海玥黄浦源售楼处(上海黄浦)-海玥黄浦源首页网站丨楼盘详情/户型/价格/地址
扫描到手机,新闻随时看
扫一扫,用手机看文章
更加方便分享给朋友
上海黄浦「海玥黄浦源」
售楼处电话:400-9966-224【预约热线】(一对一热情服务)
如有问题欢迎来电咨询,专业一对一热情服务,让您用专业眼光去买房。
上海黄浦海玥黄浦源售楼处电话:400-9966-224【预约热线】作为唯一一个全境划入中央活动区(CAZ)的区域。无论是人民广场、外滩、还是豫园、老城厢和新天地,单独拿出一个,都是上海的名片之作,具备强烈的城市的地标属性与圈层的可识别性。
图源:上海黄浦

上海黄浦海玥黄浦源售楼处电话:400-9966-224【预约热线】尽管已经成熟至此,黄浦却从未停下寻求更高质量发展的脚步。
上海黄浦海玥黄浦源售楼处电话:400-9966-224【预约热线】在《黄浦区空间布局“十四五”规划》中,提出到2035年,黄浦将全面形成“三带两轴四组团”格局。“苏州河创新服务和文化休闲带”重点发展创新和文化,“南京路-人民广场功能组团”将被打造成繁华的国际一流商务区和中央活动区,成为新时代上海面向全球的“心脏、窗口、名片”。
届时的黄浦各方面能级都将更上一层楼,刷新城市发展上限。海玥黄浦源位居人民广场核心区域,项目(尤其是1号地块)紧邻苏州河中央活动区,享有一江一河发展成果,居住价值与稀缺属性不可复制!
规划图仅为概念示意展示,仅供参考

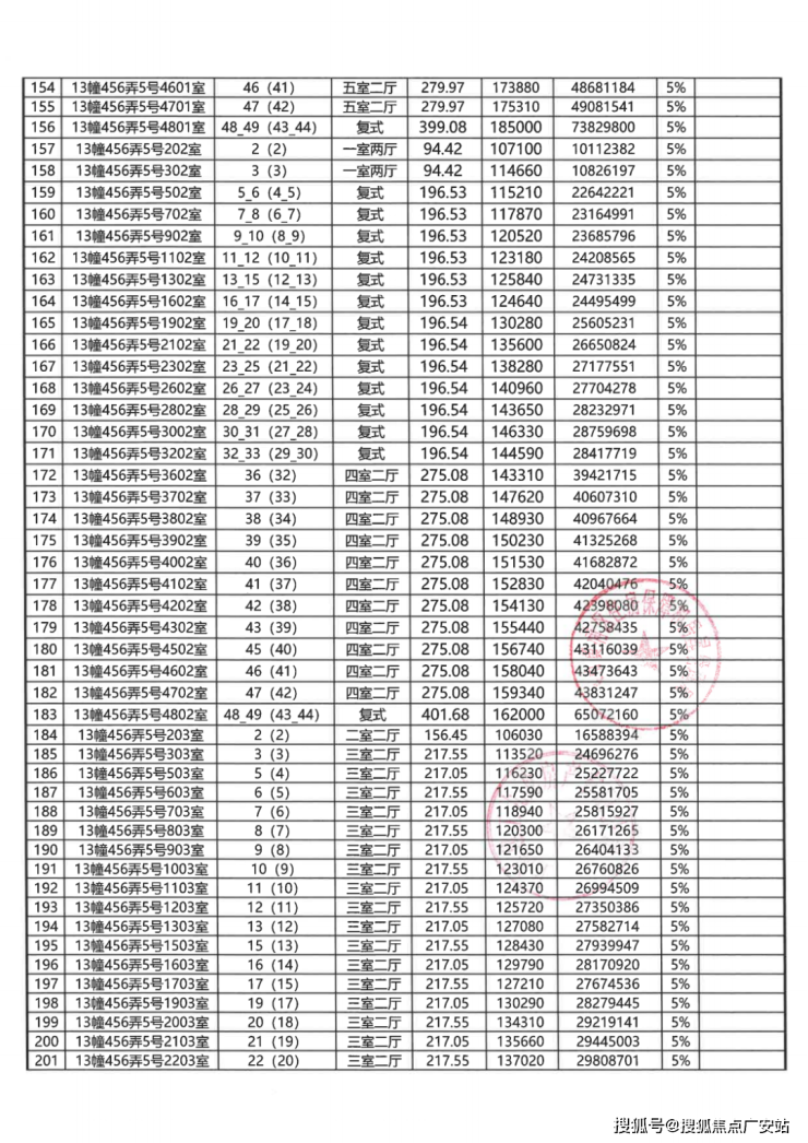
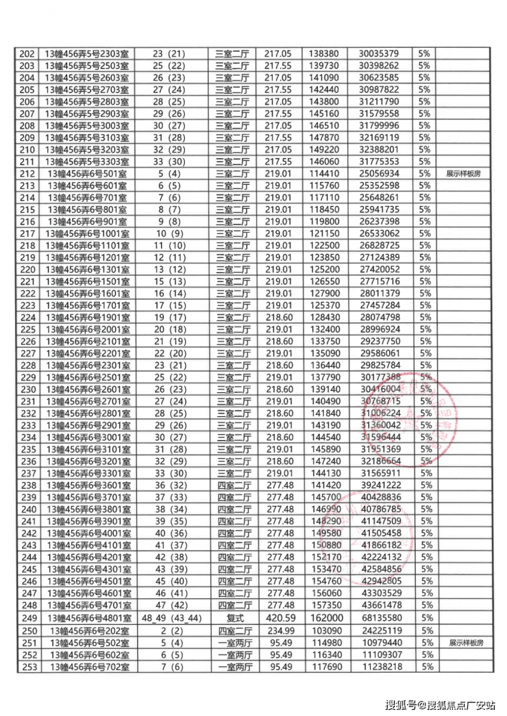
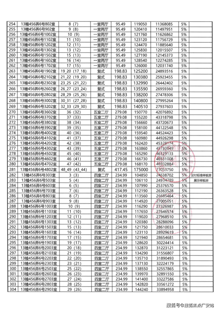
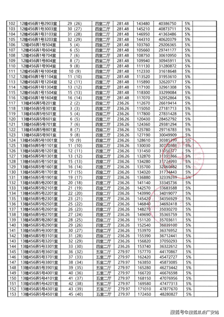
上海黄浦海玥黄浦源售楼处电话:400-9966-224【预约热线】9月25日,海玥黄浦源首期开盘,308套房源,323组认购,未触发积分。开盘当天售出约240套,去化率约78%。

上海黄浦海玥黄浦源售楼处电话:400-9966-224【预约热线】
现在少量建面约188-408㎡3-5房超高层续销中均价143000元/㎡
无需积分直接定!







上海黄浦海玥黄浦源售楼处电话:400-9966-224【预约热线】建面约188㎡户型
上海黄浦海玥黄浦源售楼处电话:400-9966-224【预约热线】建面约193㎡户型
建面约235㎡户型
建面约278㎡户型
建面约408㎡户型

上海黄浦海玥黄浦源售楼处电话:400-9966-224【预约热线】

地块回顾及规划
上海黄浦海玥黄浦源售楼处电话:400-9966-224【预约热线】海玥黄浦源地处黄浦静安交汇处,南临人民广场,北临苏州河,地理位置得天厚。地铁1号线新闸路站、13号线自然博物馆站、黄河路美食街、南京东路步行街、游艇码头、雕塑公园等都近在咫尺,是上海建工倾力打造的市中心品质小区。

海玥黄浦源即为之前爆料的新昌城二期,整个项目是新昌路001、006、007街坊三个地块组成,分两期开发,项目一期(6#)就是【上海滩新昌城】,内环内有名的品质住宅小区,已经交付多年!
项目由南北两幅地块组成:就是上述的001、007街坊,即称1#地块和7#地块,其中,
上海黄浦海玥黄浦源售楼处电话:400-9966-224【预约热线】1#地块四至范围:东至新桥路,南至新闸路,西至成都北路,北至成都北路1012弄。
上海黄浦海玥黄浦源售楼处电话:400-9966-224【预约热线】7#地块四至范围:东至新昌路,南至北京西路,西至成都北路,北至山海关路。
上海黄浦海玥黄浦源售楼处电话:400-9966-224【预约热线】绝对的黄金地段,其中1号地块临苏州河,离1号线新闸路站也很近。
上海黄浦海玥黄浦源售楼处电话:400-9966-224【预约热线】7号地块离人民广场直线距离只有约500米
上海黄浦海玥黄浦源售楼处电话:400-9966-224【预约热线】1#地块:分为南北两块:南块,东至新桥路,南至新闸路,西至成都北路,北至成都北路1012弄;北块,东至新桥路,南至新桥路51弄,西至九子公园,北至南苏州路。未来主力产品为超高层住宅。
根据规划方案显示,1#地块总用地面积:26438㎡;总建筑面积:20165㎡,其中地上建筑面积:146743.8㎡,地下建筑面积:54912.2㎡。
上海黄浦海玥黄浦源售楼处电话:400-9966-224【预约热线】项目只有四幢住宅,其中,1#南地块包含3栋(1-3号楼)、1#北地块仅1栋(4号楼)
1#楼49层,总高165米;
2#楼44层,总高142.8米;
3#楼45层,总高145.65米;
4#楼16层,总高53.70米。

上海黄浦海玥黄浦源售楼处电话:400-9966-224【预约热线】约165米超高层,刷新黄浦天际线,更由外而内,尽显超高品质!
地段天赋甚高,其实在这样的市场下海玥黄浦源真的不用太努力。
但这是一家对品质精益求精的开发商,从高度、外立面、社区到户型都精益求精。
上海黄浦海玥黄浦源售楼处电话:400-9966-224【预约热线】海玥黄浦源由世界500强上海建工集团打造,其建筑品质,建筑规划在国内都是首屈一指。
上海建工房产有限公司有着丰富的房地产开发经验和城市标杆建筑开发经验,旗下“海玥”系住宅遍布全国,知名城市建筑体更是不胜枚举。
相信在如此强有力的开发背景下,海玥黄浦源必定会展现出卓越的品质。
项目效果图

上海黄浦海玥黄浦源售楼处电话:400-9966-224【预约热线】1、约165米超高层,傲立黄浦之巅!既是身份象征,又有瞰遍市中心的视野!
地标,尤其是地标天际线,既成就了一座城市的繁华,也是人们对世界级城市直观的形象印记。
上海黄浦海玥黄浦源售楼处电话:400-9966-224【预约热线】海玥黄浦源一号地块由1幢高层和3幢超高层组成,最高的1号楼建成后将高达约165米,这个高度既刷新了黄浦天际线,更超过了汤臣一品、华侨城苏河湾等超高层住宅。
从建筑高度、项目调性上,海玥黄浦源已剑指上海尖端豪宅!
项目效果图

上海黄浦海玥黄浦源售楼处电话:400-9966-224【预约热线】从全上海看,不管地段、形象还是恢弘性,几乎没有能超越海玥黄浦源的,堪称全国新地标、楼王!
这一地标属性,也为项目增添了一份收藏价值,以及油然而生自豪的身份感!
上海黄浦海玥黄浦源售楼处电话:400-9966-224【预约热线】而登高之后,你就能明显感受到超高层住宅的景观优势。
华灯初上,外滩恢弘夜景、陆家嘴三件套闪耀的璀璨灯光、“恒梅泰”商圈摩天大楼灯光流转变幻,脚下街角巷陌霓虹闪烁,你所能想到的关于上海的亮眼景色,都被一一收入眼底。
上海黄浦海玥黄浦源售楼处电话:400-9966-224【预约热线】2、外立面不计成本,采用大面积铝板!
从效果图看,海玥黄浦源通过古铜色、深灰色+铝板、镜面铝板的完美搭配,再镶嵌竖向线条和立面层次,体现出威仪肃穆的高级感。
项目效果图

上海黄浦海玥黄浦源售楼处电话:400-9966-224【预约热线】这样的高级感,背后是高昂的成本。因为铝板的费用非常高昂!你可以认为,这是品质房企给购房者带来的颜值红利。
上海黄浦海玥黄浦源售楼处电话:400-9966-224【预约热线】而且,同样的铝板外立面,也是分三六九等。一些号称铝板外立面的楼盘,往往一般只是南立面采用,因为投入实在太大。
而项目外立面采用大面积铝板,并且铝板为大块整装铝板,而非小块拼接铝板。造价和其呈现出的品质工艺和视觉感觉在同区域里傲视群雄。
值得一提,项目建筑设计与外滩万国建筑博览群的建筑风格一脉相承,为ARTDECO风格,三段式立面,塑造出有立体感的韵律天际线!
项目效果图

上海黄浦海玥黄浦源售楼处电话:400-9966-224【预约热线】3、项目内部围合起近3000㎡的开放式绿地!
上海黄浦海玥黄浦源售楼处电话:400-9966-224【预约热线】一般市中心项目不会有太集中的中心景观,因为寸土寸金,地太值钱了。
而这一次在海玥黄浦源,因地制宜进行“一星四叶”的建筑排布,围合出了市中心罕见的3000㎡集中景观。
并借鉴海派大都会园林的的摩登、精致、艺术、惬意之精髓,以水为径、以形为礼、以园为厅,打造情景交融的塔尖圈层社区场景。
项目示意图,仅供参考

上海黄浦海玥黄浦源售楼处电话:400-9966-224【预约热线】另外,在社区景观轴线的布局方面,海玥黄浦源非常注重空间序列和对位关系,营造出强烈的仪式感。
值得一提,1号地块还紧邻九子公园、苏州河景观步道等,这样就形成了内外双绿地的格局,为高净值人士营造了市中心难得“出则显、入则藏”的居住氛围,可一键从繁华快生活切换到诗意慢生活。
4、挑高入户大堂!
上海黄浦海玥黄浦源售楼处电话:400-9966-224【预约热线】海玥黄浦源在超高层中配置了挑高入户大堂,充分将空间的尺寸发挥到极致。
通过智慧化管理电梯梯控设计,也充分考虑了业主的居住安全性和尊贵感,精雕细琢入户仪仗,用心铺排归家之礼。
上海黄浦海玥黄浦源售楼处电话:400-9966-224【预约热线】项目效果图

5、多元化高端配套!
小区沿新闸路界面两边将延展高端商业配套,这样小区外面既有商业,又有绿地、浓厚的人文建筑,未来这里新旧结合,洋气与烟火气融合交织。

上海黄浦海玥黄浦源售楼处电话:400-9966-224【预约热线】再看7#地块。根据规划,项目总用地面积46089㎡、总建筑面积178560㎡ 、其中,地上建筑面积60275㎡,地下建筑面积118285㎡。
上海黄浦海玥黄浦源售楼处电话:400-9966-224【预约热线】和1#地块相比,7号地块的容积率只有约1.3,限高12米。地上规划大多为2-3层。
地下空间建设层数不大于三层,地下一层建设范围不大于4.35万平方米。
上海黄浦海玥黄浦源售楼处电话:400-9966-224【预约热线】根据网友爆料,7号地块产品为建面约98-662㎡公寓、叠墅、联排、双拼和独栋别墅。
上海黄浦海玥黄浦源售楼处电话:400-9966-224【预约热线】而且7号地块有非常多的优秀历史建筑,比如浦行别墅、陇西里、新余里、裕洪里、承德坊、道达里等。
深居城心,人文底蕴深厚的别墅,直接把期待值拉满啊!

项目效果图如下:

上海黄浦海玥黄浦源售楼处电话:400-9966-224【预约热线】至于配套方面,项目是城市核心位置,去哪里都方便,所以这里就简单跟小伙伴们说下
交通方面:项目紧邻地铁1号线、13号线及南北高架,公共出行或自驾都十分便捷。
实景图
上海黄浦海玥黄浦源售楼处电话:400-9966-224【预约热线】商业方面:项目周边有人民广场、南京东路、南京西路等高端集中商圈。
实景图
上海黄浦海玥黄浦源售楼处电话:400-9966-224【预约热线】教育方面:项目周边有上海市黄浦区曹光彪小学、上海市格致初级中学等知名院校。
实景图
上海黄浦海玥黄浦源售楼处电话:400-9966-224【预约热线】生态休闲:静安雕塑公园就在附近。
医疗方面:周边有上海市长征医院、上海市静安区北站医院、上海市静安区中心医院等。
上海黄浦海玥黄浦源售楼处电话:400-9966-224【预约热线】(一对一热情服务)如有问题欢迎来电咨询,专业一对一热情服务,让您用专业眼光去买房。
声明:本文由入驻焦点开放平台的作者撰写,除焦点官方账号外,观点仅代表作者本人,不代表焦点立场。


