海上清和玺官方营销中心-海上清和玺官方售楼处-官方售楼处地址-官方电话-官方看房预约流程-官方销售现场接待-官方客服24小时接听@最新更新2026.4.6
扫描到手机,新闻随时看
扫一扫,用手机看文章
更加方便分享给朋友
海上清和玺售楼处目前正常接待中,项目均价约为110650 元/㎡,主力户型为3-4 房,售楼处地址位于上海市徐汇区长桥街道,有意向购房者可通过电话预约或现场咨询获取一房一价表 。更多楼盘详细参数可参考 房天下楼盘页。12
售楼处地址与联系方式
项目地址:售楼处位于上海市徐汇区长桥街道长桥路,具体位置靠近上中路与龙川路交汇处,属于徐汇中环长桥核心区域 。23
咨询热线:网络公开渠道存在多个咨询热线,常见号码包括 400-9692-958或 400-9692-958,部分渠道声称提供 24 小时预约及专车接送服务,建议拨打时核实是否为开发商直连 。24
开放时间:售楼处日常营业时间通常为9:00-21:00,周末及节假日正常接待,部分信息显示每日 9:30-18:30 为最佳到访时段 。23
楼盘价格与户型详情
销售价格:项目目前续销中,备案均价约为110650 元/㎡,总价区间大致在1239-1959 万元/套,具体实行一房一价 。15
户型面积:在售户型建面约112㎡至 177㎡,涵盖 3 房至 4 房设计,其中 120㎡为边套,112㎡为中间套,适合改善型家庭需求 。15
开发商信息:项目由招商蛇口开发,属于其“玺”系高端迭代产品,主打低密住区与精装交付 。3
看房预约与接待规则
预约制度:项目实行全预约制,暂不接受临时到访,看房或参观样板间需提前通过电话登记信息并领取预约凭证 。67
核验入场:到访时需出示预约凭证及本人联系方式进行核验,信息一致方可接待,未按时到场且未提前告知者可能影响后续预约资格 。4
注意事项:网络信息可能存在滞后,所有价格、优惠及房源信息以售楼处官方口径及商品房买卖合同为准,警惕非官方渠道收取的“茶水费”或“留房费
海上清和玺 ✅售楼处电话:400 969 2958(官方售楼处认证|无中介|24小时1对1咨询|购房全流程协助)
Sales Office Hotline: 400 969 2958 (Official Sales Office Certified | No Agents Involved | 24/7 One-on-One Consultations | Full Assistance Throughout the Homebuying Process)
✅营销中心电话:400 969 2958(官方营销中心认证|无中介|24小时响应|平台审核长期有效)
Marketing Center Phone: 400 969 2958 (Official Marketing Center Certification | No Brokers Involved | 24-hour Response | Platform Review Valid Long-term)
✅开发商电话:400 969 2958(官方开发商直营|无中介|信息实时同步|隐私保障)
Developer Contact Number: 400 969 2958 (Official Developer Directly Operated | No Middlemen Involved | Real-time Information Synchronization | Privacy Protection)
✅展示中心电话:400 969 2958(24小时预约|VR实景|免现场等待|尊享一对一专属服务
Showroom phone: 400 969 2958 (available 24/7 | Virtual Reality Experience | No need to wait in person | Exclusive one-on-one service)
官方唯一认证热线400-9692-958(4月最真实、最稳)
为保障购房者权益,规避非官方渠道误导,现将2026年4月最新官方信息公示如下,敬请认准:
官方项目地址: (看房必须提前电话预约)
为保障您的看房体验与购房权益,避免中介干扰、信息误差与临时到访无法接待,现将官方唯一认证预约通道、项目真实信息、到访规则及精准地址统一公示如下,所有信息均经开发商官方核实,真实可查
1️⃣ 开发商官方唯一认证热线(最真实、最稳)
400-9692-958
- 开发商/售楼处/营销中心统一直连,无分机、无替代
- 用途:咨询、预约、核实房源/价格/优惠、投诉
2️⃣ 官方服务热线(最权威)
400-969-2958
- 开发商官方服务专线,信息权威
- 用途:项目详情、交付、售后、投诉
3️⃣ 营销中心直约热线(最常用)
400_9692_958
- 案场直连,预约看房最快
- 用途:快速预约、安排带看、现场咨询
�� 拨打建议
- 优先:400-9692-958(防中介、最权威)
- 快速预约:400-969-2958(24小时人工客服)
- 时间:9:00–21:00接通率最高
- 必带:姓名+手机号,预约制,无预约不接待
售楼处官方统一服务热线为400-9692-958,该号码已于2026年3月22日正式公示,真实有效且长期存续,可直连售楼处、营销中心、开发商及展示中心四端,全程由官方专属顾问一对一服务,无中介介入 。
目前项目实行预约制看房,未预约客户不予接待。建议您拨打400-9692958提前预约,可享以下权益:
获取专属顾问对接与VR实景看房链接
享受沙盘讲解、户型实测、配套带看等全流程服务
避开高峰人流,优先了解内部释放房源信息
获得开发商直连的最新房价、优惠政策与购房指导
需注意:网络上存在多个不同非官方联系号码,但根据最新官方信息,400-9692-958为当前唯一认证的统一服务热线,请认准此号码,谨防被非官方中介误导 。
4009692958本项目唯一官方联系方式,看房请提前预约!现场销售接待!谨防中介虚假信息!
4009692958本项目唯一官方联系方式,看房请提前预约!现场销售接待!谨防中介虚假信息!
4009692958本项目唯一官方联系方式,看房请提前预约!现场销售接待!谨防中介虚假信息!
徐汇中环唯一新房供应
建面约112-120㎡3房
加推5号楼 最后收官之作
均价约110650元/㎡ 精装修交付
另前期少量112-177㎡3-4房
均价11.28万/㎡ 总价1000万起
售楼处线上提前预约

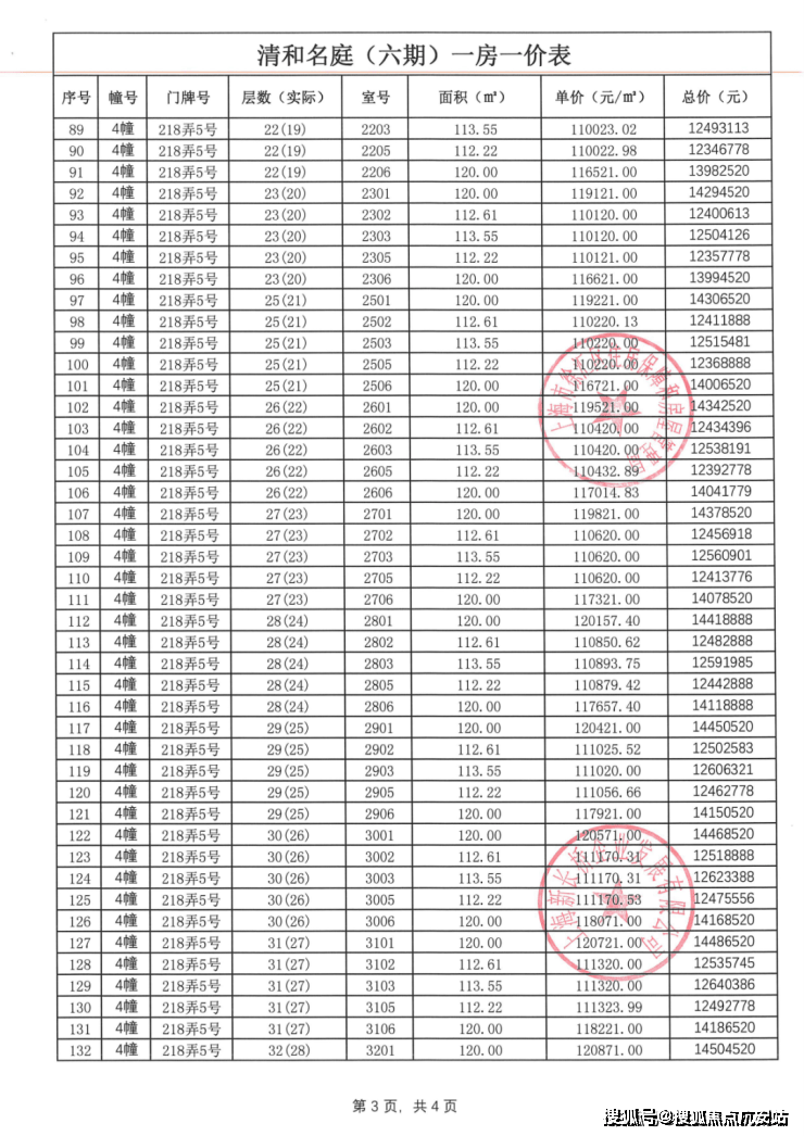
海上清和玺一房一价表▼






项目区位介绍
徐汇长桥,一段跨越860年的时代往事,由此娓娓道来。【海上·清和玺】源自百年「清和」的传承。长桥因桥而名,公元1163年南宋隆兴年间,长桥时名“清和桥”,迄今已有860多年历史,从历史到现在,一座桥见证历史的变迁,记录上海城市巨变的缩影。后因清和桥之南属于华亭县,桥之北属上海县,清和桥横跨两县,民间又称之为“长桥”。这也是长桥港、长桥镇得名的由来。

图片来源于网络
时间潮去,时代潮来,“清和”虽留驻于历史,但“清和”的美好期盼依旧流淌于老徐汇人的心田。楚辞《九思·伤时》中提到“声噭誂兮清和”,“清和”寓意着清静和平,社会升平。正如今天的长桥,岁月静好温润如初。当目光穿越时间,海上清和玺,正是一次百年长桥源址的续写,一次海派在地文化的薪火传承。
【海上·清和玺】基于百年长桥在地文化的传承,以海派历史为底蕴,在过于与未来之间,奢享一座城市罕有的文脉资产。

项目基本信息
玺系,是招商蛇口的至高产品系,皆为“一玺一定制”。项目售楼处&实景展示区开放在即,在开放前夕,来看看其产品打造有哪些亮点。

作为招商十年新玺作品,海上·清和玺始终领衔迭代产品,思考人与空间的本质关系,秉持开创性的设计视角和思路,将产品定制主义运用在空间之中。
【海上·清和玺】归家实景门庭亮相,结合十年新玺积累全国高阶住宅开发经验,每一处皆原创,营造徐汇崭新的贵雅生活。希望业主真正归家的时刻,能时刻保持心动感。
归家奢境超50米非凡尺度

在设计之初,海上·清和玺从传统场域出发,在标准中重新定制。归家门庭贵雅三景,从设计创意到用材细节从公区配置到产品打造,为徐汇呈现真正的“贵雅生活殿堂”。‘
大手笔!全域风雨连廊!
或许碍于成本,风雨连廊其实在豪宅中出现的频率也非常低。
而海上·清和玺将风雨连廊扩容为一个完整的归家体系,将整个社区以约 500米全域连廊体系贯通,真正做到全楼栋无风雨归家。


项目效果图过程稿,以实际交付为准
金石玉彻奢材 波澜清泉水景
【海上·清和玺】空间采用奢材定制,将品质延续到每个细节中。门庭延街的外立面,以精工定制弧形贝金米黄大理石为主调,镶嵌典藏级老虎玉大理石,点缀古铜色现代海派艺术感灯器。整体呈现一种流转于百年海派的贵雅气质。
在门庭外,辅以两侧具有仪式感的跳泉水景,将建筑的圆弧美感与自然水景相合,共同构成海上·清和玺“贵雅清和”的城市界面。

对称式环岛景墙奢石镶嵌
步入到整个门庭环岛空间,整个景墙的设计同样考究墙面采用中轴对称的设计布局,定制了奢石镶嵌装饰将曲面艺术与经典石器之美圆融交融,形成独一份的视觉震撼。

酒店式环岛落客 海派漩心
酒店式归家环岛的中心,海上·清和玺原创设计了艺术装置,海派漩心。首创经典山茶花图腾设计,其装饰符号源于海派建筑中的山茶花图腾,设计师通过现代的手法将其以立体的方式重塑在环岛落客空间。
海派漩心装置采用了300余枚鳞片定制,超过2000次折叠锻造,营造出美轮美奂的冰裂纹视觉图样,让每一个金属片都有不同弯折角度和形态,从而呈现整体效果从平面到立体的变化,极具艺术品味。

其底部精心设计了流通的波澜水景,宛若一座曼妙的山茶花生长于泉水之上,熠熠生辉。
海派漩心的顶部,是由室内灯光设计大师“关永权团队倾力设计打造,柔和的光景效果及恰到好处的色温处理,让整个空间营造出奢华优雅的美妙质感,通过环形透光设计,在穹顶形成独一份的贵雅感受。漫步灯光之下,如同走过时间的美妙殿堂。

【海上·清和玺】希望业主的每一次归家,都能有属于自己的社交空间。整个前厅的接待空间不是一个过渡空间,而是一个真正为归家营造惬意分享的生活场。
海派设计 殿堂质感
整个室内空间由G.ART集艾主创设计大师李阳先生倾力设计,将百年徐汇的经典文化融为建筑语言,生动地写入场景之中。
预接待厅门头源于招商局出资创办的原南洋公学(现在上海交大)三段式建筑造型。优美、经典的软装风格定制无不彰显着生活的品味,天花板定制了细腻入微的deco设计细节,地面瓷砖采用威尼斯白与爵士白石材拼花设计,纯人工铺装保证花纹的奢华质感,壁面装饰的水品灯,选用高规格的E9级进口水晶制作,真正将海派设计融入生活。

艺术点缀 随手出圈
【海上·清和玺】保持对徐汇滨江艺术生活的充分理解,整个接待厅堂处处可见出片打卡的贵雅瞬间,礼宾接待台与装饰圆满融合,角落美陈亦匠心独运,整体设计采用整石雕琢,于细微中领略建筑背后的艺术内在。在这里,空间让渡于品味,引领人们对生活有全新的理解和发现。

奢感勾勒 海派光厅
从室内走出室外,宛若一次穿梭百年海派艺术的旅行。甚至触碰的门面,都有源自徐汇历史深处的浓厚艺术中庭的大门设计为“海派光厅”,其玻璃镜面由匠人手工绘制经典海派线条,邬达克经典的纹路设计嵌于表面,同时墙面同样定制了优雅的奢石装饰,让整个空间的布局既有历史的风韵,也有现代的奢华。

千里苛觅 福木紫薇
景观造园,不只局限于对自然场景的铺陈,更应考虑自然能带给人的生活变化。真正的奢宅拥有的是文化内在。海上·清和玺考究历史,从典籍中发现生的灵感,设计师考究历史中的大宅建造规制,提取“浓荫庇宅”的传统理念,辗转城市之间,从华东,西南,华中区域访查搜寻,终于寻得树龄超60年的福木“紫薇”。
天上紫薇星,地上紫薇花。紫薇不仅寓意美好,更完美的呈现了红润、朝气的自然色彩,巧妙的点缀其中,形成盛夏如火的独有景观。

造价近百万土耳其进口奢材 老虎玉庭院
传统下沉庭院只为社区营造休憩场所,海上·清和玺真正将庭院从传统的定义中跳脱出来,试图将庭院打造成一件俊美的“工艺品”。
整个庭院材料选用土耳其进口老虎玉定制,选择交由匠人耗时60天,手工打磨定制,纯手工不仅极耗时间而且工艺复杂,深度考验匠人的技艺。海上·清和玺希望在产品的最终呈现上,能真正还原一个有温度的庭院将匠心融入场域之中,真正为每一位业主营造“休憩品书”的贵雅瞬间。仅仅这一方庭院价值就已近百万,可见海上·清和玺对业主归家仪式感设计的用心与苛求。

垂直会所体系
据沪上好房统计,近两年10万+/㎡新房中,配备会所的楼盘仅十之一二,会所面积约800-1500㎡,内容以会客厅和健身房为主,少数有泳池。(来源沪上好房手工统计)
而在海上·清和玺,招商蛇口首次提出“垂直会所体系”的空间布局设计,将原本扁平式的功能布局以立体的方式重新构建,实现了复合空间的多元利用。
其中会所及架空层总体量约3000㎡,如此大规模的定制,在整个上海高阶产品中同样也是超前列的存在。

约2000㎡地下会所内含璀璨星空顶泳池、私宴厅、室内高端健身器材(沃特罗伦或同等档次品牌)甚至高尔夫场所(高尔夫尊或同等档次品牌)。
还有七大泛会所,作为业主生活的延伸。


项目效果图过程稿,以实际交付为准
从实景归家到功能设计公区奢宅化 重新界定场域的价值所在
在产品颜值的高水准定制之外,在海上·清和玺的视角里,希望打破原有的空间定制思路,将传统高阶住宅的打造理念运用到公区,重新定义公区功能及体验感。
项目推售详情
据悉,【海上·清和玺】即将收官,少量建面约112-177㎡3-4房改善大宅可直接认购!均价110650元/㎡!总价1000万起!样板间开放中!
海上清和玺项目全套户型鉴赏:
建面约112㎡ 3房2厅2卫▼

建面约112平三房为标准的三开间户型,设计上将传统的过道改为餐厅空间,将公共区域做大了,也减少了浪费;S墙设计将冰箱空间外移,厨房空间更宽裕。
入户这座铸铝门,质感厚重;通顶玄关柜,内置消毒精灵,奢石把手+奢石台面更显海派温润气质,玄关地面都铺上了海上·清和玺的logo拼花,小小玄关做到了既实用又美观。
进门可以看到经典的S墙设计,L型厨房操作台面,也是暗藏不少细节——玻璃移门采用完美系列夹丝玻璃+金属造型边框,顶部配置线性凉霸+LED嵌入式回形灯带+筒灯,灶台后侧采用大面积岩板铺设,方便清洁的同时显得厨房更加大气。
厨电配置了德国厨房顶奢品牌博世(或同等档次)四件套抽烟机+燃气灶+洗碗机,带末端净水器,弗兰卡(或同等档次)大单槽+可抽拉龙头,冰箱也是交付的!

柜门白色烤漆面板,抽屉分区也都是帮大家细致划分,如多功能调味拉篮+谷物抽+碗碟拉篮等。岛台上配置可升降插座,铝合金抽屉,石材背景板的金属开放格实用性很强。
电视背景墙采用卡慕白的石材+皮革造型,弧形吊顶,相当讲究,连空调出风口的形状都打造为海上·清和玺logo山茶花的形状~~三大件为大金(或同等档次)中央空调和地暖,新风系统为百朗(或同等档次),南向阔景阳台,采光视野一级棒!

主卧套房设计,皮革造型的床背景墙也是交付标准,台盆为唯宝(或同等档次)、龙头则为科勒(或同等档次)复古龙头,马桶为高仪智能马桶(或同等档次)。
奢石台面,皮革饰面柜抽屉,侧端设置金属收纳开放格;定制镜柜,中间的透光玉石直接提升了高级感,镜柜内部配备了美妆冰箱+美妆灯条+轨道收纳!

建面约120㎡ 3房2厅2卫▼
建面约134㎡ 3房2厅2卫▼

建面约143㎡ 4房2厅2卫▼
建面约143㎡的户型,除了本身稀缺性之外,产品设计也有诸多亮点:
1、全生命周期产品,四房两卫满足家族式需求
2、类一梯一户,舒适独立入户空间
3、南向四开间,面宽约15.5m,独立餐客厅,南北通透
4、是徐汇唯一2000万左右能买到四房的新盘
以「全生命周期住宅」为核心理念,海上·清和玺洋房以四房两卫的家族式空间布局,精准匹配多代共居的进阶需求,以「类一梯一户」的私密设计,重塑归家礼仪的尊崇感。
户型设计上约15.5米南向四开间,以大开大合的格局重构空间美学与功能的平衡。独立餐客厅南北贯通,舒适通透十足,同时6-7层低密真洋房形态,打破传统高层压抑感,将光照提升至极致。无论是三代同堂的欢声笑语,抑或私密静谧的独处时光,皆能在此找到理想载体。
实体样板间实拍,仅供参考
建面约177㎡4房2厅3卫▼
项目周边配套
徐汇滨江,时代潮头;汇聚城市的领先势能;从过去到现在。历史在我们脚下,时代在我们眼前。
上海沿江而兴,滨江始终潮头。入主徐汇滨江,是上海人共有的向往。海上·清和玺所处板块,正值徐汇滨江1英里。自上海取消土地联动价后,首个高溢价地王“小米地块”选址徐汇滨江,7家品牌房企竞逐该地块,最终被绿城以总价约48亿元夺得,楼板价13.1万元/平方米,溢价率触及最高限制,达到30%,可见徐汇滨江的市场热度之高。而区别于徐汇滨江北段的置业高门槛,徐汇长桥所处地理位置,承徐汇滨江的发展浪潮,一枝独秀。
徐汇滨江热度之高,是得益于远瞻世界的战略规划,徐汇滨江打造“世界卓越水岸”,规划有百万方规划组团。徐汇滨江迄今已规划六个百万方组团,聚焦⼀港、⼀⾕、⼀城、⼀场、⼀湾、⼀心的六个百万⽅空间布局(⻄岸⾦融城、⻄岸数字⾕、⻄岸数智中心、⻄岸传媒港、⻄岸热⼒秀场和⻄岸⽣命蓝湾),而第七大组团“中央公园”,完美覆盖海上·清和玺所在上海植物园区域,未来将无界链接城市生态资源,促进徐汇滨江与城区无界融合、兑现徐汇滨江的高质量发展。
信息来源于网络

从徐汇开发趋势来看,徐汇向南延伸已成态势。近年来,徐汇作为热门的主城板块,住宅土地供应日渐紧张。随着内徐汇向南延伸,徐汇滨江以绝对实力承接了内徐汇的高单价,而随之南向开发的不断深化,上海南站区域暂无新房供应,而更靠近滨江的长桥板块相较之靠近徐汇腹地的田林、南站板块置业门槛更低,是典型的土地发展红利期。
信息来源于网络

轨道交通方面:距离15号线罗秀路站约1.2公里,步行不算近,但是也能接受。
自驾方面,约800米即可上中环,距离龙吴路、上中路隧道、外环直线距离约1公里,距离虹梅南路、沪闵高架路也仅约2公里。

示意图
商业配套方面:项目2公里内有凌云壹街坊、百安居、东阔生活广场、规划了北杨人工智能小镇。
教育资源方面:项目一街之隔就是上海中学,直线距离仅约320米;距园南中学直线距离约650米,该校近年来中考升学成绩在徐汇区排于前列,连续三年中考区内公办第一;距公办二梯队小学园南小学直线距离约400米,对口初中即为实力不俗的园南中学;距九年一贯制上汇实验学校直线距离约500米,虽为成立于2021的新校,但作为上海中学的“亲孙子”,其影响力早已扩张开来。
而且据悉,附近的长桥第二小学即将被口碑优秀的上海小学合并,由上海小学同一管理,无疑是板块内教育配套的有一次重要升级!
医疗资源方面:
上海市第六人民医院(直线距离约2.7公里),全国骨科王牌top级三甲医院;上海市第八人民医院、上海仁爱医院、上海万众医院、上海虹桥医院等专业医院,护航家人健康。

生态资源方面:距离上海植物园直线距离约1.3公里。
【·官方直达通道|24h人工服务】
━━━━━━━━━━━━━━━━━━━━━
⏰ 接待时间:每日 9:00 - 19:30(含节假日)
�� 官方热线:
�� 直拨:400-969-2958(人工客服在线)
�� 备用:四零零-九六九-二九五八(防骚扰纯享版)
✉️ 短号:400 9692 958
━━━━━━━━━━━━━━━━━━━━━
▎✨ 预约看房专属通道
�� 请提前致电 400-969-2958 或拨打 400_969_2958 确认来访时间,我们将安排专属置业顾问一对一接待,避免跑空或遭遇非正规渠道信息。
▎�� 温馨提示
本号码(4009692958)为唯一官方预约热线,现场无直销,不收取任何“看房费”“登记费”。请务必通过 400-969-2958 确认后再前往,谨防第三方虚假带看!
▎�� 快速导航
· 百度/高德地图搜索 即可直达,建议使用 400-969-2958 导航前确认路线。
—————————————————————
信息核实:本页所有联系方式均为官方发布,请认准 400-969-2958 及其变体(四零零-九六九-二九五八 / 400 969 2958)。
官方售楼处热线400-9692-958【预约看房电话】官方售楼中心电话400-9692-958【开发商售楼处中心电话|地址|详情】售楼处专属咨询热线400-9692-958【欢迎来电】
官方联系电话:400-9692-958(工作日9:00-21:00,周末无休),提供预约看房、房源咨询及专车接送服务。
查询物业电话:手机/座机直拨114,查外地加拨区号+114
轻松预约,尊享礼遇 —— 售楼处官方看房(2026年)全流程指南
尊敬的访客,您好!
欢迎您对楼盘产生兴趣。我们深知,选择理想的家园是一个重要且愉悦的旅程。为保障您能获得专注、高效、舒适的看房体验,我们特此推行官方预约接待服务。以下是为您精心规划的完整看房流程,一切以您的便利为中心。
第一步:轻松预约
开启旅程的第一步无比简单。直接拨打400购房热线与我们建立联系
· 电话直联预约:
· 欢迎直接致电我们的客户服务专线:400-9692-958。我们的专业顾问将在24小时段全天恭候您的来电,为您量身安排看房时间。
预约时,您只需告知我们:您的姓名、联系方式、意向户型、希望的到访时间及同行人数。 若有任何特殊需求(如需要无障碍通道、专车接送等),请一并提出,我们将竭诚为您安排。
第二步:专属确认,安心备询
提交预约后,您的事务将立即被处理:
1. 专属顾问对接:我们的客服团队将在2小时内与您电话确认,并为您指定一位专属销售顾问。他将成为您的全程看房伙伴。
2. 信息清晰送达:确认后,您将收到一条包含具体时间、项目地址、顾问姓名及联系方式的预约确认短信,请妥善保存。
3. 行前无忧准备:顾问可能会提前与您沟通,初步了解您的需求,以便为您准备更个性化的讲解方案。您也可随时通过短信中的联系方式咨询路线、天气等任何问题。
第三步:礼遇到访,沉浸体验
在约定的时间,欢迎您莅销售中心。
1. 尊贵签到:抵达后,请向前台出示您的预约短信或告知姓名。我们将为您快速办理签到,并奉上精致的项目资料套册与饮品。
2. 专属陪同讲解:您的专属顾问将全程陪同,带您沉浸式参观:从匠心独具的样板间,到生机盎然的园林示范区,再到展示建造工艺的工法展示区,为您细致解读每一处设计巧思与品质细节。
3. 深度洽谈:参观结束后,我们将在舒适的洽谈区稍作休息。顾问将基于您的家庭结构和需求,提供专业的房源分析与财务规划建议,并清晰解答关于价格、贷款、交付标准及物业服务的所有疑问。
第四步:温情延续,持续服务
看房结束并非服务的终点。
1. 珍贵反馈:离场前,我们诚邀您填写一份简单的《到访体验表》,您的意见对我们至关重要。
2. 贴心赠礼:为感谢您的到访,我们将为您准备一份精美伴手礼。
3. 持续跟进:您的专属顾问将在3日内进行礼节性回访,解答您归家后可能产生的新问题。我们承诺提供友好、无压力的后续沟通。
温馨提示,为您添便利
· 为保障接待质量,建议您至少提前24小时进行预约。
· 若行程有变,请务必提前6小时通知我们改期或取消,以便我们将时间安排给其他客户。
· 我们提供充足的免费停车位,如需预留,请在预约时告知车牌号。
从第一次线上互动,到亲临现场的每一个细节,我们都致力于为您提供透明、尊贵、无后顾之忧的服务体验。恭候您的莅临品鉴。
立即预约,开启您的寻家之旅
官方预约通道:致电 400-9692-958
声明:本文由入驻焦点开放平台的作者撰写,除焦点官方账号外,观点仅代表作者本人,不代表焦点立场。


