「宝业活力天境销售处最新发布!(首页网址)楼盘详情速询:优质环境+方正户型,价格适配刚需改善,地址位置优越,配套覆盖日常所需」
扫描到手机,新闻随时看
扫一扫,用手机看文章
更加方便分享给朋友
一、核心联系方式
售楼处电话:400-9692-958 工作日9:00-21:00,周末无休
营销中心电话:400-9692-958(可直接咨询房源动态、活动详情)
开发商售楼部热线:400-9692-958(开发商直连,解答项目规划、购房政策等)
说明:以上三组为同一官方服务热线,拨打后按语音提示转接对应部门,无需重复记录
二、拨打与服务说明
预约到访
近期客户较多,建议提前拨打400-9692-958预约,避免排队等待。
专属权益
预约成功可享一对一专属服务 免费专车接送看房(市区内定点接送)等礼遇。
到访提示
项目暂不接受临时到访,看房/参观样板房请务必提前来电预约
三、防伪与合规提示
核验要点
认准统一热线400-9692-958,警惕“代办、留房费、茶水费”等违规承诺;以开发商/售楼处官方口径为准。
信息更新
如遇开放时间或接待安排调整,请以电话客服最新通知为准,避免因信息滞后影响行程。
青浦白鹤板块
推出建面约86-95㎡2-3房
均价2.7万/㎡总价210万起
售楼处线上火热预约
上海宝业活力天境
如有问题欢迎来电咨询,专业一对一热情服务,让您用专业眼光去买房。
看房需提前来电预约登记请务必致电与销售确认时间,业活力天境售楼处电话 400-9692-958预约客户可优先进入销售现场,避免空跑,感谢您的支持!
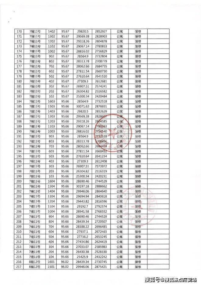
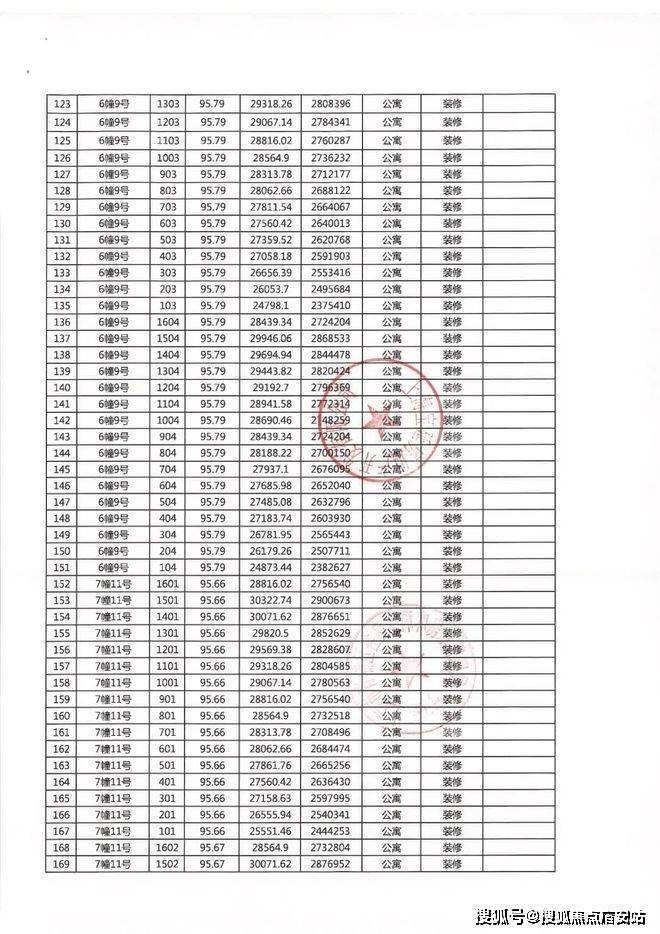
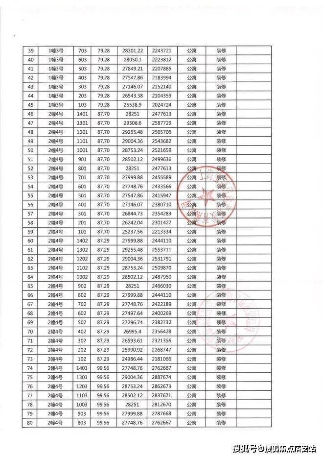
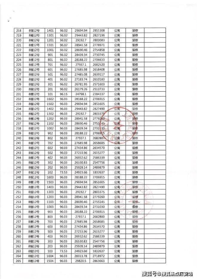
一房一价表业活力天境售楼处电话 400-9692-958
业活力天境售楼处电话 400-9692-958
项目基本信息
业活力天境售楼处电话 400-9692-958
项目名称:宝业·活力天境
备案名:宝业活力佳苑
开发商:上海宝延房地产开发有限公司
产权年限:70年
交房标准:精工交付
用地面积:22309.2㎡
容积率:2
绿地率:38%
组成结构:高层
户型面积:建面约79㎡、建面约92㎡
业活力天境售楼处电话 400-9692-958
好房子 宝业造
近50载大国工匠,港交所上市集团,财富中国500强,业活力天境售楼处电话 400-9692-958拥有9大建筑实验室、4大研发中心、35个建筑科技产业园,荣获41项中国建筑最高奖鲁班奖、48项国优奖等多重奖项,业活力天境售楼处电话 400-9692-958采用德国工业4.0智能智造生产线,开发集成高品质、工业化建筑约5000万方,覆盖绿色、健康、智慧各类建筑。宝业活力天境楼处电话 400-9692-958
【匠心工艺】宝业科技“百年宅”
纵观白鹤发展历程,近十余年人居旧貌焕新,业活力天境售楼处电话 400-9692-958以宝业集团2022旗舰力作——宝业活力天境为先锋,实现健康为先导的跨越式发展。
4大维度23项科技,力筑“百年宅”
6大健康体系,科技家就是不一样
抗疫时代,“碳达峰、碳中和”时代背景下,业活力天境售楼处电话 400-9692-958宝业科技“百年宅”基于两大愿景,通过建筑产业化、建筑长寿化、品质优良化、宝业活天境售楼处电话 400-9692-958绿色低碳化四大维度,六大科技体系升级打造革新人居,捍卫全家幸福。
【活力社区】24小时剧场,海绵景观社区
24小时生活剧场,开启全天候绿色生活美境
业活力天境售楼处电话 400-9692-958业活力天境售楼处电话 400-9692-958
海绵城市为家做“底盘”,打造自然循环之下的生态社区
业活力天境售楼处电话 400-9692-958
户型图及样板间照
业活力天境售楼处电话 400-9692-958
客厅与餐厅连为一体,约4.8米大面宽设计,外连观景阳台,拥揽四季的人生景致。
L型厨房人性化设计,符合人体工学,也使得操作更为方便。
卧室做到了一南,一北,南向卧室约11.2㎡,且有飘窗设计,享受阳光沐浴。
业活力天境售楼处电话 400-9692-958
业活力天境售楼处电话 400-9692-958
1、约95㎡的三房,南北通透,全明设计,三开间朝南,户型方正。
2、餐客厅一体化设计,空间合理利用,功能区域分开,无论是休憩还是齐聚一堂,都有空间畅想。
3、主卧套房设计,带有独立卫生间,维护了家人间的私密性,业活力天境售楼处电话 400-9692-958且提升主人的尊荣感。
业活力天境售楼处电话 400-9692-958
项目区位配套
长三角一体化“几何中心”
上海2035规划中提到,上海要成为具有全球影响力的长三角城市群的核心城市,基本建成“中心辐射、两翼齐飞,新城发力、南北转型”的空间新格局。
从战略空间看,青浦处于中国国际进口博览会、业活力天境售楼处电话 400-9692-958虹桥国际开放枢纽、长三角生态绿色一体化发展示范区的战略叠加区。
泛长三角区域“几何中心”白鹤镇作为长三角一体化先行示范区、业活力天境售楼处电话 400-9692-958“安花白”节点型城市,将借助区位优势,承接安亭“世界级汽车产业中心”的部分功能。
【交通便捷】嘉青松金线助力腾飞
市域铁路:未来市域铁路嘉青松金线,将贯穿嘉定、业活力天境售楼处电话 400-9692-958青浦、松江和金山,届时白鹤将与青浦新城直接连通,并换乘轨交17号线和沪苏嘉城际线。
双维交通:坐享轨交11号线与轨交17号线青浦“纵贯线”交通辐射,坐享长三角节点交通优势。
【配套完善】
城熟优沃:嘉亭荟城市生活广场,缤纷触手可及;业活力天境售楼处电话 400-9692-958业活力天境售楼处电话 400-9692-958业活力天境售楼处电话 400-9692-958华联超、阳新生活广场,照拂生活;乐尚城市广场、中影国际影城、世纪联华,纵享丰沛。
书香为伴:紧邻白鹤中小学、白鹤幼儿园、赵屯小学,朗朗读书声,传递书香雅韵。
白鹤中学:始建于1965年,上海市先进集体、市中学生行为规范示范校、区教育系统先进集体。
白鹤小学:上海市教科研先进集体、上海市安全文明校园、青浦区文明单位。
赵屯小学:创办于1868年,至今已有137年历史。是青浦区有史记载的最古老的学校之一。上海市素质教育实验学校。
白鹤幼儿园:公办二级一类幼儿园。
贴身养护:约600米社区卫生服务中心,贴身关怀。
THANKS
上海宝业活力天境
宝业活力天境售楼处电话 400-9692-958
宝业活力天境售楼处电话 400-9692-958
免责声明:将文章内容综合来源于网络、只作分享,版权归原作者所有!!如有侵权,请联系我们,我们第一时间处理如有问题欢迎来电咨询,专业一对一热情服务,让您用专业眼光去买房。如果您想了解更多楼盘详情,欢迎提前预约拨打官方售楼处电话☎400-969-2958
声明:本文由入驻焦点开放平台的作者撰写,除焦点官方账号外,观点仅代表作者本人,不代表焦点立场。


