杨浦保利外滩启Park77方最新发布-杨浦保利外滩启Park77方好房引关注!杨浦保利外滩启Park77售楼处方发布!
扫描到手机,新闻随时看
扫一扫,用手机看文章
更加方便分享给朋友
杨浦保利外滩启park77售楼处热线;4009665004(开发商统一电话)杨浦保利外滩启park77售楼处电话;4009665004(预约看房热线)杨浦保利外滩启park77咨询热线:4009665004(享限时高额返现)杨浦保利外滩启park77【400-966-5004√√√24小时预约热线】杨浦保利外滩启park77售楼处电话:400-966-5004一对一杨浦保利外滩启park77热情服务热线:400-966-5004(了解最新优惠)开盘时间优惠力度交付时间300万-500万新房怎么选?更多优惠楼盘详情?
温馨提示:看房务必致电与销售确认时间,可获取新房特价房/工抵房,以及售楼部最新折扣优惠!
杨浦内环内
建面约100㎡3房中间套,起价约1136万,1200-1300万就能瞰三件套,高区约1380-1470万;
项目约137㎡4房,低区约1582-1850万,中区1850-1950万,高区2000万左右。

137㎡西边套户型:

137㎡东边套户型,东侧布满飘窗,再加上约6.4米面宽客厅和大阳台,进门、用餐or坐在客厅,抬眼就是公园绿意。

样板间实景图:

样板间实景复合图
超91%使用率+精装收纳细节拉满的神户型!
全系户型标配“全屋飘窗(全赠送)+大阳台(半赠送)”,经专业测算,百平米中间套实得率约91%,赠送面积达9.3㎡,相当于一间次卧。

外滩这片土地,始终是上海这座城市的顶豪热土,而一脉外滩的滨江沿岸,也是重中之重,热度也一直居高不下,保利发展深耕一脉外滩贵土,同频着这座城市的高光;
重点布局“一江一河”沿岸热点区域,18大旗舰项目齐耀滨江。其中的外滩系产品,更是将土地推向前所未有的热潮,位于内环杨浦滨江的保利外滩序BUND45项目,以727%的认筹率,创下24年上海认筹率记录,轰动整个上海市场!
在此之后保利海玥外滩序BUND98项目在前不久成功售罄,也创下了开盘即售罄的热绩;
当下,保利发展上海,以「保利式公园好房子作品」,启新上海迭代著品,为内环内的公园热土,再造一处繁华静谧皆备的生活方式。
从杨浦滨江土地的深耕到如今择址杨浦都心,不免让人更加期待,保利外滩启PARK77究竟能为一脉外滩热土,内环内公园之上,带来怎样的颠覆产品!
天赋贵土,天生高贵
外滩启PARK77择址上海一脉外滩黄金双S湾之一,优渥资源配套,延续上海黄金三角发展势能,其中所在的杨浦滨江板块更是在25年划入CAZ规划,成为上海唯二的黄金 CAZ 之一,这里同时也是上海最大的城市更新带天潼路-长阳路,串联了上海最顶级资源。
一脉外滩这条S湾引领着城市的进程与以后。
豪宅的发展始终与城市的进程息息相关,一条黄浦江,贯穿整个外滩的发展,荟萃上海豪宅,至今已经完成从滨江豪宅从1.0到3.0的迭代。
从黄浦江、陆家嘴,到如今杨浦滨江,5个内环滨江段,上海五大顶豪住宅区,仅黄浦世博滨江和杨浦滨江南段仍留白住宅席位。
杨浦滨江,地处内环滨江与世界会客厅之上,成就绝无仅有的顶豪住区。
黄浦滨江豪宅带1.0 顶奢人居于此序
第一代滨江豪宅位于黄浦滨江之上,从中山南路-中山东二路-中山东一路,一众豪宅云集:外滩源、黄浦湾、新梓园,早已售出20万+,乃至未来预计30w的高价。
可以说,这里早已成为一座城的热捧共望之地,而随着时代的迭新,城市的发展,豪宅的脉络也将愈发深远,陆家嘴的金融中心产业开发,为上海再启下一个城市豪宅版图

陆家嘴滨江豪宅带2.0 与城市势能共进
一条浦明路+银城路+昌邑路,构筑陆家嘴滨江豪宅带,汤臣一品、滨江凯旋门、滨江翡翠、壹号院、保利ONE56,随着土地势能的卓越发展与规划的逐步落地,陆家嘴豪宅带已经成为整个上海公认的顶豪住区,而这片土地的升级,不过十年。

天潼路-长阳路豪宅带3.0 一次卓越的世界引领
外滩一直是反应中国发展的镜子,当中国需要与世界交流,外滩由此而生;当需要与世界平等对话,于是有了陆家嘴,而当下中国需要引领世界,杨浦滨江至此书写传奇新章。
保利外滩启PARK77,择址外滩滨江豪宅带,一条天潼路-长阳路,再启城心璀璨繁华与未来。
上海的伟大交汇
启领一座城的当下与未来
外滩启PARK77择址之处,同时是百年外滩发展贵脉的数次交汇之处,至此汇聚一城资源
交汇一:12、18号线地铁上盖,30分钟无缝通达主城核心资源,尽享便捷生活。
纵向·城市科创文教贵脉,串联起“世界文教核-大国科创极核-全球金融极核”——18号线。
通达南北多个城市节点,贯穿宝山、杨浦、浦东三区,直达杨浦五角场、浦东世纪公园等。
直达同济大学、复旦大学、上海财经大学等上海高教人文核,一轨串联杨浦滨江总部带、张江科学城、周浦智慧产业园等产业势能,优渥告知在地氛围。
横向·一揽上海繁华之心,串联上海顶尖商圈——12号线、北横通道
横向直达多个最具上海特色的城市级商圈直达徐家汇商圈、南京西路商圈、淮海路商圈、苏河湾商圈、北外滩商圈等,涵盖来福士、白玉兰广场、环贸IPM、恒隆广场等重磅商业中心以及衡复风貌区、平凉大创谷等城市聚合场域。

一桥两隧:大连路隧道、江浦路隧道、杨浦大桥交汇相接,直达陆家嘴金融中心、北外滩商务中心、杨浦滨江科创中心等城市发展高地。
由此可见,12号线串联着最具上海特色的百万商业圈及高知文教圈,18号串联着擎领世界的科创金融资源。而项目所在位置也是两轨交汇之处,是城市中无二的资源汇聚点,开创了城市南北、东西互联的全新启点!
交汇二:文教科创金融主轴 引领时代的发展支点
横向,是一脉百年外滩的发展走廊,也是上海最大的城市更新版图,衔接链接黄浦、虹口、杨浦的豪宅金线正焕发新生。
天潼路豪宅带不仅延续了百年外滩的历史文脉,更以苏河湾天际线、瑞虹新城、"浦江四子"及中交、字节跳动等总部集群的焕新面貌,构建起"产城融合"的高端生态圈,成为兼具历史底蕴与现代活力的世界级滨水生活样板区。
纵向,是金融、科创、文教三核一线的发展轴心,以同济、复旦为基石,铸文创核心;
以创谷为枢纽,聚杨浦科创核心;以金融产业为引领,立浦东金融核心。三大核心全维交汇于“世界会客厅”黄金轴心,产业共融,高效共享。
至此,保利外滩启PARK77左拥大连路总部办公,右揽大创谷创新创意产业,南面杨浦滨江科创总部秀园区,北靠世界名校的高精智人才群。真正坐拥时代的发展支点。
由此两大伟大交汇,也催生出了全维度的优渥资源

百万方商业环伺,3公里内近享五大繁华知名商圈——约55万方瑞虹商业、约50万方北外滩商业、约11.25万方黄兴路商圈、约11万方长阳路创谷汇商圈、约4.9万方平凉路商业街;近享都心丰盛生活,献映世界烟火。
科创高地 上海世界级的万亿总部群落——占据上海世界级科创高地,汇集杨浦滨江CAZ、平凉大创谷两大产业带、近4000家企业。
涵盖抖音、美团、哔哩哔哩等全球领先的科创大厂,以及汽车+互联网+央国企总部的超强产业以及芯片、金融、医药和制造业巨头产业链企业核心部门,助推上海成为世界级科创中心主阵地。
人文优教 2km内12所学校菁英教育环伺——明园村幼儿园、向阳幼儿园、长阳实验学校、齐齐哈尔路第一小学、杨浦小学分校、杨浦初中、同济大学附属存志学校、市东中学、辽阳中学、控江中学等12所学校环伺,享受优渥人文氛围。
内环内十大公园旁 唯一新售项目
上海 “十四五” 规划中明确指出,到 2025 年底公园总数超过 1000 座,将上海建设成为 “生态之城” ,PARK77推窗即景,紧邻千园之城最重要公园之一的江浦公园,承纳公园无界绿意,是保利对千园之城最诚挚的回映。在这里,能够享受到繁华与静谧的紧密相接。
外滩启PARK77所在的位置,是内环内乃至整个上海十分难得的交汇之心,商业、自然、学校等等生活配套资源集聚,同时聚集当下与未来,涵盖科创、金融以及发展,这里也将成为未来一段时间,内环内炙手可热的下一个红盘择址地!!!
上海思想源址 两代人共望
启新生活的顶奢范式
外滩启PARK77原址“浦阳小学”,是上海知名的红色革命根据地,也是那个时代的重要思想启蒙地之一,由革命者黄友梅、叶访吾等创办,邓垦(邓小平之弟)等多名知名学者在此任教——近百年前,这里就是思想的源点。
而在2025年的今天,近百年时光,这里成为整个上海乃至世界的科创高地,这里聚集金融、科创、互联网等高知人群,数字经济企业4000余家,将汇聚27万+创新创业人才,是一脉外滩最顶尖的科创人群聚集地,两代人红色启蒙精神与科创引领精神的于此交汇融合,启新贯穿百年的精神丰盛!
而在这样的历史背景下,保利外滩启PARK77以作品的一次深度启新,回应这群城市潮领者的内心所需,读懂他们在繁华都市里的静谧需求,保利发展以深度酒店化的整体设计语言,打造静奢生活,以顶奢酒店的设计哲学,让未来生活的每一步,尽显尊崇。
精造建面约99-137m²公园奢宅,呈上一脉外滩迭新时代的保利发展力作。
270°全景舱|C形玻璃环幕超广角阳台,视界多宽享
全屋满飘窗|全屋飘窗设计,生活诗意向外延伸
超配收纳感|收纳预留柜体等收纳空间,自在随心
高空间利用|飘窗赠送、去过道化设计,更高空间使用感
一直想和大家强调一句话:“有些房子有钱就能买,但有的房子,拼的是转瞬即逝的机遇。” 而保利外滩启PARK77,正是那类需要牢牢抓住的“机遇型资产”,其稀缺性与质价比,在当下市中心尤为突出。
首先,日前八批次土拍取消中小套型限制,说明内环中小套型将愈发稀缺,保利外滩启PARK77百平米3房极有可能就是内环最后一批小户型,且买且珍惜,以后3房起步120㎡是大概率事情,置业成本飙升。
其次,单价层面:买在杨浦大涨前,一旦错过,杨浦内环或奔15万/㎡。
其一,七批次土拍,杨浦内中环宅地楼板价高达约9.2万/㎡,已高过内环内的保利外滩启PARK77(楼板价约8.6万/㎡)。
这意味,若现在犹豫,未来花更高成本,只能买内中环新房;反过来看,如今入手保利外滩启PARK77,相当于用“内中环即将到来的房价”,拿下内环双轨上盖·瞰三件套·揽江浦公园的核心资产。

另一方面,杨浦内环有新盘放风14-15万/㎡,表明杨浦内环房价冲击15万/㎡近在眼前。
若将视野放大到整个上海中心城区,黄浦、静安、虹口早已开启房价大涨模式:
黄浦金陵华庭破20万/㎡,黄浦稳稳站上20万/㎡;
静安苏河湾待拍地块,市场预期20万/㎡;
虹口四川北路-临平路14.78-16.6万/㎡,北外滩绿城地王楼板价达约13.6万/㎡,这一楼板价,几乎与保利外滩启PARK77均价(13.55万/㎡)持平,未来该地块也将剑指20万/㎡。
事实上,项目与北外滩地王相隔仅约2.2公里,却呈现出“地王楼板价≈本项目售价”的价差,入手机遇一目了然。
综合看,保利外滩启PARK77是杨浦房价迈入新阶段的“临界点项目”。13.55万/㎡均价不仅是当下杨浦内环“福利价”,更是抢占内环核心资产的最后窗口期,一旦错过,后续几乎都是地王!
第三,总价层面:市中心最后的友好门槛!
项目不仅均价友好,更凭借精致面积段,赋予购房者更易上车、置换的总价门槛。
如今内环3房普遍120㎡起步;4房更是160、180㎡起步,门槛非常高。
而保利外滩启PARK77的三房约100㎡,大概率是市中心最后一批百平米三房;四房控制在约137㎡,严控总价!
关键信息来了:
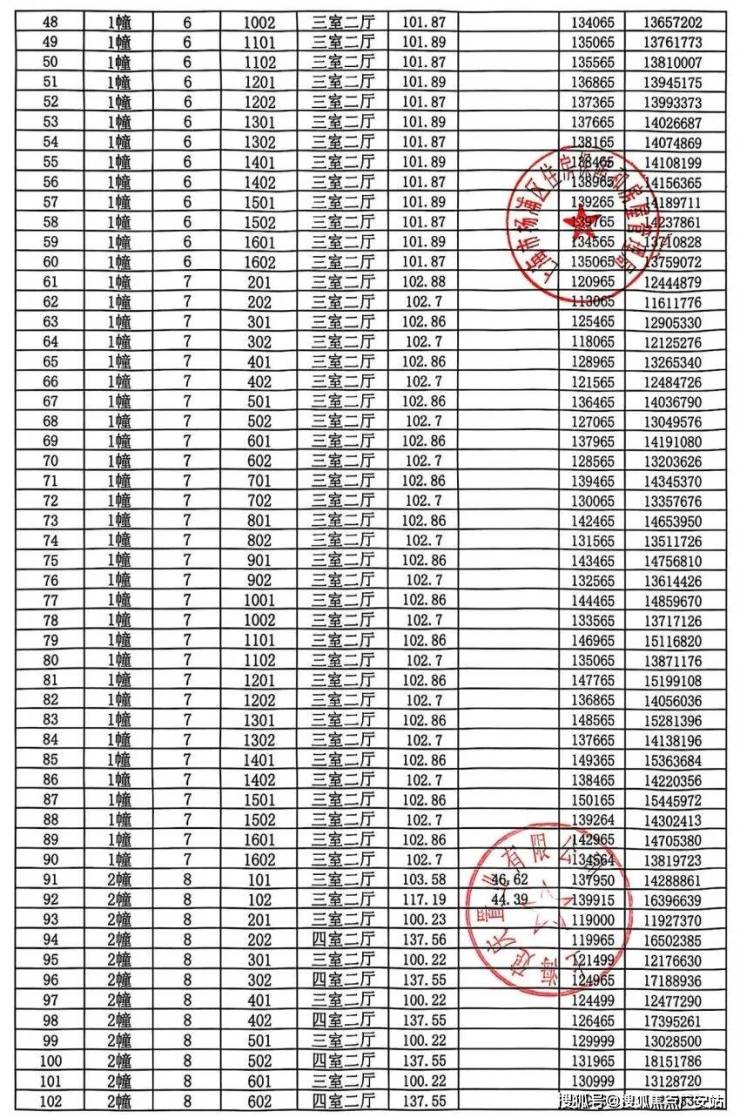
①、项目约100㎡3房中间套,起价约1136万,1200-1300万就能瞰三件套,高区约1398-1470万;边套双270°飘窗+景观,定价适当贵一点。
②、项目约137㎡4房,低区约1582-1815万,中区1830-1950万,高区2000万左右。
这里必须聊聊,我认为项目区别其他内环新房的最大优势:
容积率
上海市中心新房容积率普遍在3.0以上,大多排布超高层或接近百米的高层,居住密度高、视野易受遮挡。
而项目容积率仅为2.16,建筑高度16-17层。更难得的是,项目周边环境进一步放大了低容积率优势:东邻江浦公园,无高层遮挡,相当于变相降低了项目实际居住密度,并扩大视野广度。
西南侧多为矮层建筑,视线阻挡少,为项目打造瞰陆家嘴三件套的绝佳视野。
项目航拍照片
从模拟视野看,1栋中间套的中高区房源,已能轻松眺望三件套,视野通透且视角上佳。

1号楼7单元01室视野模拟,以实际交付为准
保利外滩启PARK77距离陆家嘴三件套直线距离约3.5公里。以三件套为圆心,环顾这3.5公里范围内的新盘,可以得出几个极具冲击力的结论:
项目3房价格与视野优势堪称断层式领先:

①、圈内3房起步1600万,而项目约1200万起,直接拉开400万的价格差,价格优势一目了然。
②、圈内能瞰三件套的3房,往往需要选中高区房源,起步价约1700万,而项目中低区1200-1300万的房源就能实现瞰三件套的需求,进一步放大了价格优势。
③、得益于项目周边及自身容积率,项目1200-1300万房源三件套视野甚至优于圈内1700万以上3房。
1幢中低区模拟,以实际交付为准
更值得关注的是稀缺性——圈内3500万以上的4房是主流,3房本就供应稀少,而1200-1300万能瞰三件套的3房,更是“稀缺中的稀缺”。
我们群友总结得好:“价优、实用、视野好”,但错过也就没了。
值得一提,于浦东客户,1200-1300万只能买浦东中环3房,不如入手保利外滩启PARK77这样的内环内双轨上盖项目,区位、配套、交通优势均更胜一筹。
再看项目约137㎡4房,堪称“市中心2000万级绝版功能4房”,入手紧迫性拉满!
首先,该户型起价仅约1582万,是三件套3.5公里圈内4房的“绝对门槛”。 要知道,圈内4房门槛第二低的项目已达2300万,两者差价高达700万。
其次,对比其它市中心项目,更能看出这份稀缺:
北外滩地王4房预计售价4000万级;虹口其他新房4房价格普遍在2500-3500万;静安苏河湾4房预计4000万级;陆家嘴滨江4房同样4000万级。如此对比之下,保利外滩启PARK77高区2000万级4房的价值,可谓市中心“独一份”。
第三,137㎡4房拥无敌景观,东边套揽江浦公园美景,西边套瞰杨浦内环城市新貌及三件套景。
附2幢137㎡4房西边套视野模拟:
第三机遇点是“流通性和安全垫”。
当前新房市场普遍面临“高单价+大面积”的双重门槛,一方面让置换客群陷入“想换却难上车”的困境;另一方面,大面积、高总价的产品让购房者对未来市场流通性和安全垫充满疑虑。
而保利外滩启PARK77成功破解了置业痛点,成为当之无愧“市中心安全垫王炸新盘”:
①、稀缺性执掌定价权:
分享两组数据:
✔今年内环百平米新房供应仅275套,以后也会越来越少。
✔2024年至今,内环内135-140㎡面积段的供应占比,仅约内环总供应量的1%。项目137㎡4房正处于这“1%的稀缺赛道”中,对比市场上占比高达62%的155㎡以上高总价4房,不仅入手门槛更低,稀缺属性也更强。
这让项目具备“物以稀为贵”的价值属性,未来拥有更强的定价权。
数据来源网上房地产
②、面积适配+总价亲民,流通性更优:
相比120㎡3房,160-180㎡4房,项目总价门槛友好太多,在二手房市场上也能更快找到接手客群,流通性远超大面积产品。
再看项目价值底盘:周边地王售价预期15-20万+/㎡,为项目价值筑下坚实“安全底”;同时,项目自身“12大颠覆革新”产品力,叠加周边杨浦滨江科创产业、长阳创谷、大连路总部集群、陆家嘴金融产业的产业赋能,以及高校环绕的高知氛围,共同为项目打开了价值上限,“安全底+高上限”的组合,让资产安全性更有底气。

③、高知客群广泛覆盖,夯实未来潜力与市场竞争力:
得益12/18号线及北横通道,多桥隧构建的立体交通网络,项目远不止本地客户,还有更多来自传统市中心、陆家嘴、杨浦高校的客群,这种广泛且高端的客群基础,给予项目更强劲的未来潜力,也让其在市场中更具竞争力。

国际美学立面+高利用率神户型+静奢社区
12大革新重构内环居住想象
作为“外滩序”之上的迭代之作,保利外滩启PARK77在友好总价基础上,更带来12大颠覆启新体系,以天际的改写、空间的革新、启新的园林三大源点,带来一次居住的颠覆体验。
说直白点,项目在1300-2000万总价新盘中,品质绝对是第一梯队的!即便与2000-3000万级新盘相比,也不落下风,甚至在不少细节上展现出更超前的竞争力。
我挑重点讲讲:
一、国际艺术立面,杨浦新的美学天际线
1、天际革新:悬挑“天际浮岛
项目创新设计悬挑式天际浮岛屋檐,打破传统住宅的厚重感,赋予建筑与天空更灵动的对话方式,也大大增强项目昭示性。

项目效果图,以实际交付为准
2、质感革新:立体“金质画框”
在建筑立面设计上,项目采用铝板构建金色圆弧转角,如同为窗外风景定制的立体金质画框。这种兼具美学与实用性的设计,让建筑本身也成为公园与城市之间的“艺术品”。
且你会发现,立面是“非对称”的,穿插片墙,黄金比例设计使全幕玻璃与铝板、石材、金属、线条和谐共生。

项目效果图,以实际交付为准
3、视野革新:环幕全景舱设计
项目边套标配双270°飘窗,甚至主卫都设计了L型飘窗,形成“环幕景全景观舱”。
尤其137㎡西边套,北/南/西三向展开近36米连续玻璃幕墙,从客厅到所有卧室,甚至主卧梳妆台、主卫都能瞰三件套与城市新貌。

项目效果图,以实际交付为准
137㎡西边套户型:

137㎡东边套户型,东侧布满飘窗,再加上约6.4米面宽客厅和大阳台,进门、用餐or坐在客厅,抬眼就是公园绿意。

样板间实景图:

样板间实景复合图
二、超91%使用率+精装收纳细节拉满的神户型!
1、场景革新:超高使用率,营造多元场景生活
一方面,全系户型标配“全屋飘窗(全赠送)+大阳台(半赠送)”,经专业测算,百平米中间套实得率约91%,赠送面积达9.3㎡,相当于一间次卧。

小胖看房独家制作,不作为交付标准,最终以开发商公布为准
边套更甚,百平米边套实得率约97-98%,137㎡户型赠送近20㎡,远超市场常规10㎡水准。

小胖看房独家制作,不作为交付标准,最终以开发商公布为准
飘窗可铺设大床,还能成为收藏品、艺术品摆台,打开居家生活方式的各种可能。

样板间实景复合图
另一方面,优化过道,打造几乎无浪费面积的高利用率客餐厅。
项目所有百平米户型都把传统过道融入到了客餐厅中,餐客厅更方正,面积比同级大约6㎡。

样板间实景复合图
如此一来,餐厅能轻松放下大餐桌,甚至解锁岛台设计,朋友聚会、家庭聚餐再也不用“挤着坐”。
整个户型也形成以“餐厅为中心”的家庭动线。
锦上添花的是半开放厨房设计,打破传统厨房的封闭感。
当半开放厨房与去过道设计结合,实现了LDKB一体化的场景串联,整个动线流畅无阻,家人在不同空间活动却不隔绝,孩子在客厅玩耍时,家长在厨房也能随时照看。


样板间实景复合图
2、奢装革新:嘉格纳、高仪、唯宝、科勒领衔
首先,顶豪级品牌配置,细节拉满品质感
全系户型均以高规格品牌打底:100㎡户型标配嘉格纳3件套,137㎡户型升级为嘉格纳5件套(冰箱、蒸烤一体机、灶具、油烟机、洗碗机)——要知道,这类配置常出现在黄浦5000万级顶豪中。此外,唯宝马桶、铂浪高水槽等国际一线品牌覆盖全系,主卫更贴心增设美妆龙头与美妆冰箱,从日常烹饪到洗漱护肤,全方位提升居住品质。

样板间实景复合图
其次,奢华用材+艺术细节,营造高阶美学氛围
在视觉与触感的双重营造上,项目细节满满:
✔用材考究:室内墙面大量包裹木饰面,温润质感消解冷硬感;137㎡户型地面铺高奢石材,搭配石材打造的弧形餐边柜,厚重质感凸显空间高级感;
✔设计巧思:吊顶用弧形转角搭配框体线条,打破平顶单调;卧室地面采用工艺复杂的柳叶拼花;柜体表面加立体线条、客厅背景墙做圆弧处理、主卧背景墙用皮革硬包,让每个功能空间都兼具设计感与氛围感。
样板间实景图
3、收纳革新:同级天花板的超级收纳系统
项目137㎡户型进门做了一整排收纳柜,分类科学到让每一件物品都能精准归位。
从小零件、钥匙、鞋子到衣物,乃至不常用的物品,也有专门的归宿,行李箱、登山杖、滑雪板等大件都能稳稳安放,帽子包类、药箱等也都有对应的格子收纳。
冰箱柜也被隐藏其中,让玄关更整洁统一。

样板间实景图
还交付一体化餐边柜,收纳能力惊人;同时该户型还配备专属家政空间,邻卫生间,动线更流畅,彻底解放阳台,阳台不用晾晒,完全用于观景或志趣空间。
还贴心预留操作台以及扫地机器人的专属位置。

样板间实景图
三、独树一帜的“静奢”社区
1、转场革新:酒店式归家,一键切换生活情绪
项目借鉴高奢酒店的设计,以酒店式艺术门廊作为起点,从鎏金翡绿的奢石饰面,到极具艺术感的迎宾雕塑,再到通透雅致的艺术玻璃景墙,无需刻意调整,便能从职场的繁忙状态,自然过渡到居家的松弛情绪,让归家成为一场充满质感的“沉浸式减压”。

项目效果图,以实际交付为准
2、静逸革新:六大剧场花园,串联全场景度假动线
项目以艺术为核心,集合连廊、水景、奢石等布景,打造六大定制级剧场花园,让居者时刻与自然相拥。
项目效果图,以实际交付为准
3. 功能革新:架空层社区空间,全龄共享的“自然客厅”
项目打造架空层社区空间,打破“室内外”的边界限制,一方面架空层涵盖阅读、社交、娱乐等功能;另一方面架空层内外景观无界延伸,三面环景,让居者在活动中时刻感受自然治愈,成为家庭之外的“第二生活客厅”。
项目效果图,以实际交付为准

被新华网高度点赞
双轨上盖+市中心科创芯
最后,地段已无需多言,新华网为项目地段势能背书!

总结起来:
1、双轨上盖,多桥隧+北横通道,执掌城芯效率!
项目为12/18号线双轨上盖,2站北外滩,无缝衔接南京西路(7站)、衡复风貌区(8站)、徐汇滨江等核心板块;通过换乘,5站南京东路,6站陆家嘴,通勤效率拉满。
自驾条件出色,多座桥隧连接陆家嘴,成为金融人士置业首选地!北邻北横通道,畅达中心城区。
更难得的是,1-2站范围内,三甲新华医院、北外滩来福士、瑞虹商圈、江浦公园、长阳实验学校等顶配资源一应俱全。

2、面向杨浦滨江“科创扇面”,科创势能澎湃。
这里有上海最密集的高校集群(复旦、同济、财大),有大连路总部集群、长阳创谷,以及冉冉升起的杨浦滨江科创产业集群,美团、哔哩哔哩等大厂即将于2026-27年兑现。
黄浦江对岸还有陆家嘴金融产业,项目依托12/18号线及桥隧把这些产业区串联起来,背后是源源不断的高收入年轻人和衍生的居住需求,赋予项目未来广阔的潜力。
杨浦保利外滩启park77售楼处电话:4009665004【杨浦保利外滩启park77开发商售楼中心热线】杨浦保利外滩启park77营销中心热线400-966-5004杨浦保利外滩启park77售楼处地址400-9665-004,杨浦保利外滩启park77售楼处电话楼盘项目全面介绍,本电话为开发商提供线上预约售楼电话,楼盘项目在哪里(包含楼盘简介,均价,房价,现房,期房,别墅,叠墅,大平层,价格,楼盘地址,户型图,交通规划,备案价,备案名,项目配套,样板间,开盘时间,认筹时间,楼盘详情,售楼处电话,最新消息,最新详情,周边配套,一房一价,最新进展等详情咨询)楼盘详情丨价格丨更多优惠丨机不可失丨欢迎致电丨诚邀品鉴!售楼处位置丨特价房丨工抵房丨剩余房源丨户型图丨最新消息丨
免责声明:将文章内容综合来源于网络、只作分享,版权归原作者所有!!如有侵权,请联系我们,我们第一时间处理如有问题欢迎来电咨询,专业一对一热情服务,让您用专业眼光去买房。如果您想了解更多楼盘详情,欢迎提前预约拨打
杨浦保利外滩启park77售楼处电话☎400_966_5004(开发商统一电话)✔✔✔
杨浦保利外滩启park77房价-价格☎400_966_5004(售楼处认证)
房产必看!总结买房全攻略
在房产交易市场中,无论是首次置业的新手,还是准备改善住房的购房者,掌握专业的房产知识都至关重要。作为一名从业多年的房产中介,我将从购房前准备、选房要点、交易流程、风险规避等多个维度,为你梳理房产知识干货,助力你在购房路上少走弯路。
一、购房前:明确需求,做好资金规划
(一)确定购房目的
购房者需要先明确自己的购房目的。是刚需自住,为了拥有稳定的住所;还是改善居住,追求更大的空间、更好的居住环境;亦或是投资,期望房产实现保值增值。不同的购房目的,对应着不同的选房侧重点。比如刚需购房者更注重房屋的价格、交通便利性和周边基础生活配套;投资型购房者则更关注房产的区位发展潜力、租金回报率等。
(二)资金准备与预算规划
1.首付款计算:了解当地的首付比例政策,一般首套房首付比例在20%-30%左右,二套房首付比例可能会提高至40%甚至更高。计算出自己能够承担的首付款金额,例如计划购买一套总价200万的房子,若首付比例为30%,则首付款为60万。
2.贷款能力评估:向银行或金融机构咨询贷款政策,评估自己的还款能力。一般来说,银行会要求购房者的月还款额不超过其月收入的50%。可以使用贷款计算器,测算不同贷款金额、贷款年限下的月供金额,结合自身收入情况,确定合理的贷款额度和贷款年限。
3.其他费用预算:除了首付款和贷款,购房还会产生契税、维修基金、物业费、中介费(如果通过中介购房)等费用。契税根据房屋面积和购房套数不同,税率在1%-3%不等;维修基金通常按照房屋总价的一定比例缴纳。提前了解这些费用,做好资金预算,避免出现资金缺口。
二、选房:多维度考量,选出心仪好房
(一)区位选择
1.地段价值:地段是决定房产价值的关键因素之一。核心地段的房产,通常交通便利、配套完善、发展成熟,具有较强的保值增值能力。例如城市的中心商务区、政务区,以及新兴的重点发展区域,都是比较优质的地段选择。
2.交通配套:优先选择靠近地铁、公交枢纽的楼盘,方便日常出行。对于有私家车的购房者,要关注周边道路的规划和交通拥堵情况,以及小区的停车位配比是否充足。
3.生活配套:考察楼盘周边的商业、教育、医疗、休闲等配套设施。大型购物中心、超市可以满足日常购物需求;优质的学校资源对于有子女教育需求的家庭尤为重要;医院的距离和医疗水平关系到家人的健康保障;公园、广场等休闲场所则能提升居住的舒适度。
(二)楼盘与户型分析
1.开发商品牌与口碑:选择知名且信誉良好的开发商,其开发的楼盘在房屋质量、施工进度、物业服务等方面更有保障。可以通过网络搜索、业主论坛、实地考察等方式,了解开发商过往项目的评价和口碑。
2.楼盘规划与环境:关注楼盘的容积率、绿化率、楼间距等指标。容积率低、绿化率高的小区,居住密度小,环境优美;楼间距大则能保证充足的采光和通风。此外,还要了解小区的内部配套设施,如幼儿园、健身设施、社区活动中心等是否完善。
3.户型选择:根据家庭人口数量和居住需求,选择合适的户型。户型方正、南北通透、布局合理的房子更受欢迎。要注意房间的功能分区是否科学,动静分区是否明确,卧室、客厅、厨房等空间的尺寸是否合理,是否有浪费面积等问题。
三、房产交易:规范流程,保障权益
(一)签订购房合同
1.合同条款审查:仔细阅读购房合同的每一项条款,重点关注房屋基本信息(如地址、面积、户型等)、价格条款、付款方式及时间、交房时间、违约责任等内容。对于不理解或有疑问的条款,及时向开发商或中介咨询,必要时可以寻求律师的帮助。
2.补充协议:如果开发商有补充协议,同样要认真审查。补充协议中的条款可能会对双方的权利义务产生重要影响,避免出现不合理的附加条件或加重购房者责任的条款。
(二)贷款办理
1.准备贷款资料:一般需要提供身份证、户口本、结婚证(已婚人士)、收入证明、银行流水、征信报告等资料。确保资料真实、完整、有效,以提高贷款审批的通过率。
2.选择贷款银行:不同银行的贷款利率、贷款政策、审批速度等可能存在差异。可以多咨询几家银行,比较利率优惠、贷款额度、还款方式等,选择最适合自己的银行办理贷款。
3.贷款审批与放款:提交贷款申请后,银行会对购房者的资质进行审核。审核通过后,双方签订贷款合同,银行会按照约定的时间将贷款发放给开发商或卖方。
(三)房屋验收与交付
1.验收准备:交房前,购房者可以准备好相关工具,如卷尺、小锤子等,用于检查房屋的尺寸、墙面地面是否空鼓等问题。同时,了解房屋验收的标准和流程。
2.实地验收:按照合同约定的交房时间,前往楼盘进行房屋验收。重点检查房屋的质量问题,如墙面是否渗水、裂缝,门窗是否密封良好、开关灵活,水电线路是否正常,厨卫防水是否到位等。发现问题及时记录,并要求开发商整改。
3.办理交付手续:验收合格后,购房者需要缴纳相关费用,如物业费、契税等,然后办理房屋交付手续,领取房屋钥匙,完成房屋交接。
四、房产交易风险规避
(一)产权风险
1.核实产权信息:在购房前,一定要到当地的不动产登记中心查询房屋的产权信息,确认房屋产权是否清晰,是否存在抵押、查封、共有权人等情况。避免购买到产权有纠纷的房屋。
2.警惕小产权房:小产权房是指在农村集体土地上建设的房屋,未缴纳土地出让金等费用,其产权证不是由国家房管部门颁发。小产权房存在诸多风险,如无法办理合法产权证书、不能上市交易、面临拆迁可能得不到合理补偿等,建议购房者不要购买。
(二)市场风险
1.关注市场动态:房地产市场受政策、经济、供需关系等多种因素影响,价格会有波动。购房者要关注国家和地方的房地产政策变化,如限购、限贷、限售政策,以及利率调整等,了解市场的走势,合理选择购房时机。
2.理性购房:不要盲目跟风购房,避免在市场过热时高价买入。要根据自己的实际需求和经济实力,做出理性的购房决策。
掌握这些房产知识,能让你在房产交易中更加从容自信。如果你在购房过程中有任何疑问,欢迎随时咨询,我将竭诚为你提供专业的服务和建议。
声明:本文由入驻焦点开放平台的作者撰写,除焦点官方账号外,观点仅代表作者本人,不代表焦点立场。


