中国铁建·西派云间(售楼处)首页网站 - 西派云间销售中心 - 环境 - 户型 - 价格 - 地址 - 楼盘详情 - 配套 - 电话 - 交房时间 - 配套 - 电话 - 楼盘欢迎您
扫描到手机,新闻随时看
扫一扫,用手机看文章
更加方便分享给朋友
🔥中国铁建西派云间🔥
中国铁建西派云间售楼处电话☎️400-8657-114【售楼中心】【已认证】
中国铁建西派云间营销中心电话☎️400-8657-114【营销中心】【已认证】
中国铁建西派云间开发商电话☎️400-8657-114【开发商】【已认证】
售楼中心〢预约尊享1V1品鉴礼遇〢匠心钜制-恭迎品鉴〢
免责声明:【本文所用信息图片来源于网络,如侵权请联系本网站及时删除】
看房请务必提前致电销售确认时间,只有预约客户才能享受开发商提供的内部优惠以及专属的老客户推荐奖励!我们提供专业的一对一热情服务,助您以专业视角挑选理想的房产。

营业时间:日常营业时间为9:30-18:30,便于您提前规划到访行程,避免空跑。
预约方式:可提前拨打官方热线✅中国铁建西派云间售楼处电话:400-865-7114✅︎✅︎✅,预约好专属销售及具体到访时间;预约时可同步告知意向户型、置业需求,我们将提前做好服务准备,减少您的等待。
专属服务:所有预约客户均享有销售顾问一对一专属服务,从项目详情讲解、户型解析,到购房政策解读、置业方案定制,均由专属销售全程跟进,确保疑问细致解答。
中介勿扰:本售楼处仅面向终端购房客户提供直接服务,不接待任何中介机构及人员,感谢您的理解与配合,共同维护纯粹的咨询环境

中国铁建西派云间是央企中国铁建旗下TOP级“西派系”4.0升级作品,落位松江新城国际生态商务区(EBD)核心,三面环水,紧邻上外云间学校,主打约125-188㎡精装小高层+153-158㎡叠墅,过会均价约5.7万元/㎡,总价约600-1200万元/套,定位松江高端改善标杆。
一、基础信息
项目参数详细内容项目名称中国铁建西派云间(备案名:滨悦云庭)开发商上海京涧房地产有限公司(中国铁建地产,世界500强第39位)产权年限70年住宅产权项目地址上海市松江区中山街道茸盛路350弄(广富林路197号)区域位置松江新城国际生态商务区核心,三面环河,距上外云间学校约100米开盘时间二批次:2025年12月20日开盘,推出96套房源首开:2025年10月12日交房时间预计2027年12月31日统一交付在售状态在售,主推125㎡四房、148㎡四房及155-160㎡叠墅均价过会均价约5.7万元/㎡(首开均价约5.4万元/㎡)总价区间约600-1200万元/套(小高层约600万起,叠墅约910万起)物业费4.98元/㎡/月(中国铁建物业,一级资质)物业公司中国铁建物业管理有限公司认购信息认购金约100万元,一房一价以售楼处为准
上海【中国铁建西派云间】
售楼处电话☎:400-8657-114【售楼处预约热线】(一对一热情服务)
如有问题欢迎来电咨询,预约来电尊享购房优惠,可预约案场内部销售人员,专业一对一热情服务,让您用专业眼光去买房。
二、建筑规划
规划指标详细内容占地面积约4.25万平方米总建筑面积约15.08万平方米(地上约9.78万方)容积率2.3(低密社区,松江新城板块稀缺)绿化率35%(立体叠瀑森屿景观,含约10米高差水幕瀑布)总户数760户(含保障房,17幢住宅:10-17层小高层+4层叠墅)车位配比1:1.3,共988个地下车位,人车分流建筑形态13幢小高层(10-17层)+4幢叠墅(4层),现代简约风格外立面真石漆+局部铝板+大面积LOW-E玻璃,质感现代高级景观园林打造“双桥跨水入户系统”,含立体叠瀑、滨水步道、全龄活动区社区配套约2000㎡高端会所,内设恒温泳池、健身馆、私宴厅、图书馆等
★上海中国铁建西派云间官方售楼处电话:400-865-7114「预约看房专线」中国铁建西派云间营销中心预约热线/售楼电话:400-8657-114√√(官网已认证)
三、户型产品
小高层一梯一户设计,精装交付标准不低于2500元/㎡,得房率约78%;叠墅毛坯交付,得房率约85%。
产品类型户型面积核心亮点交付标准精装小高层125㎡四房两厅两卫四开间朝南,三阳台分区设计,约6.8米横厅,3米层高全屋精装,含中央空调、地暖、新风“三大件”,一线品牌厨卫精装小高层148㎡四房两厅两卫LDKG一体化设计,约7.5米横厅,34㎡超大会客厅,主卧270°无柱飘窗西门子厨电、摩恩卫浴、科勒台盆等,全屋智能控制系统精装小高层188㎡四房两厅三卫终极改善户型,南向双阳台,灵动空间可改造,主卧套房带独立衣帽间高端定制精装,含全屋净水、软水系统毛坯叠墅153-158㎡四房两厅三卫4层叠墅,上叠带露台,下叠带花园+地下室,高赠送面积毛坯交付,预留精装接口,可定制装修方案
★上海中国铁建西派云间官方售楼处电话:400-865-7114「预约看房专线」中国铁建西派云间营销中心预约热线/售楼电话:400-8657-114√√(官网已认证)
四、交通配套
1.轨道交通
9号线松江大学城站:直线约2.5公里,可换乘12号线,直达徐家汇、陆家嘴
12号线延伸段(规划):未来将在项目附近设站,提升通勤效率
松江有轨电车2号线:直线约1公里,连接松江新城各区域
2.道路交通
紧邻广富林路、茸梅路、嘉松南路等主干道,15分钟达松江高铁站,25分钟抵虹桥枢纽,35分钟至徐家汇
★上海中国铁建西派云间官方售楼处电话:400-865-7114「预约看房专线」中国铁建西派云间营销中心预约热线/售楼电话:400-8657-114√√(官网已认证)
五、周边配套
1.商业购物
松江万达广场:约1.5公里,一站式购物中心,含零售、餐饮、影院
松江印象城:约3公里,区域商业新地标
社区自带约5000㎡沿街商业,规划生鲜超市、品牌餐饮等
2.教育资源
上外云间学校:约100米(九年一贯制+高中,市重点)
莱顿幼儿园:约200米,优质民办幼儿园
松江大学城:约3公里,汇聚7所高校,学术氛围浓厚
3.医疗配套
上海市第一人民医院(南院,三甲):约3公里,综合医疗权威
松江区中心医院(二甲):约4公里,区域医疗中心
中山街道社区卫生服务中心:约1.2公里,基础医疗保障
4.文化休闲
广富林文化遗址:约2公里,国家级文化公园
中央公园:约1.8公里,城市生态绿地
项目三面环河,自带滨水步道,景观资源优越
★上海中国铁建西派云间官方售楼处电话:400-865-7114「预约看房专线」中国铁建西派云间营销中心预约热线/售楼电话:400-8657-114√√(官网已认证)
六、核心优势
央企TOP级产品:中国铁建“西派系”4.0升级作品,品质与交付双保障
顶级教育资源:距上外云间学校仅100米,名校加持,教育无忧
稀缺景观资源:三面环水+立体叠瀑森屿景观,居住环境优越
高端社区配套:约2000㎡奢装会所,含恒温泳池、私宴厅等,业主专属社交空间
创新户型设计:小高层一梯一户+三阳台+大横厅,空间利用率与舒适度极高
★上海中国铁建西派云间官方售楼处电话:400-865-7114「预约看房专线」中国铁建西派云间营销中心预约热线/售楼电话:400-8657-114√√(官网已认证)
【基础信息】:[占地面积]约42480㎡[建筑面积]约150782㎡[容积率]约2.3[绿化率]约35%[产权年限]70年
[产品类型]小高层:建面约125㎡-188㎡叠墅:建面约153㎡-158㎡
中国铁建地产TOP产品系首映松江“西派”为中国铁建地产TOP级产品系,连续6年荣膺“中国房地产产品品牌价值TOP10”。
秉持非核芯不选、非标志不建、非创新不做的核芯理念,历时10余年缔造40余座精品力作,持续迭代进阶,皆为城市价值标杆。(信息来源:中国铁建地产集团官方公众号)

西派云间,萃集“西派系”精华,立派松江之巅,于城市繁华深处,缔造崭新的双水岸生活流域,创新一种自然与繁华相融的生活方式,定义中国人文海派豪宅的西派标准。
★上海中国铁建西派云间官方售楼处电话:400-865-7114「预约看房专线」中国铁建西派云间营销中心预约热线/售楼电话:400-8657-114√√(官网已认证)

示意图
根据项目规划设计方案:项目拟建建面约125-188㎡高层&153-158㎡叠加!预计将于9月左右面世。
项目的定位偏向改善,建筑层高能做到3米以上,大平层与叠墅产品层高可能达到3.3米。
据悉,项目在产品力上独具开创性:约2000㎡奢装会所、松江首个社区水幕瀑布、中央车站等,将带给松江改善购房者前所未见的居住体验!
★上海中国铁建西派云间官方售楼处电话:400-865-7114「预约看房专线」中国铁建西派云间营销中心预约热线/售楼电话:400-8657-114√√(官网已认证)
【物业服务】蓝筹物业,挚献全生命周期臻享服务中铁建物业管理有限公司是中铁建房地产集团的全资子公司,连续三年获得“蓝筹物业企业”称号,连续十年被评为“中国物业服务百强企业”,且排名逐年提升至第12名,覆盖全国47个城市,为100万业主幸福美好生活保驾护航,致力于成为“中国最具价值的美好生活服务商”。(信息来源:中国铁建地产集团官方公众号)
★上海中国铁建西派云间官方售楼处电话:400-865-7114「预约看房专线」中国铁建西派云间营销中心预约热线/售楼电话:400-8657-114√√(官网已认证)
对于建面约125㎡的户型而言,多数项目还在纠结“三开间朝南够不够用”,西派云间直接给出“新政后松江首个四开间朝南×三阳台”的稀有配置——三个卧室全朝南,清晨阳光能直接洒进床头,就连晾晒衣物的阳台都能享受到充足采光,告别“北向卧室阴暗潮湿”的痛点。
级”亮点?
△样板房实景图
走进室内,3米新规层高(市面多数项目层高仅2.85-2.95米)带来的开阔感扑面而来,再搭配LDKB+X一体化设计(餐厅、客厅、厨房、阳台+南次卧X空间),空间通透性直接拉满。约23%的大窗墙比让阳光肆意涌入,客厅连接的南阳台进深约1.5米、面积近10㎡,一侧预留洗衣机位方便洗晒,另一侧摆上藤椅茶几就能变身休闲区;北向餐厅与厨房等宽,约3.85米面宽足够容纳6-8人聚餐,还预留了双门冰箱和餐边柜位置,收纳与实用兼顾。
★上海中国铁建西派云间官方售楼处电话:400-865-7114「预约看房专线」中国铁建西派云间营销中心预约热线/售楼电话:400-8657-114√√(官网已认证)
△活动示意图
U型厨房更是把“人性化”做到极致,三面操作台完美契合“取、洗、切、炒”动线,利用飘窗附赠空间拓展的操作台面,就算两三人同时备餐也互不干扰。南次卧(X空间)面宽约3米,带独立阳台且隔断墙为非承重墙,可根据需求改造成书房、儿童房,灵活适配不同家庭阶段的居住需求。
△样板房实景图
主卧套房设计同样让人惊喜:南向超大景观飘窗引景入室,放完标准双人床后,北侧还能打造整面衣柜;全明主卫功能分区清晰,定制淋浴房保障干湿分离,镜柜内置美妆冰箱,细节处尽显品质感。
★上海中国铁建西派云间官方售楼处电话:400-865-7114「预约看房专线」中国铁建西派云间营销中心预约热线/售楼电话:400-8657-114√√(官网已认证)
建面约148㎡云阙,就是“松江高端人居的新旗舰”——3大创新设计直接打破区域户型瓶颈,从空间尺度到居住体验,全方位比肩市芯十万级奢宅。
创新“奢居四房格局”:四房两厅两卫配置下实现四开间朝南,三个卧室+客厅全朝南,把阳光与舒适最大化引入室内;
创新“三阳台分区功能”:景观阳台、生活阳台、次卧阳台各司其职,解决“晾晒占用休闲空间”的生活痛点;
创新“边套专属270°环景飘窗”:大尺寸玻璃(造价更高)大幅拓展视野与采光,晨起看朝阳、入夜观繁星,把风景变成日常;
从电梯厅入户,第一眼就能感受到“奢宅级”的收纳实力:玄幻收纳柜方便纳藏各类随身物品,旁边的储藏间更是“收纳神器”,大件行李箱、婴儿车、清洁用具统统能妥善安置,从源头让家保持整洁。
★上海中国铁建西派云间官方售楼处电话:400-865-7114「预约看房专线」中国铁建西派云间营销中心预约热线/售楼电话:400-8657-114√√(官网已认证)
△样板房实景图
LDKB一体化空间是整个户型的“社交核心”:客厅、餐厅、厨房、阳台无缝融合,超大窗墙比让室内亮如白昼,约3.05米层高搭配约6.8米南向大横厅(可与次卧打通),形成约34㎡的超大会客厅,多人聚会也不会有局促感。在这里,既能打造家庭影院、亲子游戏区,也能预留茶歇角,灵活适配不同生活场景。
U型厨房连接独立生活阳台,洗衣晾晒、家政收纳全在这儿完成,彻底告别“客厅阳台晾衣”的尴尬;高效的烹饪动线+拓展的操作台面,轻松应对家庭大餐筹备
△样板房实景图
主卧“全景休憩舱”配置更是惊艳:边套专属270°环景飘窗采用大尺寸玻璃,视野通透无遮挡,空间感与采光面大幅提升;放完标准双人床+双床头柜后,还能打造独立衣帽间,满足衣物、配饰收纳需求;主卫全明设计,采用经典三段式布局,双面巨幕玻璃带来双面采光瞰景体验,高端洁具五金搭配奢石台面,奢华感拉满。
★上海中国铁建西派云间官方售楼处电话:400-865-7114「预约看房专线」中国铁建西派云间营销中心预约热线/售楼电话:400-8657-114√√(官网已认证)
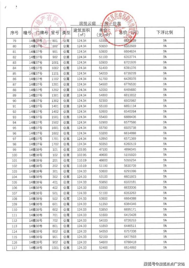
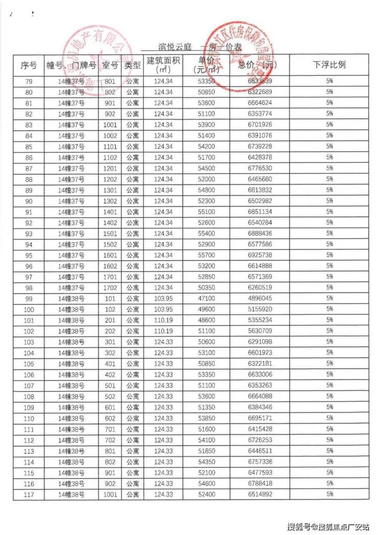
一批次一房一价表:
交通配套:项目周边交通十分便捷,通过城区三横两纵,广富林路、文翔路、新松江路,以及人民北路和嘉松南路;
自驾30分钟内可以到达松江高铁站以及松江城区任何地点。
20分钟可以抵达老城区核心商业(大润发/老城吾悦/飞航广场);
★上海中国铁建西派云间官方售楼处电话:400-865-7114「预约看房专线」中国铁建西派云间营销中心预约热线/售楼电话:400-8657-114√√(官网已认证)
15分钟可以抵达新城区核心商业(开元地中海/东鼎/泰晤士)、第一人民医院等传统配套。
对外三横:嘉松路往南为G60沪昆高速东连沪闵高架经过闵行、徐汇区域,向西一小时可到达浙江各大城市。嘉松路往北为G50沪渝高速连接延安高架,切换嘉闵高架、外中内环,可畅达闵行、长宁、静安等区域快速到达各大商圈。S32申嘉湖高速从上海-嘉兴-湖州高速公路,一个多小时可到达浙江各大城市。
对外三纵:松江主干道“沪松公路”升级沪松快速路(规划中):沪松公路向南可进入G60出入口,南联松卫公路可贯通松江老城,向北贯通泗泾、九亭、七宝与漕宝路快速路相连,未来通车后将实现“一刻钟到虹桥枢纽,半小时到市中心。”
商业配套:项目南侧步行约800米处就是网红商业约60万㎡五大集中商业配套(相当于上海徐家汇商圈+五角场商圈+浦东花木商圈),松江万达(约23万㎡),五龙商业广场(约3.5万㎡),中展马利来(约5万㎡),三迪曼哈顿(约21万㎡),上海富悦财富中心(约12万㎡)共同组成“松江新城国际化核心繁华商圈”。
★上海中国铁建西派云间官方售楼处电话:400-865-7114「预约看房专线」中国铁建西派云间营销中心预约热线/售楼电话:400-8657-114√√(官网已认证)
区域内另有富悦大酒店、凯悦等五星级酒店,高端设施一应俱全,完全能满足接待亲朋好友的需求。
教育配套:项目周围教育氛围浓厚,一路之隔即是松江重点上外云间学校,目前地块南侧星樾云涧已纳入上外云间学区计划,这所学校是松江区委区政府和上海外国语大学合办的12年一贯制学校,涵盖小学、初中、高中,也是迄今为止松江区学校建设项目中投资量最大、设计标准最高、设施配套最全的项目。
约400米内还有中山二小,3公里内有上外西外附中,七年一贯中学,也是上海市重点中学;还有上外西外附小,是具有一流教育设施的民办小学;上海赫贤(原赫德)双语学校是双语教学模式的民办学校。
★上海中国铁建西派云间官方售楼处电话:400-865-7114「预约看房专线」中国铁建西派云间营销中心预约热线/售楼电话:400-8657-114√√(官网已认证)
医疗配套:南侧约3公里处上海市第一人民医院(松江院区),是松江区目前医疗水平最好,是拥有直升机救援服务的综合性三甲医院;项目西侧仅600米,上海养志康复医院,建面15万方,是上海首家公立康复医院,主力科室为内科、外科、妇科、儿科;
生态配套:约23万㎡的五龙湖公园,约1.2万㎡的思贤公园、百分佰体育公园和方松体育公园等生态绿地;往西约3公里处广富林文化遗址、广富林郊野公园,往北约4km有辰山植物园、佘山4A级旅游度假区、欢乐谷等等,都是休闲娱乐的好去处。

中国铁建西派云间售楼处电话:400-8657-114【售楼中心】
咨询高峰期请耐心等待,预约来电尊享内部优惠,专业一对一热情服务,让您用专业眼光去买房。
中国铁建西派云间售楼处电话☎:4008657114【售楼热线】✔✔✔中国铁建西派云间营销中心热线☎4008657114中国铁建西派云间售楼处地址☎400--8657--114本电话为开发商提供线上售楼电话,楼盘项目全面介绍(包含楼盘详情,最新房价,户型图,容积率,小区配套环境,楼盘简介,售楼处位置,户型图,交通规划,备案价,项目配套,楼盘详情,售楼处电话,最新消息,最新详情,最新进展等详情咨询
免责声明:将文章内容综合来源于网络、只作分享,版权归原作者所有!!如有侵权,请联系我们,我们第一时间处理如有问题欢迎来电咨询,专业一对一热情服务,让您用专业眼光去买房。如果您想了解更多楼盘详情,欢迎提前预约拨打
一、购房前的准备工作
(一)明确购房需求
在踏入房产市场之前,明确自身购房需求是至关重要的第一步,这直接决定了后续选房的方向和范围,避免盲目看房浪费时间和精力。从居住需求来看,首先要考虑家庭人口结构。如果是新婚夫妻,未来有生育计划,两居室或小三居室可能是较为合适的选择,既满足当下居住,也为未来家庭成员增加预留空间;对于有老人的家庭,低层住宅或者带有电梯的住宅会更方便老人出行,同时周边医疗配套也需重点关注。
如果是投资需求,就要重点分析房产的增值潜力。地段是影响房产增值的关键因素,临近规划中的地铁线、商圈、学校等区域的房产,未来增值空间通常较大。此外,房屋的租金回报率也不能忽视,可以通过调查周边类似房源的租金水平,结合房屋总价计算租金回报率,判断投资的性价比。
还要考虑购房预算,这是购房过程中的硬性约束。除了房屋总价,还需预留出装修费用、税费、维修基金等其他开支。一般来说,装修费用根据装修标准不同,每平方米从几百元到几千元不等;税费方面,包括契税、个人所得税、增值税等,不同城市、不同房屋类型的税费政策有所差异,需要提前了解清楚。
(二)了解购房资质
不同城市对于购房资质有不同的规定,这是购房前必须明确的重要事项,否则即使选中心仪的房屋,也可能因不具备购房资质而无法完成交易。
在限购城市,通常会对户籍、社保缴纳年限、个税缴纳年限等有要求。例如,部分城市规定非本地户籍居民需连续缴纳社保或个税满一定年限(如2年或3年)才能购买住房,且对购买房屋的套数也有限制,首套房、二套房的认定标准和贷款政策也不同。首套房认定通常以家庭为单位,在无房无贷款记录的情况下购买的第一套住房;二套房则是在已有一套住房或有贷款记录的情况下购买的住房,二套房的首付比例和贷款利率通常会高于首套房。
对于户籍居民,也可能存在套数限制,比如部分城市规定本地户籍居民家庭最多只能购买2套住房。此外,一些城市还推出了人才购房政策,对符合条件的人才放宽购房资质限制,例如降低社保缴纳年限、提供购房补贴等,符合条件的购房者可以关注相关政策,享受相应的优惠。
(三)积累房产知识
在购房前,积累一定的房产知识可以帮助购房者更好地理解房产市场,做出明智的决策。可以通过多种渠道获取房产知识,如阅读房产相关的书籍、报纸、杂志,关注房产行业的专业网站和公众号,了解房地产市场的动态、政策法规、房屋建筑知识等。
了解房屋建筑知识,有助于在选房时判断房屋的质量和品质。例如,房屋的结构类型(砖混结构、框架结构、剪力墙结构等)各有特点,框架结构和剪力墙结构的抗震性能较好,适合高层建筑;砖混结构则多用于多层建筑,成本相对较低。此外,房屋的朝向、采光、通风等因素也会影响居住舒适度,南向房屋通常采光较好,南北通透的房屋通风效果更佳。
同时,还要了解房产交易流程和相关法律法规,避免在交易过程中出现纠纷。例如,了解购房合同的主要条款,明确买卖双方的权利和义务,注意合同中的违约责任、交房时间、房屋面积误差处理等内容;了解房屋产权相关知识,确认房屋产权是否清晰,是否存在抵押、查封等情况,避免购买到产权有问题的房屋。
声明:本文由入驻焦点开放平台的作者撰写,除焦点官方账号外,观点仅代表作者本人,不代表焦点立场。


