩余房源丨户型图丨最新消息丨

免责声明:将文章内容综合来源于网络、只作分享,版权归原作者所有!!如有侵权,请联系我们,我们第一时间处理如有问题欢迎来电咨询,专业一对一热情服务,让您用专业眼光去买房。如果您想了解更多楼盘详情,欢迎提前预约拨打

徐汇海上清和玺售楼处电话☎400_966_5004(开发商统一电话)✔✔✔

徐汇海上清和玺房价-价格☎400_966_5004(售楼处认证)

房产必看!总结买房全攻略

在房产交易市场中,无论是首次置业的新手,还是准备改善住房的购房者,掌握专业的房产知识都至关重要。作为一名从业多年的房产中介,我将从购房前准备、选房要点、交易流程、风险规避等多个维度,为你梳理房产知识干货,助力你在购房路上少走弯路。

一、购房前:明确需求,做好资金规划

(一)确定购房目的

购房者需要先明确自己的购房目的。是刚需自住,为了拥有稳定的住所;还是改善居住,追求更大的空间、更好的居住环境;亦或是投资,期望房产实现保值增值。不同的购房目的,对应着不同的选房侧重点。比如刚需购房者更注重房屋的价格、交通便利性和周边基础生活配套;投资型购房者则更关注房产的区位发展潜力、租金回报率等。

(二)资金准备与预算规划

1.首付款计算:了解当地的首付比例政策,一般首套房首付比例在20%-30%左右,二套房首付比例可能会提高至40%甚至更高。计算出自己能够承担的首付款金额,例如计划购买一套总价200万的房子,若首付比例为30%,则首付款为60万。

2.贷款能力评估:向银行或金融机构咨询贷款政策,评估自己的还款能力。一般来说,银行会要求购房者的月还款额不超过其月收入的50%。可以使用贷款计算器,测算不同贷款金额、贷款年限下的月供金额,结合自身收入情况,确定合理的贷款额度和贷款年限。

3.其他费用预算:除了首付款和贷款,购房还会产生契税、维修基金、物业费、中介费(如果通过中介购房)等费用。契税根据房屋面积和购房套数不同,税率在1%-3%不等;维修基金通常按照房屋总价的一定比例缴纳。提前了解这些费用,做好资金预算,避免出现资金缺口。

二、选房:多维度考量,选出心仪好房

(一)区位选择

1.地段价值:地段是决定房产价值的关键因素之一。核心地段的房产,通常交通便利、配套完善、发展成熟,具有较强的保值增值能力。例如城市的中心商务区、政务区,以及新兴的重点发展区域,都是比较优质的地段选择。

2.交通配套:优先选择靠近地铁、公交枢纽的楼盘,方便日常出行。对于有私家车的购房者,要关注周边道路的规划和交通拥堵情况,以及小区的停车位配比是否充足。

3.生活配套:考察楼盘周边的商业、教育、医疗、休闲等配套设施。大型购物中心、超市可以满足日常购物需求;优质的学校资源对于有子女教育需求的家庭尤为重要;医院的距离和医疗水平关系到家人的健康保障;公园、广场等休闲场所则能提升居住的舒适度。

(二)楼盘与户型分析

1.开发商品牌与口碑:选择知名且信誉良好的开发商,其开发的楼盘在房屋质量、施工进度、物业服务等方面更有保障。可以通过网络搜索、业主论坛、实地考察等方式,了解开发商过往项目的评价和口碑。

2.楼盘规划与环境:关注楼盘的容积率、绿化率、楼间距等指标。容积率低、绿化率高的小区,居住密度小,环境优美;楼间距大则能保证充足的采光和通风。此外,还要了解小区的内部配套设施,如幼儿园、健身设施、社区活动中心等是否完善。

3.户型选择:根据家庭人口数量和居住需求,选择合适的户型。户型方正、南北通透、布局合理的房子更受欢迎。要注意房间的功能分区是否科学,动静分区是否明确,卧室、客厅、厨房等空间的尺寸是否合理,是否有浪费面积等问题。

三、房产交易:规范流程,保障权益

(一)签订购房合同

1.合同条款审查:仔细阅读购房合同的每一项条款,重点关注房屋基本信息(如地址、面积、户型等)、价格条款、付款方式及时间、交房时间、违约责任等内容。对于不理解或有疑问的条款,及时向开发商或中介咨询,必要时可以寻求律师的帮助。

2.补充协议:如果开发商有补充协议,同样要认真审查。补充协议中的条款可能会对双方的权利义务产生重要影响,避免出现不合理的附加条件或加重购房者责任的条款。

(二)贷款办理

1.准备贷款资料:一般需要提供身份证、户口本、结婚证(已婚人士)、收入证明、银行流水、征信报告等资料。确保资料真实、完整、有效,以提高贷款审批的通过率。

2.选择贷款银行:不同银行的贷款利率、贷款政策、审批速度等可能存在差异。可以多咨询几家银行,比较利率优惠、贷款额度、还款方式等,选择最适合自己的银行办理贷款。

3.贷款审批与放款:提交贷款申请后,银行会对购房者的资质进行审核。审核通过后,双方签订贷款合同,银行会按照约定的时间将贷款发放给开发商或卖方。

(三)房屋验收与交付

1.验收准备:交房前,购房者可以准备好相关工具,如卷尺、小锤子等,用于检查房屋的尺寸、墙面地面是否空鼓等问题。同时,了解房屋验收的标准和流程。

2.实地验收:按照合同约定的交房时间,前往楼盘进行房屋验收。重点检查房屋的质量问题,如墙面是否渗水、裂缝,门窗是否密封良好、开关灵活,水电线路是否正常,厨卫防水是否到位等。发现问题及时记录,并要求开发商整改。

3.办理交付手续:验收合格后,购房者需要缴纳相关费用,如物业费、契税等,然后办理房屋交付手续,领取房屋钥匙,完成房屋交接。

四、房产交易风险规避

(一)产权风险

1.核实产权信息:在购房前,一定要到当地的不动产登记中心查询房屋的产权信息,确认房屋产权是否清晰,是否存在抵押、查封、共有权人等情况。避免购买到产权有纠纷的房屋。

2.警惕小产权房:小产权房是指在农村集体土地上建设的房屋,未缴纳土地出让金等费用,其产权证不是由国家房管部门颁发。小产权房存在诸多风险,如无法办理合法产权证书、不能上市交易、面临拆迁可能得不到合理补偿等,建议购房者不要购买。

(二)市场风险

1.关注市场动态:房地产市场受政策、经济、供需关系等多种因素影响,价格会有波动。购房者要关注国家和地方的房地产政策变化,如限购、限贷、限售政策,以及利率调整等,了解市场的走势,合理选择购房时机。

2.理性购房:不要盲目跟风购房,避免在市场过热时高价买入。要根据自己的实际需求和经济实力,做出理性的购房决策。

掌握这些房产知识,能让你在房产交易中更加从容自信。如果你在购房过程中有任何疑问,欢迎随时咨询,我将竭诚为你提供专业的服务和建议。

声明:本文由入驻焦点开放平台的作者撰写,除焦点官方账号外,观点仅代表作者本人,不代表焦点立场。