港城悦庭售楼中心-(港城悦庭售楼处)2025港城悦庭楼盘详情-最新房价-首页网站-户型配套
扫描到手机,新闻随时看
扫一扫,用手机看文章
更加方便分享给朋友
🔥港城云湖🔥
港城云湖售楼处电话☎️400-8657-114【售楼中心】【已认证】
港城云湖营销中心电话☎️400-8657-114【营销中心】【已认证】
港城云湖开发商电话☎️400-8657-114【开发商】【已认证】
售楼中心〢预约尊享1V1品鉴礼遇〢匠心钜制-恭迎品鉴〢
免责声明:【本文所用信息图片来源于网络,如侵权请联系本网站及时删除】
看房请务必提前致电销售确认时间,只有预约客户才能享受开发商提供的内部优惠以及专属的老客户推荐奖励!我们提供专业的一对一热情服务,助您以专业视角挑选理想的房产。

一、项目基本信息

上海【港城云湖】
售楼处电话☎:400-8657-114【售楼处预约热线】(一对一热情服务)
如有问题欢迎来电咨询,预约来电尊享购房优惠,可预约案场内部销售人员,专业一对一热情服务,让您用专业眼光去买房。
二、户型产品信息
项目以全龄段三房为主力,覆盖刚需到改善全维度需求,均为南北通透、全明设计:

布局特色:西临秋涟河天然水系,社区内规划"友好城市界面、开放社区生活、多元活空间"三大要素,含睦邻友好、儿童乐园、晨练设施、滨河步道等配套
现房优势:产证已出,无需等待,规避期房风险,所见即所得
三、位置与交通优势
核心区位:临港主城区102片区(行政生活区)正芯,沪城环路"内环内",靠近滴水湖核心景观带
轨道交通:步行约3分钟可达地铁16号线临港大道站,快速连接龙阳路枢纽,换乘2/7/11号线等
自驾出行:紧邻临港大道、沪城环路等主干道,向西5分钟直达滴水湖,向东10分钟接驳临港高速出入口,30分钟可达张江科学城
生活圈:5分钟可达港城新天地、蓝鲸商圈等成熟商业配套,满足一站式生活需求
★上海港城云湖官方售楼处电话:400-865-7114「预约看房专线」港城云湖营销中心预约热线/售楼电话:400-8657-114√√(官网已认证)
四、周边配套设施
1.商业配套
自带约2000㎡社区商业,已签约生鲜超市、连锁便利店、社区食堂等便民业态
港城新天地、蓝鲸商圈(约5分钟车程),涵盖餐饮、零售、影院、超市等全业态
临港主城区核心商业配套环伺,生活便利度高
2.教育资源
冰厂田滴水湖幼儿园、建平临港小学、明珠小学、临港实验中学、上海中学东校等全龄段优质教育资源
102片区教育资源密集,教育质量领先临港新片区
全龄段教育体系完善,满足子女就学需求
3.医疗配套
临港社区卫生服务中心(基础医疗保障)
上海市第六人民医院临港院区(三级综合医院,约10分钟车程)
规划中的高端医疗资源,提供多元化医疗服务
4.生态休闲
西临秋涟河天然水系,社区内规划滨河步道
滴水湖核心景观带(约5分钟车程),可进行散步、骑行、游船等休闲活动
临港滨海森林公园、春花秋色公园等生态空间,环境优越
★上海港城云湖官方售楼处电话:400-865-7114「预约看房专线」港城云湖营销中心预约热线/售楼电话:400-8657-114√√(官网已认证)
五、价格与价值分析
均价:约32956元/㎡,处于临港主城区合理价格区间,性价比突出
总价区间:240-451万元/套,覆盖刚需到改善全维度需求,二套房首付2成,购房门槛低
价格优惠:线上预约可享95折再立减50万元的优惠,进一步提升性价比
核心价值:临港主城区实景现房,港城集团品质保障,16号线地铁口,成熟配套环绕,长期增值潜力大
六、项目亮点总结
实景现房:2023年12月已交付,产证齐全,即买即住,所见即所得
地铁口物业:步行3分钟达16号线临港大道站,通勤便捷,物业价值高
全龄户型:73-141㎡三房全覆盖,满足刚需到改善各类家庭需求
生态资源:西临秋涟河天然水系,社区内规划滨河景观,居住舒适度高
成熟配套:5分钟可达商业、教育、医疗等全维配套,生活便利度高
品牌保障:港城集团开发,临港本土龙头房企,品质与售后有保障
港城集团,作为国资企业深耕临港新片区的开发建设主体,已经根植临港20年,稳扎稳打,口碑与实力并举。在新房频频“翻车”的当下,安全性和交付品质显得格外有保障!
★上海港城云湖官方售楼处电话:400-865-7114「预约看房专线」港城云湖营销中心预约热线/售楼电话:400-8657-114√√(官网已认证)

「港城·悦庭」作为港城“悦”系作品的全新升级力作,不仅从产品、设施上有所突破,更以公园化的园林布局规划了整个社区。

效果示意图
项目紧邻城市珍贵天然水系秋涟河,融合以“友好城市界面、开放社区生活、多元活空间”三大要素,规划建设睦邻友好、儿童乐园、晨练设施、滨河步道等社区配套,打造多维社区设施与主题景观,成就全龄宜居的生活环境。
港城云湖售楼处电话:400-8657-114【预约看房热线】港城云湖官方售楼处电话:4008657114【售楼处电话/地址】港城云湖售楼处电话:400_8657_114【开发商认证】
规划示意图
建筑风格采用现代风格,简洁大方,中轴对称,庄重而又不失现代感。用部分石材干挂、结合真石漆、铝板、玻璃围栏的方式进行打造,品质出类拔萃。

效果示意图
在交付标准上,盼盼入户门、方太厨电、科勒厨盆卫浴、主卧恒洁智能坐便器、欧普浴霸及主卧电热毛巾架(或同等品牌,具体以合同约定和最终交付为准)等品牌全屋精装交付,诚意满满。
在物业服务上,港城悦庭引入24×7全维服务体系,和3大终端14大科技系统,多元化服务,全方位保障业主居住品质与居住安全。
「港城·悦庭」Ⅱ期推出的1224套房源均位于地块南侧,避免申港大道主干道噪音,生活氛围更加静谧。
港城云湖售楼处电话:400-8657-114【预约看房热线】港城云湖官方售楼处电话:4008657114【售楼处电话/地址】港城云湖售楼处电话:400_8657_114【开发商认证】

港城·悦庭采用区域内少有的1梯2户/2梯2户的优质梯户比,标准户型均是南北通透的经典飞机户型。
建面约92㎡、116㎡3房2厅2卫户型,这两个户型布局非常相似,都做了三开间朝南+全卧室带飘窗+南北通透+主卧套房设计+卫生间干湿分离,都是3房户型中的翘楚。
不同的是,约116㎡户型室内空间更为宽敞,南北双阳台设计,主卧多了衣帽间,经典的改善3房户型。
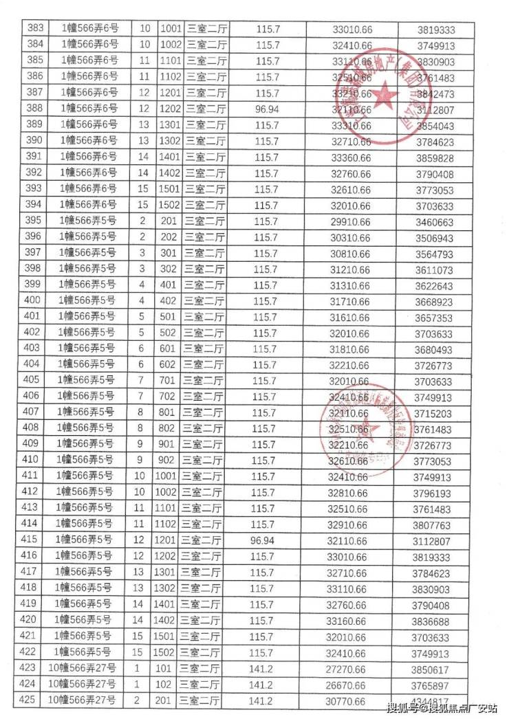
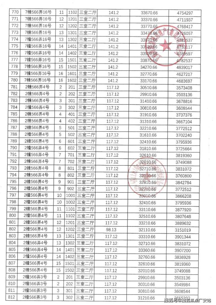
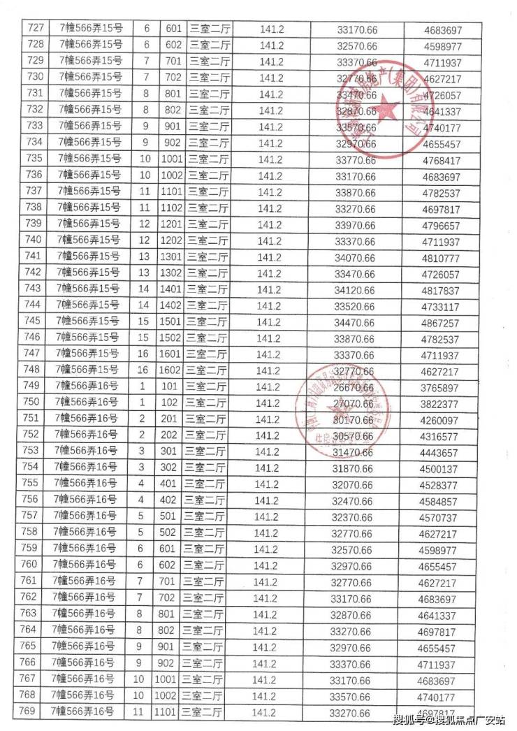
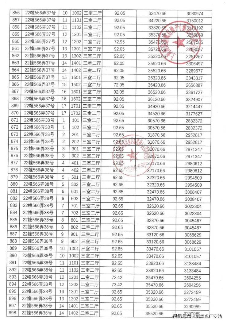
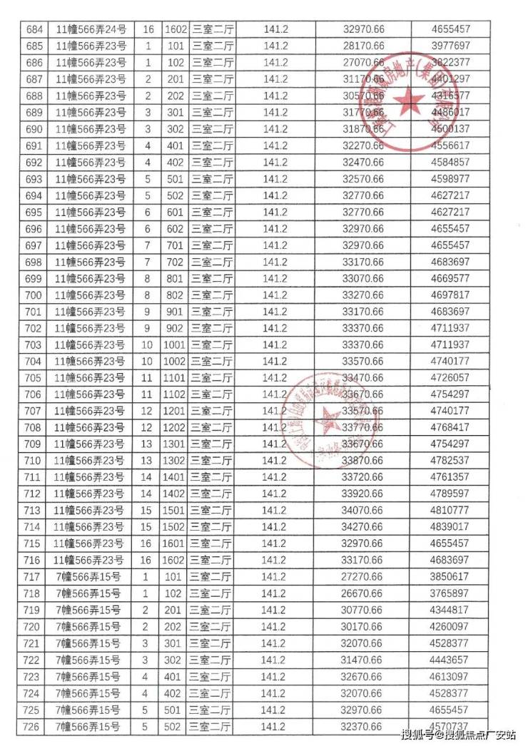
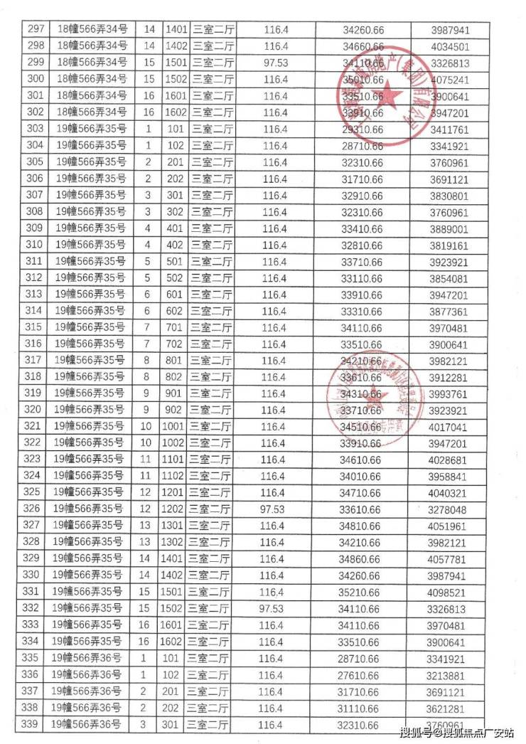
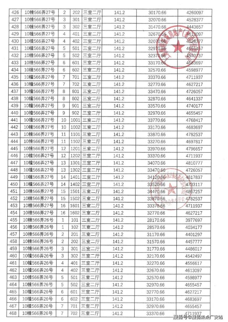
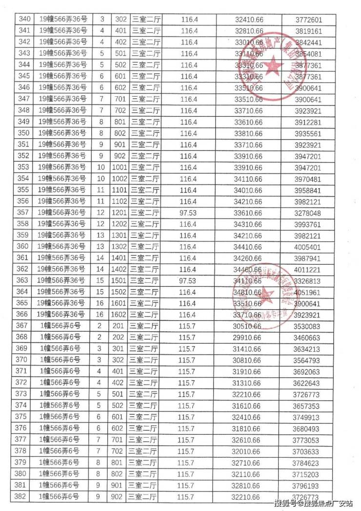
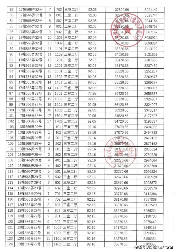
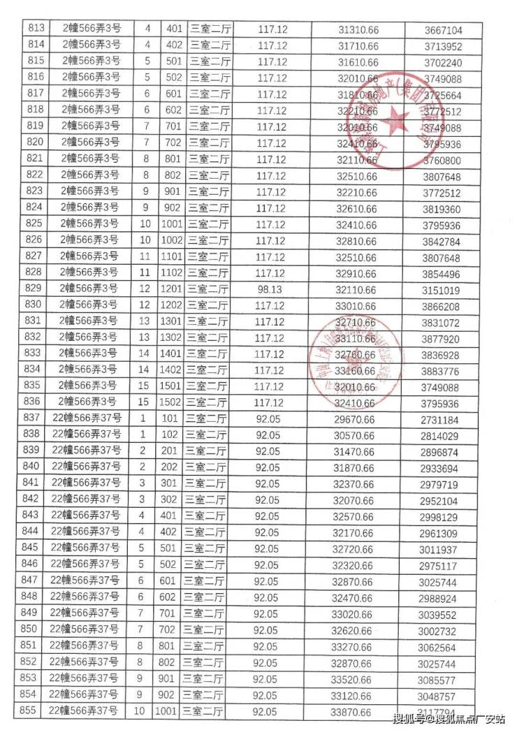
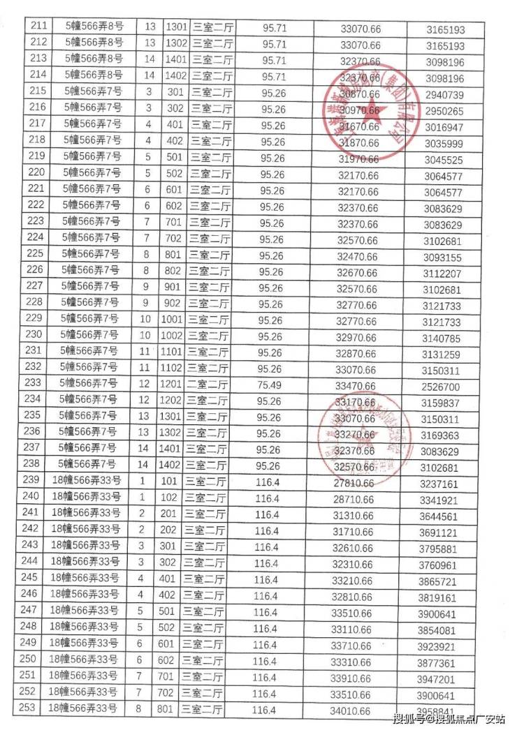
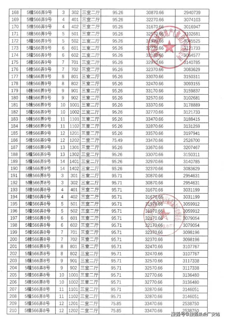
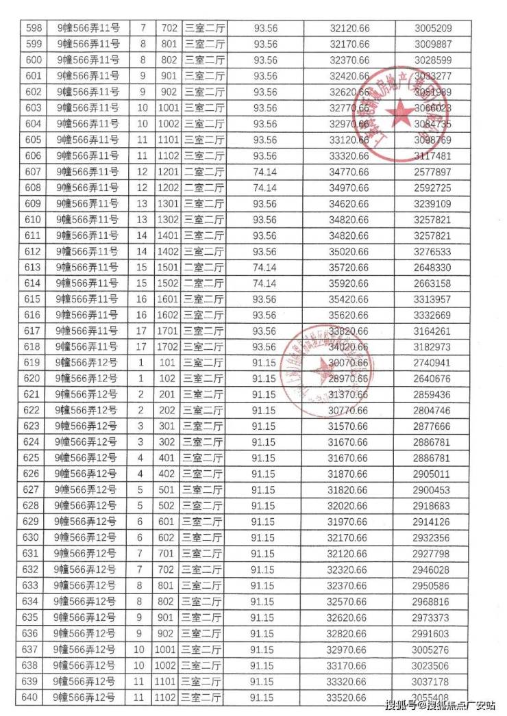
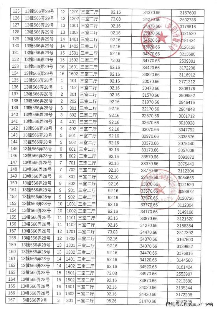
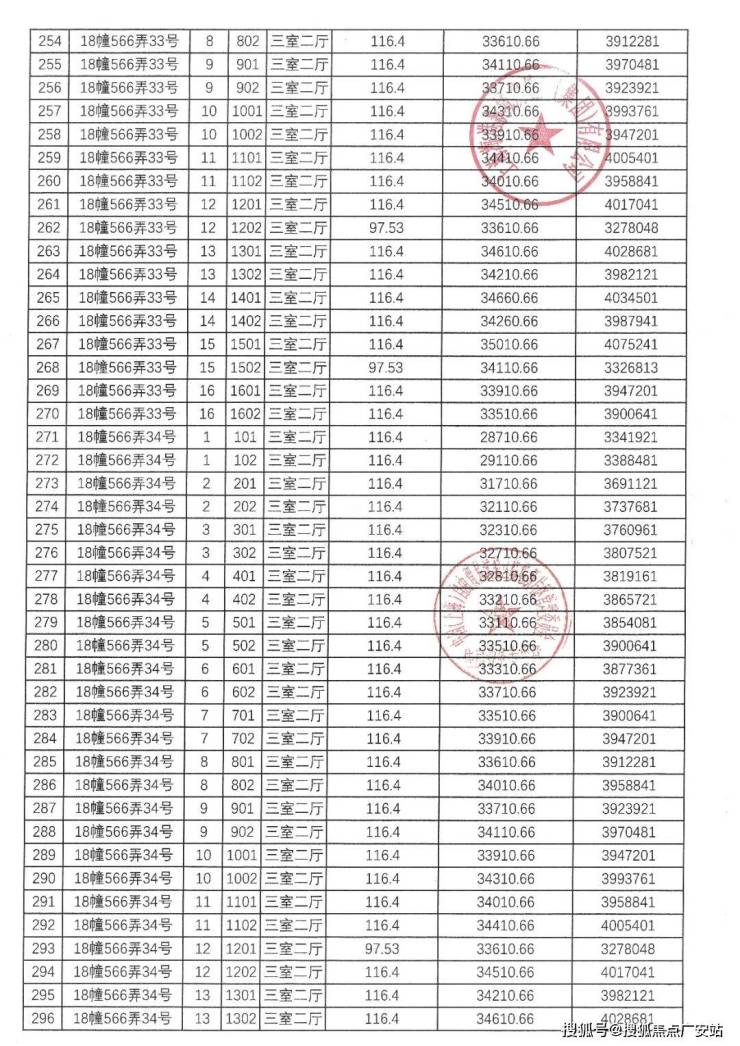
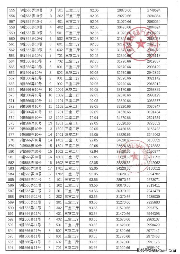
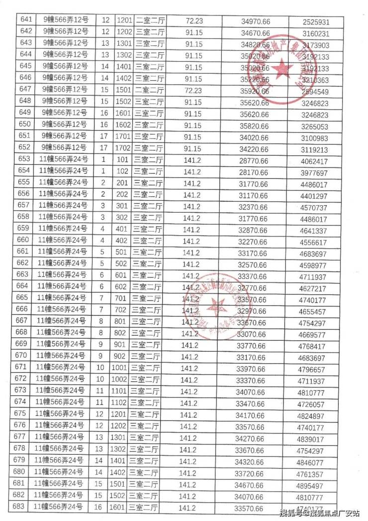
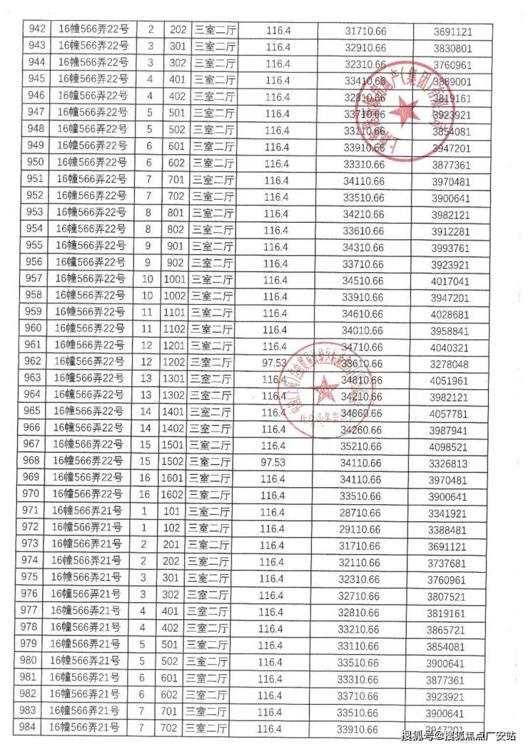
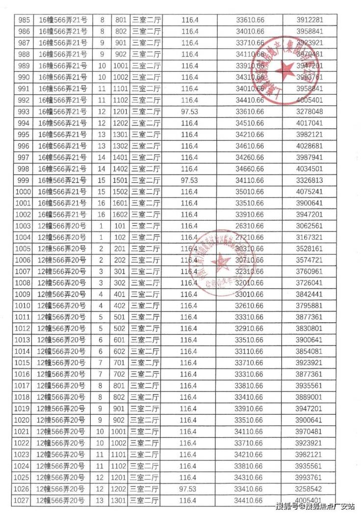
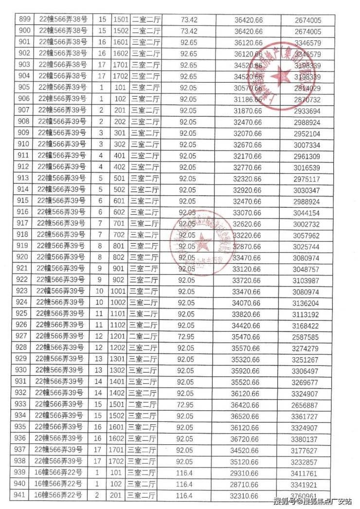
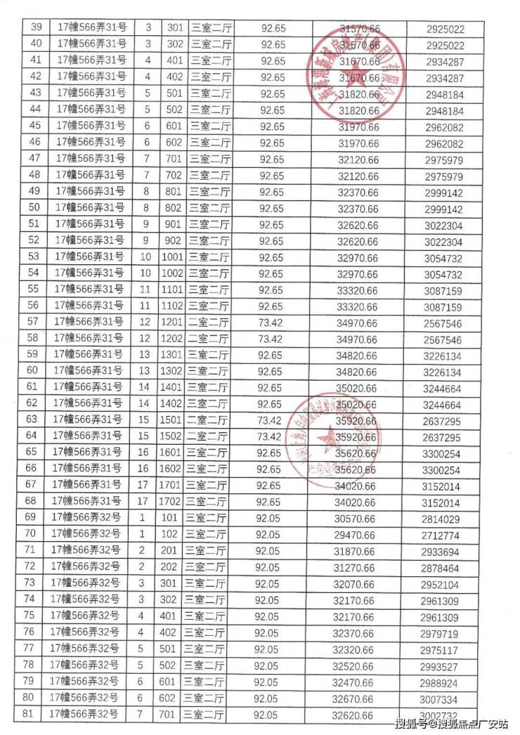
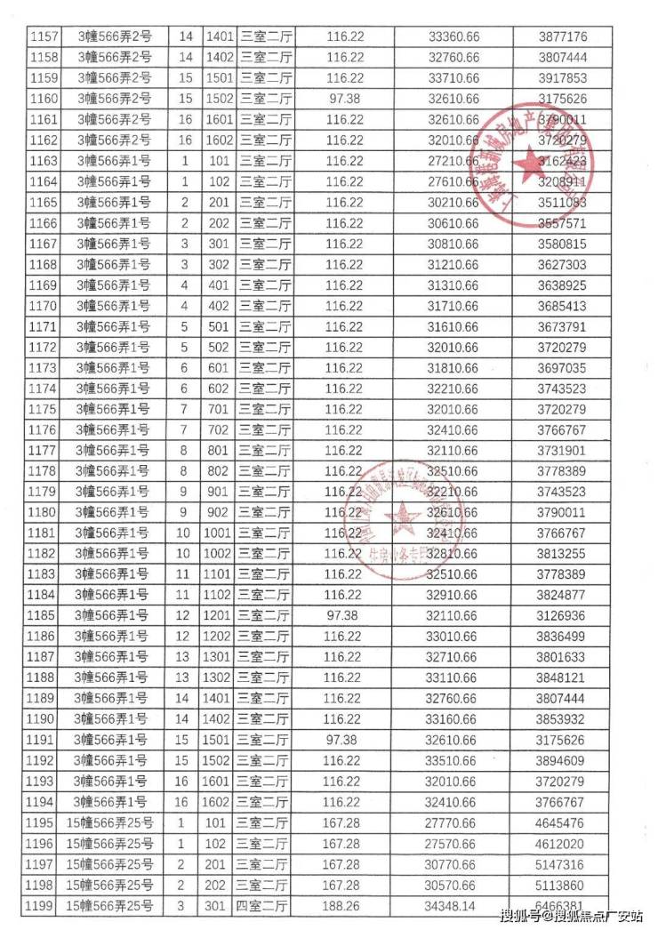
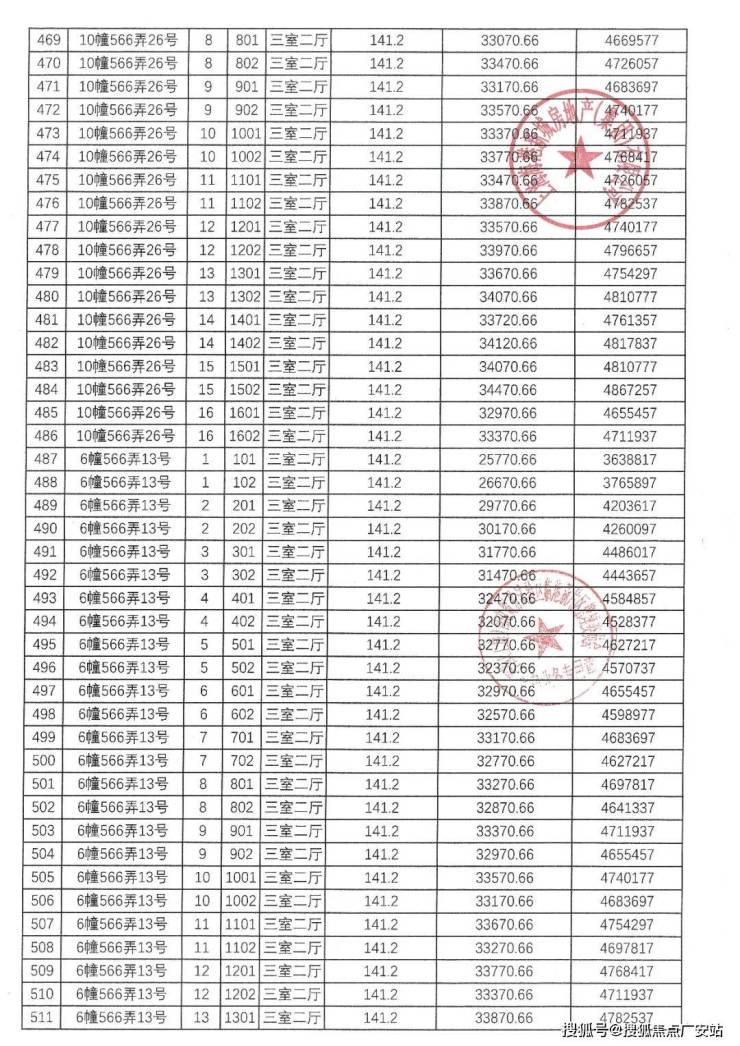
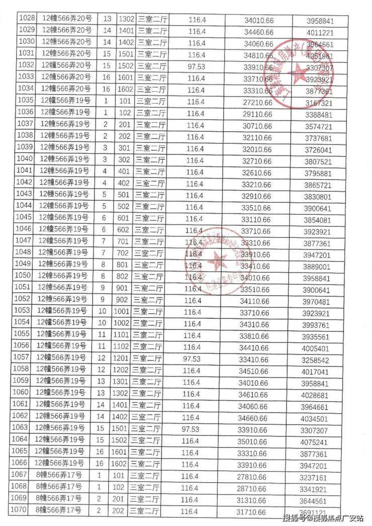
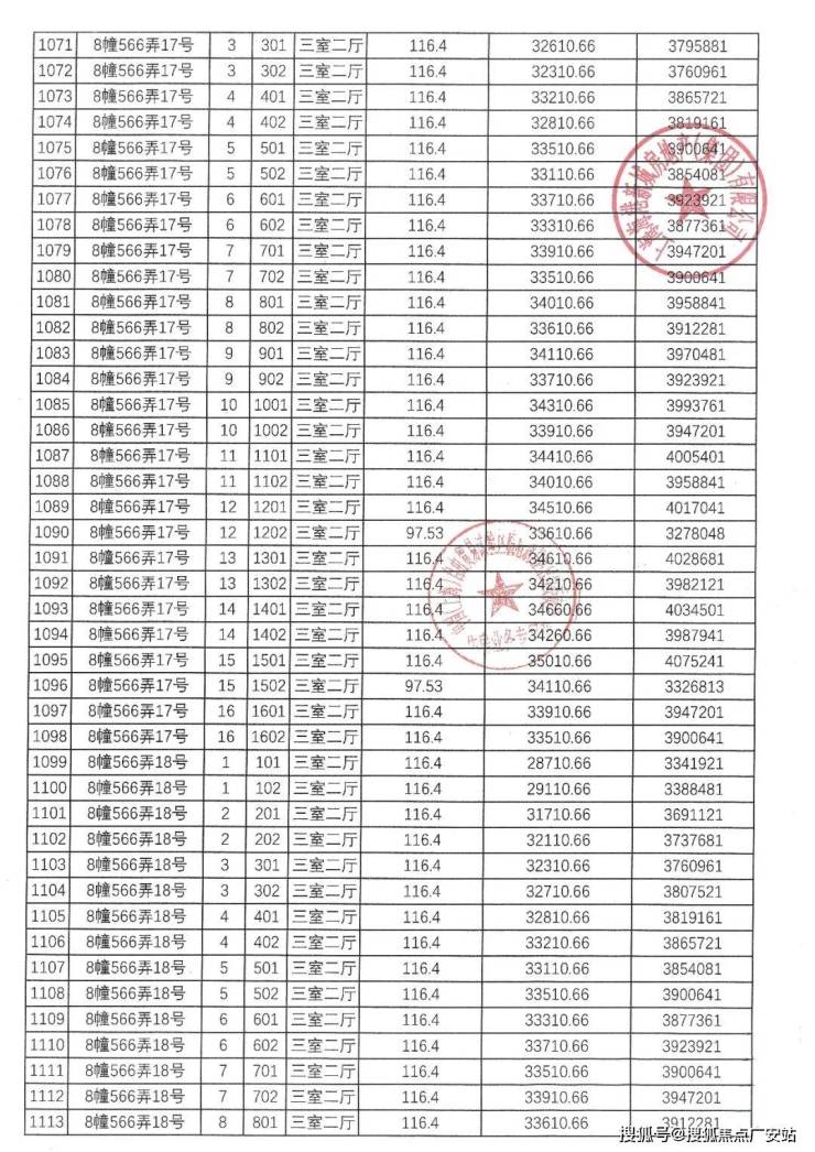
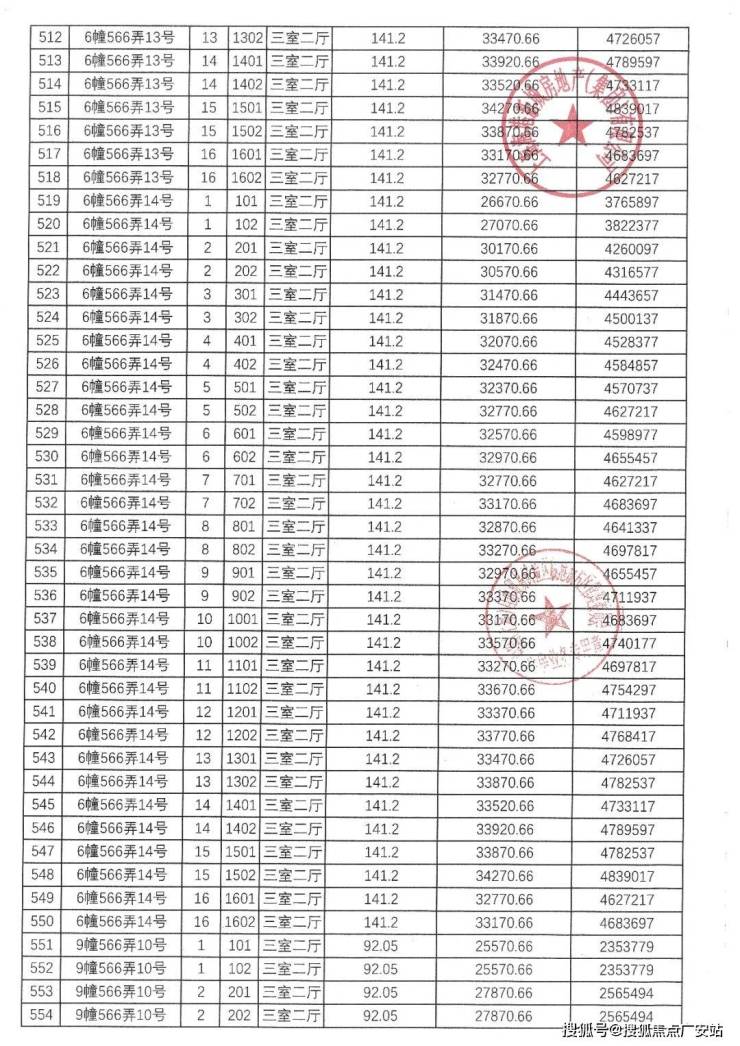
一房一价表
「港城·悦庭」雄踞滴水湖行政生活区正芯,不仅仅是在沪城环路“内环内”,而且更靠近滴水湖。周边约1.5公里半径内汇聚临港精粹资源,肉眼可见的优质生活圈,买的是成熟配套,而不是规划概念,在临港可谓独一份。
周边配套示意图。距离为百度地图测距的直线距离
商业方面,港城·悦庭边上就是5万㎡的港城新天地!星巴克、屈臣氏、必胜客、肯德基、上影、卜蜂莲花,海底捞等,很多“临港首店”都在这!

品牌示意图
方竹路一路之隔,是在建的星光汇商业中心,总建筑面积约2万方(信息来自临港投促中心官微)。西面约600米左右,是在建的约13万方蓝鲸世界购物中心。北面1公里内,竹柏路上还有在营业的碧云商业街和临港百联生活中心。
港城云湖售楼处电话:400-8657-114【预约看房热线】港城云湖官方售楼处电话:4008657114【售楼处电话/地址】港城云湖售楼处电话:400_8657_114【开发商认证】

滴水湖馨苑内部,港城·悦庭500米范围内还有光明邻里集市,约5000㎡健身会所等便民设施。
健身会所实景图
教育方面,建平临港中学(初中部)和建平临港小学,均在港城·悦庭800米以内(直线距离,百度地图测距。以上学校不承诺对口,对口信息以浦东教育局官网发布为准)。

建平临港中小学实景图
交通方面,目前可以通过附近的T1中运量接驳16号线临港大道站。项目周边还有多条轨交的规划。
未来片区还有两条轨交规划,两港快线一期刚获批,从滴水湖直达浦东机场、上海东站。根据规划,两港快线二期会经过申港大道枢纽。除此之外,还有1条市区(轨交)线,覆盖临港主城区,在水华路设计了水华路交通枢纽。
港城云湖售楼处电话:400-8657-114【预约看房热线】港城云湖官方售楼处电话:4008657114【售楼处电话/地址】港城云湖售楼处电话:400_8657_114【开发商认证】

左图来自上观新闻,右图来自两港快线环评报告
同时,临港还规划有轨交市区线,串联起主城区各个节点,其中东西线会在沪城环路水华路附近设有站点(信息来自上海临港发布的南汇新城绿环概念规划方案评选)。

港城云湖售楼处电话:400-8657-114【售楼中心】
咨询高峰期请耐心等待,预约来电尊享内部优惠,专业一对一热情服务,让您用专业眼光去买房。
港城云湖售楼处电话☎:4008657114【售楼热线】✔✔✔港城云湖营销中心热线☎4008657114港城云湖售楼处地址☎400--8657--114本电话为开发商提供线上售楼电话,楼盘项目全面介绍(包含楼盘详情,最新房价,户型图,容积率,小区配套环境,楼盘简介,售楼处位置,户型图,交通规划,备案价,项目配套,楼盘详情,售楼处电话,最新消息,最新详情,最新进展等详情咨询
免责声明:将文章内容综合来源于网络、只作分享,版权归原作者所有!!如有侵权,请联系我们,我们第一时间处理如有问题欢迎来电咨询,专业一对一热情服务,让您用专业眼光去买房。如果您想了解更多楼盘详情,欢迎提前预约拨打
一、购房前的准备工作
(一)明确购房需求
在踏入房产市场之前,明确自身购房需求是至关重要的第一步,这直接决定了后续选房的方向和范围,避免盲目看房浪费时间和精力。从居住需求来看,首先要考虑家庭人口结构。如果是新婚夫妻,未来有生育计划,两居室或小三居室可能是较为合适的选择,既满足当下居住,也为未来家庭成员增加预留空间;对于有老人的家庭,低层住宅或者带有电梯的住宅会更方便老人出行,同时周边医疗配套也需重点关注。
如果是投资需求,就要重点分析房产的增值潜力。地段是影响房产增值的关键因素,临近规划中的地铁线、商圈、学校等区域的房产,未来增值空间通常较大。此外,房屋的租金回报率也不能忽视,可以通过调查周边类似房源的租金水平,结合房屋总价计算租金回报率,判断投资的性价比。
还要考虑购房预算,这是购房过程中的硬性约束。除了房屋总价,还需预留出装修费用、税费、维修基金等其他开支。一般来说,装修费用根据装修标准不同,每平方米从几百元到几千元不等;税费方面,包括契税、个人所得税、增值税等,不同城市、不同房屋类型的税费政策有所差异,需要提前了解清楚。
(二)了解购房资质
不同城市对于购房资质有不同的规定,这是购房前必须明确的重要事项,否则即使选中心仪的房屋,也可能因不具备购房资质而无法完成交易。
在限购城市,通常会对户籍、社保缴纳年限、个税缴纳年限等有要求。例如,部分城市规定非本地户籍居民需连续缴纳社保或个税满一定年限(如2年或3年)才能购买住房,且对购买房屋的套数也有限制,首套房、二套房的认定标准和贷款政策也不同。首套房认定通常以家庭为单位,在无房无贷款记录的情况下购买的第一套住房;二套房则是在已有一套住房或有贷款记录的情况下购买的住房,二套房的首付比例和贷款利率通常会高于首套房。
对于户籍居民,也可能存在套数限制,比如部分城市规定本地户籍居民家庭最多只能购买2套住房。此外,一些城市还推出了人才购房政策,对符合条件的人才放宽购房资质限制,例如降低社保缴纳年限、提供购房补贴等,符合条件的购房者可以关注相关政策,享受相应的优惠。
(三)积累房产知识
在购房前,积累一定的房产知识可以帮助购房者更好地理解房产市场,做出明智的决策。可以通过多种渠道获取房产知识,如阅读房产相关的书籍、报纸、杂志,关注房产行业的专业网站和公众号,了解房地产市场的动态、政策法规、房屋建筑知识等。
了解房屋建筑知识,有助于在选房时判断房屋的质量和品质。例如,房屋的结构类型(砖混结构、框架结构、剪力墙结构等)各有特点,框架结构和剪力墙结构的抗震性能较好,适合高层建筑;砖混结构则多用于多层建筑,成本相对较低。此外,房屋的朝向、采光、通风等因素也会影响居住舒适度,南向房屋通常采光较好,南北通透的房屋通风效果更佳。
同时,还要了解房产交易流程和相关法律法规,避免在交易过程中出现纠纷。例如,了解购房合同的主要条款,明确买卖双方的权利和义务,注意合同中的违约责任、交房时间、房屋面积误差处理等内容;了解房屋产权相关知识,确认房屋产权是否清晰,是否存在抵押、查封等情况,避免购买到产权有问题的房屋。
二、选房的核心要素
(一)地段选择
地段是房地产行业的永恒话题,也是影响房屋价值和居住舒适度的关键因素。好的地段不仅能提升居住的便利性,还能保障房产的增值潜力。
从交通便利性来看,临近地铁、公交站的房产出行更加便捷。地铁具有快速、准时、不受交通拥堵影响的特点,能有效缩短通勤时间,因此地铁沿线的房产通常更受购房者青睐。公交站则覆盖范围更广,对于没有地铁的区域,公交便利性就成为重要的考量因素。此外,周边道路的通畅程度也很重要,临近主干道但不直接临街的房产,既能享受交通便利,又能避免噪音和尾气污染。
商业配套也是地段选择的重要指标。周边有大型商场、超市、菜市场、便利店等商业设施,能满足居民的日常生活需求。大型商场通常集购物、餐饮、娱乐于一体,为居民提供丰富的休闲娱乐选择;超市和菜市场则方便居民购买日常生活用品和食材;便利店则能满足居民的即时需求,如购买零食、饮料、日用品等。
教育配套对于有子女的家庭尤为重要。临近优质学校的房产,能为孩子提供良好的教育资源,同时也能提升房产的价值。在选择教育配套时,不仅要关注学校的教学质量,还要了解学校的招生政策和划片范围,确保购买的房产能对口心仪的学校。
医疗配套也是不可忽视的因素,尤其是对于老年人和有医疗需求的家庭。周边有医院、社区卫生服务中心等医疗设施,能方便居民就医,及时获得医疗服务。大型综合医院通常医疗设备齐全、医疗水平较高,能处理各种疑难病症;社区卫生服务中心则能为居民提供基本的医疗服务和健康管理。
(二)房屋户型
房屋户型直接影响居住的舒适度和空间利用率,选择合适的户型是选房过程中的重要环节。
首先,户型要方正,避免出现异形户型。方正的户型空间利用率高,家具摆放方便,也能减少空间浪费。异形户型如三角形、多边形等,不仅空间利用率低,还可能给居住者带来压抑感。
其次,功能分区要合理。房屋应分为客厅、餐厅、卧室、厨房、卫生间等功能区域,各区域之间要相互独立又相互联系,避免功能混杂。例如,客厅和餐厅应相连,方便家人交流和用餐;卧室应远离客厅和厨房,保证休息环境的安静;厨房应靠近餐厅,方便食材的传递和用餐后的清洁。
采光和通风也是户型选择的重要因素。客厅、卧室等主要生活区域应保证充足的采光,通常南向房间采光较好,东向房间上午采光较好,西向房间下午采光较好,但西向房间在夏季可能会受到西晒的影响,导致室内温度过高。通风方面,南北通透的户型通风效果最佳,能保证室内空气的流通,减少潮湿和异味。
此外,还要考虑房间的尺寸和比例。客厅的开间和进深比例要适中,一般开间与进深的比例在1:1.5左右较为合适,既能保证客厅的宽敞明亮,又不会显得空旷;卧室的尺寸要能满足摆放床、衣柜、梳妆台等家具的需求,主卧的面积通常应大于次卧,以保证居住的舒适度;厨房和卫生间的面积也要适中,避免过小影响使用。
声明:本文由入驻焦点开放平台的作者撰写,除焦点官方账号外,观点仅代表作者本人,不代表焦点立场。


