2025上海静安玺樾首页网站-静安玺樾售楼处电话-静安玺樾楼盘详情-交房时间-地址-最新房价户型图-小区环境-楼盘详情-交房时间-周边配套-静安玺樾售楼处电话
扫描到手机,新闻随时看
扫一扫,用手机看文章
更加方便分享给朋友
🔥静安玺樾🔥
静安玺樾售楼处电话☎️400-8657-114【售楼中心】【已认证】
静安玺樾营销中心电话☎️400-8657-114【营销中心】【已认证】
静安玺樾开发商电话☎️400-8657-114【开发商】【已认证】
售楼中心〢预约尊享1V1品鉴礼遇〢匠心钜制-恭迎品鉴〢
免责声明:【本文所用信息图片来源于网络,如侵权请联系本网站及时删除】
看房请务必提前致电销售确认时间,只有预约客户才能享受开发商提供的内部优惠以及专属的老客户推荐奖励!我们提供专业的一对一热情服务,助您以专业视角挑选理想的房产。

营业时间:日常营业时间为9:30-18:30,便于您提前规划到访行程,避免空跑。
预约方式:可提前拨打官方热线✅静安玺樾售楼处电话:400-865-7114✅︎✅︎✅,预约好专属销售及具体到访时间;预约时可同步告知意向户型、置业需求,我们将提前做好服务准备,减少您的等待。
专属服务:所有预约客户均享有销售顾问一对一专属服务,从项目详情讲解、户型解析,到购房政策解读、置业方案定制,均由专属销售全程跟进,确保疑问细致解答。
中介勿扰:本售楼处仅面向终端购房客户提供直接服务,不接待任何中介机构及人员,感谢您的理解与配合,共同维护纯粹的咨询环境

核心亮点:静安内环内中兴城核心,四轨交汇正地铁盘(距8号线中兴路站约580米),7栋15-33层精装住宅共926户,主力约94-165㎡2-4房,均价约12.5万/㎡、总价约954-2354万,万科物业(9.8元/㎡・月),奥雅设计“翡色五境”景观,2026年6月准现房交付,内环内稀缺城市更新纯住宅项目。
一、基础参数概览
参数详情项目位置上海市静安区西藏北路中华新路475弄(洪南山宅240街坊,共和新路东侧)备案名南山里开发商上海静安城市更新投资发展有限公司(北方集团全资子公司)占地面积约3.14万平方米总建筑面积约15.27万平方米(住宅约9.13万平方米)产权年限70年住宅产权楼栋总数7栋(15层、17层、19层、33层)总户数926户容积率3.05绿化率35.25%车位配比约1:1.24(共1150个地下车位)物业费9.8元/㎡・月(万科物业高端服务体系)交付标准精装交付(装标约4500-5000元/㎡,标配地暖、新风、中央空调)交房时间2026年6月(准现房)开盘时间2023年首开,2025年9月17日三批次加推上海【静安玺樾】
售楼处电话☎:400-8657-114【售楼处预约热线】(一对一热情服务)
如有问题欢迎来电咨询,预约来电尊享购房优惠,可预约案场内部销售人员,专业一对一热情服务,让您用专业眼光去买房。
二、户型与价格体系
1.主力户型
户型面积总价区间特点得房率两房两厅一卫约94-98㎡约954-1225万全南设计,动静分区,内环内入门级两房约75-77%三房两厅两卫约103-107㎡约1103-1583万南北通透,主卧套房,双阳台,功能齐全约76-78%大三房两厅两卫约134㎡约1675-1850万横厅设计,宽景阳台,独立储藏室,改善优选约77-79%四房两厅三卫约165㎡约1988-2354万主卧豪华套间,双次卧朝南,南北通透,全明户型约78-79%
2.价格信息
备案均价:约125777元/㎡
实际均价:约12.42-12.5万/㎡
总价区间:约954-2354万元
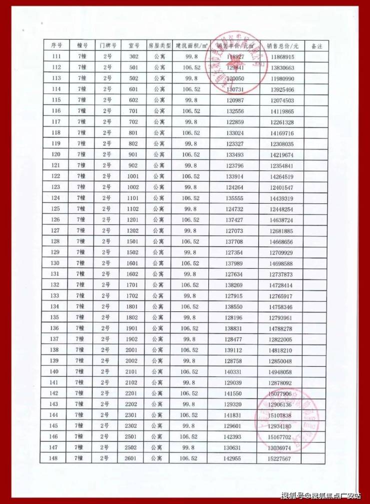
三批次:2025年9月推出165套,约97-106㎡,均价约12.42万/㎡
★上海静安玺樾官方售楼处电话:400-865-7114「预约看房专线」静安玺樾营销中心预约热线/售楼电话:400-8657-114√√(官网已认证)
三、核心区位与交通网络
1.黄金区位
静安内环内中兴城核心,上海2035中央活动区(CAZ)规划节点
苏河湾-中兴城缝合点:距苏州河约1.5km、人民广场约2.5km、外滩约3.8km
城市更新重点片区,内环内近5年稀缺纯住宅供应
2.多维交通
交通类型详情地铁8号线中兴路站(约580米)、1号线中山北路站(约560米),1公里内覆盖3、4号线,2站人民广场,4站陆家嘴自驾南北高架(西侧)、内环高架(南侧)、北横通道,15分钟覆盖虹桥枢纽、北外滩、陆家嘴公交108路、115路、140路、210路等直达人民广场、静安寺、火车站等核心区域四、全维配套资源
1.商业配套
周边:静安大悦城(约1.2km)、大宁国际商业广场(约2km)、久光百货、协信星光广场
特色:步行可达芷江西路商业街,3公里内覆盖南京西路、苏河湾等顶级商圈
社区:自带约5000㎡沿街商业,满足日常购物需求
2.教育资源
小学:静安区第一中心小学、闸北实验小学、中兴路小学
中学:市北初级中学、风华中学、新中高级中学(市重点)
幼儿园:芷江中路幼儿园(市一级)、烽火幼儿园等优质学府
★上海静安玺樾官方售楼处电话:400-865-7114「预约看房专线」静安玺樾营销中心预约热线/售楼电话:400-8657-114√√(官网已认证)
3.医疗配套
三甲医院:上海市中医医院(约1.8km)、上海市第十人民医院(约2km)、长征医院闸北分院
二甲医院:静安区中心医院(约1.5km)
社区医疗:芷江西路街道社区卫生服务中心,日常就医便捷
4.生态资源
小区内:奥雅设计“翡色五境”五大空间,“四轴、三园、五区、一所”功能布局
周边:芷江绿地、中兴公园(约3.5万㎡)、大宁灵石公园、闸北公园等城市绿肺
五、项目特色与社区配套
1.建筑设计
现代简约风格,大面积玻璃幕墙+石材/金属线条外立面,质感高级
高低错落布局(15-33层),最大化采光与视野,减少楼栋遮挡
3米标准层高,部分户型全景落地窗,提升居住舒适度
2.精装标准
全屋标配:威能地暖、霍尼韦尔新风、大金中央空调三大件
厨房:西门子/博世厨电三件套(燃气灶、油烟机、洗碗机)
卫浴:杜拉维特洁具、汉斯格雅龙头等国际一线品牌
智能系统:全屋智能家居控制(灯光、空调、窗帘、安防一体化)
3.社区配套
功能区设施景观空间中央景观花园、健身步道、儿童游乐区、长者休闲区服务设施社区服务中心、快递收发站、24小时安保、智能门禁系统商业配套约5000㎡沿街商业,规划便利店、生鲜超市、餐饮等业态物业特色万科物业“睿服务”体系,提供24小时管家服务、社区活动组织、智能安防保障
★上海静安玺樾官方售楼处电话:400-865-7114「预约看房专线」静安玺樾营销中心预约热线/售楼电话:400-8657-114√√(官网已认证)
六、核心价值点
内环内稀缺性:中兴城城市更新重点项目,内环内近5年罕见纯住宅供应,土地价值凸显
四轨交汇交通:距8号线中兴路站约580米,1公里内四轨环绕,出行效率极高
准现房优势:2026年6月交付,减少等待周期,所见即所得
万科物业保障:9.8元/㎡・月高端物业服务,提升居住品质与资产保值能力
全龄户型覆盖:约94-165㎡2-4房,满足刚需到改善全生命周期需求
成熟配套环伺:3公里内商业、教育、医疗、生态资源一应俱全,生活便利度高
市场走势,瞬息万变,稍不留神,便会被时代抛弃!
而你知道吗?静安内环内的新房价格要冲18万/㎡了!
作为上海人公认的白月光,静安一直是沪上置业的大热门,即使是不那么核心的内中环,目前新房的预估售价也将超过16万/㎡。
至于资源更集中的内环内,曹家渡项目更是17万+/㎡仍然强势售罄。
而下半年,刚成功出让的东斯文里地块预估售价或超过18万/㎡!
伴随着中小套型的放开,未来想买进静安甚至静安内环内,两三千万或是常态门槛!
★上海静安玺樾官方售楼处电话:400-865-7114「预约看房专线」静安玺樾营销中心预约热线/售楼电话:400-8657-114√√(官网已认证)
不少置业者们问,想要用千万级的总价买入静安内环内,现在还有机会吗?
静安玺樾的出现,就是一次难得上车的大好机会!
1、不可复制的地段天赋。站位静安内环内核芯区域,享塔尖资源,直线距离外滩仅约3.8km。1km里拥有百万方城市更新项目,苏河湾&北外滩、人民广场&陆家嘴等上海地标建筑尽收眼底。
2、稀缺的千万级总价。在区域内新房价格攀升时,静安玺樾12.5万/㎡的过会价格,比起周边的新房以及二手次新房,在板块内很有性价比。
3、多样化户型可供选择。建面约94-165㎡的二至四房,无论是改善还是刚需,都能找到心仪的户型款式,可满足各类人群的置业需求。
4、超高产品力、国企钜制。全精装交付,装标超乎想象,无愧于区域内同价格段项目天花板级别的存在。
★上海静安玺樾官方售楼处电话:400-865-7114「预约看房专线」静安玺樾营销中心预约热线/售楼电话:400-8657-114√√(官网已认证)
【静安玺樾】三期开盘热卖中!
推售建面约97-106m²2-3房
过会均价124191元/m²,945万起
前期少量建面约94-102-134-165㎡2-4房
过会均价125777元/m²,总价982万起
静安玺樾售楼处电话:400-8657-114【预约看房热线】静安玺樾官方售楼处电话:4008657114【售楼处电话/地址】静安玺樾售楼处电话:400_8657_114【开发商认证】
户型图赏鉴
建面约98㎡宽阔两房,非常适合单身或是年轻的小家庭置业。其得房率最高约79%,相较于市面上大多70-75%的项目,实实在在地省下了不少空间的置业成本!
更大的亮点还在项目不回避自身的“抗性”,将实体样板间做在了邻近高架的3号楼,优越的隔音效果与日常居住的静谧程度是置业者可以亲自感受到的。
第一个亮点,室内软装是邀请梁志天大师团队进行设计的,分为两大主题,预设家庭生活场景,围绕家庭成员的居住方式,加载健身、书房、茶室、养宠等功能,展现生活的精致感与摩登感。
静安玺樾售楼处电话:400-8657-114【预约看房热线】静安玺樾官方售楼处电话:4008657114【售楼处电话/地址】静安玺樾售楼处电话:400_8657_114【开发商认证】
第二个亮点,是动静分离+客餐厅一体化设计,功能区和休息区互不干扰,客餐厅、厨房等公共活动区集中在一侧,卧室等休息区全部一侧,保证了私密性!
第三个亮点,是尺度感!得益于高得房率,客餐厅朝南面宽大,衔接宽阔大阳台,而且像两间卧室都能轻松放下双人床,尤其是对于单身或两口之家,次卧完全可以成为X空间,工作室、电竞房、书房等尽可创意想象!
第四个亮点,是南向主卧套房设计,不仅能放得下2*1.8米双人床,且还能保留约1米的过道;同时带独立卫生间和大飘窗,增强私密性。
静安玺樾售楼处电话:400-8657-114【预约看房热线】静安玺樾官方售楼处电话:4008657114【售楼处电话/地址】静安玺樾售楼处电话:400_8657_114【开发商认证】

104㎡3户型特点:该户型多为楼栋的东边套,是一个观景户型。客厅连接270°阳台,视野出众。双卧朝南,阳光满溢。从次卫布局看,如果家庭人口较少,该户型还能做成双套卧。
此外,还具有独立储藏间,非常难得。该户型比较适合三口之家或三代同堂居住。
建面约103㎡3房2卫
该户型适合三口之家或年轻家庭居住的动静分区户型,厨房、餐厅、客厅及阳台一体化设计,动静完全分区设计,相当人性化。
主卧套房设计满满尊崇感,次卫三分离干湿分区设计,考量十分贴心。
静安玺樾售楼处电话:400-8657-114【预约看房热线】静安玺樾官方售楼处电话:4008657114【售楼处电话/地址】静安玺樾售楼处电话:400_8657_114【开发商认证】
建面约103㎡2+1房2卫
该户型的精髓是“+1”的灵动空间,可随着家庭结构和需求随心个性定制,书房、学习区、游戏区,女王化妆间等。
若维持两房,你将拥双开间大横厅设计及宽景阳台。同时,次卫设计取巧,可以做成套卧,那就是双套房。
值得一提,主卧套房空间阔绰,刚需面积改善的尺度,摆两个床头柜和衣柜空间都绰绰有余,床尾即使再放置柜子也不影响过道通行。
静安玺樾售楼处电话:400-8657-114【预约看房热线】静安玺樾官方售楼处电话:4008657114【售楼处电话/地址】静安玺樾售楼处电话:400_8657_114【开发商认证】

全球奢装品牌领衔,装修豪华。
项目装修配置堪称豪华,空调、地暖为大金或三菱重工(或同档次其它品牌),热水器选用瑞美或能率(或同档次其它品牌);新风为霍尼韦尔或大金(或同档次其它品牌)。
厨电5件套(油烟机、三眼燃气灶、洗碗机、烤箱、冰箱)均为美诺或斯麦格(或同档次其它品牌);水槽和龙头采用铂浪高或弗兰卡(或同档次其它品牌)。同时配置三玻两腔隔音降噪玻璃。
静安玺樾售楼处电话:400-8657-114【预约看房热线】静安玺樾官方售楼处电话:4008657114【售楼处电话/地址】静安玺樾售楼处电话:400_8657_114【开发商认证】

项目样板间实景图
项目信息
洪南山宅240街坊也曾经是老闸北区著名的棚户区,该街坊于2019年年初启动征收。洪南山宅240街坊项目开辟了市区联手、两级联动的融资新模式。
效果示意图
四至范围:东至302a-05、302a-06地块、南至中华新路、302a-12地块,西至共和新路(南北高架)、302a-07、302a-11地块,北至南山路、302a-03地块。
静安玺樾售楼处电话:400-8657-114【预约看房热线】静安玺樾官方售楼处电话:4008657114【售楼处电话/地址】静安玺樾售楼处电话:400_8657_114【开发商认证】
根据出让合同显示,规划用地面积31352.4平方米,地上计容面积为95624.82平方米,容积率为3.05,地块限高100米。该地块将新增926套住宅。
根据设计方案显示,该地块共规划了7幢层高在15-33层不等的高层,其中1号楼19,2号楼27层(局部24层),3号楼15层,4号楼33层,5号楼17层,6号楼为30层(局部20层),7号楼30层。
而北侧靠近南山路一侧还规划一幢最高6层的养老设施用房。在小区南北两侧的中华新路和南山路分别设有机动车出入口。
静安玺樾售楼处电话:400-8657-114【预约看房热线】静安玺樾官方售楼处电话:4008657114【售楼处电话/地址】静安玺樾售楼处电话:400_8657_114【开发商认证】
「静安玺樾」不仅拥有近约10w方规模的完整社区空间,还通过景观花园、泛会所等空间打造出满足儿童玩乐、家人休闲锻炼、社交会客的全年龄人群需求的豪宅优等社区。
项目园林由业界知名的奥雅设计操刀设计,打造了一个”翡光礼境“景观社区。
规划了“翡色五境”五大空间氛围,匠造融入时光、人文海派、自然与艺术、家庭与邻里的“四轴、三园、五区、一所”四大功能空间。
设计了“春赏花、夏赏绿、秋赏叶、冬赏姿”四季有景的长效花园,呈现四季景观皆不同的诗意雅致生活氛围。

翡色五境社区氛围
翡廊境:尊享连廊的归家体验
翡林境:绿荫包裹的林下漫步
翡溪境:舒适惬意的绿意溪径
翡湾境:放空归静的心灵港湾
翡屿境:欢乐温馨的家庭氛围
社区景观打造上还考虑了空间的功能丰富性,打造了三大花园空间:中心港湾花园、水溪花园,西入口归家花园,实现社区内各区域景观不同的丰富视觉盛宴~
静安玺樾售楼处电话:400-8657-114【预约看房热线】静安玺樾官方售楼处电话:4008657114【售楼处电话/地址】静安玺樾售楼处电话:400_8657_114【开发商认证】
林下空间用于会客、洽谈、休憩使用,零距离接触自然景观,惬意万分~
五大运动活力系统
精心设计的环绕社区的400m跑道系统串联热身区、定制主题儿童活动区、老年健身区、活力健身区和休憩缓冲区五大运动活力系统,家人在社区内锻炼身体的祥和画面呼之欲出。

户外定制化主题儿童区+架空层泛会所构成双儿童系统,以“秘境童话专列”的火车主题串联儿童活动空间,兼顾全年龄儿童不同游玩体验。
静安玺樾售楼处电话:400-8657-114【预约看房热线】静安玺樾官方售楼处电话:4008657114【售楼处电话/地址】静安玺樾售楼处电话:400_8657_114【开发商认证】
更有贴心细节设计:儿童活动区和老年健身区的器械均考虑防磕碰设计,地面均采用塑胶,以防磕碰受伤。
架空层位于5#楼王位置楼栋,用作泛会所空间,为孩子提供不受天气影响的社区活动空间,实属优秀~
与常规社区的三重归家礼序不同的是,「静安玺樾」创造出升级版“四轴”归家体系:气派入口门楼,精致艺术的归家廊厅,全区花园式入户以及仪式水系轴线空间。让你从社区大门开始就能感受到身为业主的尊崇感~
更值得一提的是,「静安玺樾」还设计了更加人性化的室内通行归家路线,更优于社区风雨连廊的设计,业主从南入口保安亭后方的电梯厅可以直达设计了采光排风井的B1层归家,不走地面社区道路就能免受风吹日晒,安全归家。
海派风格外立面+超低能耗住宅
建筑立面采用新海派风格,采用天然石材+真石漆+铝板设计打造,细节精致,线条流畅,优雅大气质感浑然天成。
与传统住宅截然不同的是,「静安玺樾」不惜成本打造了超低能耗住宅产品,将为业主带来一个四季如春的空间,享受到更加静谧的居住环境、更清新健康的空气、更安全的居住环境,还能降低更多的能耗!
静安玺樾售楼处电话:400-8657-114【预约看房热线】静安玺樾官方售楼处电话:4008657114【售楼处电话/地址】静安玺樾售楼处电话:400_8657_114【开发商认证】

从超一线装标到五星级地库,豪宅品质贯彻始终!
从装标上看,「静安玺樾」在装修标准上是下了功夫的,甚至可以说是“不惜成本”,超一线装标完全称得上“高配低价”这四个字!
中央空调、地暖、新风都是标配,室内厨卫都采用了国际一线品牌,让居住变得更为舒适的同时给足业主体验感和尊崇感。

尤其让人惊艳的还有项目豪掷重金为业主打造的五星级地库!
项目车库采用贯穿式鱼尾灯坡道和超耐磨地坪,过道全部采用精装吊顶,地下管道和局部区域进行二次包裹!尤其惊艳的是项目的豪华车马厅,采用水磨石、水晶漆、铝饰面、大板砖、立柱石材包边、门禁系统三合一!
如此用心着力只为给所有业主营造出独属的尊崇归家礼仪!
静安玺樾售楼处电话:400-8657-114【预约看房热线】静安玺樾官方售楼处电话:4008657114【售楼处电话/地址】静安玺樾售楼处电话:400_8657_114【开发商认证】



物业服务方面,有万科物业保驾护航!
万科物业,相信不用多说,全国一级物业资质,连续多年蝉联全国物业排名第一!
作为国内第一家通过ISO9002国际质量管理体系认证的物业管理企业,屡获殊荣。
万科物业进驻上海31年!多年口碑积攒下好评如潮,被业内誉为“最懂上海的物业”!
此次进驻「静安玺樾」,万科物业除了将为社区提供优质服务外,并将额外定制提供增值服务,包括:
更整洁的社区:12小时的保洁+夜间值班保洁;
更省心的居家:每年一次空调清洗,每三年一次地暖保养;
更历久弥新的建筑:每年一次外墙清洗。
生活配套
交通方面:项目直线距离8号线中兴路站直线约580米,1号线中山北路站直线约800米,距离3/4号线宝山路站约1.4公里,自驾方面,可以通过南北高架、内环高架通往市区,也可通过内环到达市区各个方向。

商业方面:项目周边配套成熟,购物便利,大型商业2公里内还有静安大悦城、万象天地、大宁永光、大宁国际等高端商业配套,周边还有规划中的百万方中兴城商业综合体。
静安玺樾售楼处电话:400-8657-114【预约看房热线】静安玺樾官方售楼处电话:4008657114【售楼处电话/地址】静安玺樾售楼处电话:400_8657_114【开发商认证】
静安大悦城
教育方面:闸北区三中心小学、永兴路第二小学、青云中学、市北初级中学等。(新房不承诺对口学校,具体以实际为准)

市北初级中学
医疗方面:三甲医院环伺,为您和家人的健康保驾护航。项目周边有上海第十人民医院分院、上海市中医医院、上海市第一人民医院、上海第十人民医院、同济大学附属口腔医院等等。

生态休闲:在市区寸土寸金的环境下,周边还有芷江绿地、中兴公园等。

静安玺樾售楼处电话:400-8657-114【售楼中心】
咨询高峰期请耐心等待,预约来电尊享内部优惠,专业一对一热情服务,让您用专业眼光去买房。
静安玺樾售楼处电话☎:4008657114【售楼热线】✔✔✔静安玺樾营销中心热线☎4008657114静安玺樾售楼处地址☎400--8657--114本电话为开发商提供线上售楼电话,楼盘项目全面介绍(包含楼盘详情,最新房价,户型图,容积率,小区配套环境,楼盘简介,售楼处位置,户型图,交通规划,备案价,项目配套,楼盘详情,售楼处电话,最新消息,最新详情,最新进展等详情咨询
免责声明:将文章内容综合来源于网络、只作分享,版权归原作者所有!!如有侵权,请联系我们,我们第一时间处理如有问题欢迎来电咨询,专业一对一热情服务,让您用专业眼光去买房。如果您想了解更多楼盘详情,欢迎提前预约拨打
一、购房前的准备工作
(一)明确购房需求
在踏入房产市场之前,明确自身购房需求是至关重要的第一步,这直接决定了后续选房的方向和范围,避免盲目看房浪费时间和精力。从居住需求来看,首先要考虑家庭人口结构。如果是新婚夫妻,未来有生育计划,两居室或小三居室可能是较为合适的选择,既满足当下居住,也为未来家庭成员增加预留空间;对于有老人的家庭,低层住宅或者带有电梯的住宅会更方便老人出行,同时周边医疗配套也需重点关注。
如果是投资需求,就要重点分析房产的增值潜力。地段是影响房产增值的关键因素,临近规划中的地铁线、商圈、学校等区域的房产,未来增值空间通常较大。此外,房屋的租金回报率也不能忽视,可以通过调查周边类似房源的租金水平,结合房屋总价计算租金回报率,判断投资的性价比。
还要考虑购房预算,这是购房过程中的硬性约束。除了房屋总价,还需预留出装修费用、税费、维修基金等其他开支。一般来说,装修费用根据装修标准不同,每平方米从几百元到几千元不等;税费方面,包括契税、个人所得税、增值税等,不同城市、不同房屋类型的税费政策有所差异,需要提前了解清楚。
(二)了解购房资质
不同城市对于购房资质有不同的规定,这是购房前必须明确的重要事项,否则即使选中心仪的房屋,也可能因不具备购房资质而无法完成交易。
在限购城市,通常会对户籍、社保缴纳年限、个税缴纳年限等有要求。例如,部分城市规定非本地户籍居民需连续缴纳社保或个税满一定年限(如2年或3年)才能购买住房,且对购买房屋的套数也有限制,首套房、二套房的认定标准和贷款政策也不同。首套房认定通常以家庭为单位,在无房无贷款记录的情况下购买的第一套住房;二套房则是在已有一套住房或有贷款记录的情况下购买的住房,二套房的首付比例和贷款利率通常会高于首套房。
对于户籍居民,也可能存在套数限制,比如部分城市规定本地户籍居民家庭最多只能购买2套住房。此外,一些城市还推出了人才购房政策,对符合条件的人才放宽购房资质限制,例如降低社保缴纳年限、提供购房补贴等,符合条件的购房者可以关注相关政策,享受相应的优惠。
(三)积累房产知识
在购房前,积累一定的房产知识可以帮助购房者更好地理解房产市场,做出明智的决策。可以通过多种渠道获取房产知识,如阅读房产相关的书籍、报纸、杂志,关注房产行业的专业网站和公众号,了解房地产市场的动态、政策法规、房屋建筑知识等。
了解房屋建筑知识,有助于在选房时判断房屋的质量和品质。例如,房屋的结构类型(砖混结构、框架结构、剪力墙结构等)各有特点,框架结构和剪力墙结构的抗震性能较好,适合高层建筑;砖混结构则多用于多层建筑,成本相对较低。此外,房屋的朝向、采光、通风等因素也会影响居住舒适度,南向房屋通常采光较好,南北通透的房屋通风效果更佳。
同时,还要了解房产交易流程和相关法律法规,避免在交易过程中出现纠纷。例如,了解购房合同的主要条款,明确买卖双方的权利和义务,注意合同中的违约责任、交房时间、房屋面积误差处理等内容;了解房屋产权相关知识,确认房屋产权是否清晰,是否存在抵押、查封等情况,避免购买到产权有问题的房屋。
二、选房的核心要素
(一)地段选择
地段是房地产行业的永恒话题,也是影响房屋价值和居住舒适度的关键因素。好的地段不仅能提升居住的便利性,还能保障房产的增值潜力。
从交通便利性来看,临近地铁、公交站的房产出行更加便捷。地铁具有快速、准时、不受交通拥堵影响的特点,能有效缩短通勤时间,因此地铁沿线的房产通常更受购房者青睐。公交站则覆盖范围更广,对于没有地铁的区域,公交便利性就成为重要的考量因素。此外,周边道路的通畅程度也很重要,临近主干道但不直接临街的房产,既能享受交通便利,又能避免噪音和尾气污染。
商业配套也是地段选择的重要指标。周边有大型商场、超市、菜市场、便利店等商业设施,能满足居民的日常生活需求。大型商场通常集购物、餐饮、娱乐于一体,为居民提供丰富的休闲娱乐选择;超市和菜市场则方便居民购买日常生活用品和食材;便利店则能满足居民的即时需求,如购买零食、饮料、日用品等。
教育配套对于有子女的家庭尤为重要。临近优质学校的房产,能为孩子提供良好的教育资源,同时也能提升房产的价值。在选择教育配套时,不仅要关注学校的教学质量,还要了解学校的招生政策和划片范围,确保购买的房产能对口心仪的学校。
医疗配套也是不可忽视的因素,尤其是对于老年人和有医疗需求的家庭。周边有医院、社区卫生服务中心等医疗设施,能方便居民就医,及时获得医疗服务。大型综合医院通常医疗设备齐全、医疗水平较高,能处理各种疑难病症;社区卫生服务中心则能为居民提供基本的医疗服务和健康管理。
(二)房屋户型
房屋户型直接影响居住的舒适度和空间利用率,选择合适的户型是选房过程中的重要环节。
首先,户型要方正,避免出现异形户型。方正的户型空间利用率高,家具摆放方便,也能减少空间浪费。异形户型如三角形、多边形等,不仅空间利用率低,还可能给居住者带来压抑感。
其次,功能分区要合理。房屋应分为客厅、餐厅、卧室、厨房、卫生间等功能区域,各区域之间要相互独立又相互联系,避免功能混杂。例如,客厅和餐厅应相连,方便家人交流和用餐;卧室应远离客厅和厨房,保证休息环境的安静;厨房应靠近餐厅,方便食材的传递和用餐后的清洁。
采光和通风也是户型选择的重要因素。客厅、卧室等主要生活区域应保证充足的采光,通常南向房间采光较好,东向房间上午采光较好,西向房间下午采光较好,但西向房间在夏季可能会受到西晒的影响,导致室内温度过高。通风方面,南北通透的户型通风效果最佳,能保证室内空气的流通,减少潮湿和异味。
此外,还要考虑房间的尺寸和比例。客厅的开间和进深比例要适中,一般开间与进深的比例在1:1.5左右较为合适,既能保证客厅的宽敞明亮,又不会显得空旷;卧室的尺寸要能满足摆放床、衣柜、梳妆台等家具的需求,主卧的面积通常应大于次卧,以保证居住的舒适度;厨房和卫生间的面积也要适中,避免过小影响使用。
声明:本文由入驻焦点开放平台的作者撰写,除焦点官方账号外,观点仅代表作者本人,不代表焦点立场。


