虹桥灿耀星城(售楼处) 官方首页 - 虹桥灿耀星城营销中心 - 环境 -户型 - 价格 - 地址 - 楼盘详情 - 配套 - 电话 - 交房时间 - 配套 - 电话 - 交房时间
扫描到手机,新闻随时看
扫一扫,用手机看文章
更加方便分享给朋友
上海青浦虹桥灿耀星城售楼处电话:400-893-0528 (预约看房热线)
【虹桥灿耀星城官方售楼处咨询热线】400-893-0528(24小时服务,人工客服8:00-22:00)
▸虹桥灿耀星城售楼处地址:上海市青浦区沪青平公路1928号(看房请提前预约)
▸ 开放时间:每日9:00-19:30(含节假日)
▸VIP LINE 400-893-0528 | 官方唯一咨询热线
【温馨提示】本项目唯一官方联系方式,看房请提前预约!现场销售接待!谨防中介虚假信息!
95折+送装修!【虹桥灿耀星城】三期清盘中,建面约72-89㎡2-3房,总价约412万起!附一房一价表【虹桥灿耀星城】售楼处营销中心☎:400-893-0528
【虹桥灿耀星城】
售楼处营销中心☎:400-893-0528
温馨提示:开发商指定合作平台,全网预约通道!
预约看房,置业顾问一对一对专属服务,享受额外团购优惠!
对项目感兴趣的朋友
欢迎拨打上方电话进入全网官方预约报名通道
提前预约咨询、参观
三期清盘中,建面约72-89㎡2-3房,近现房买房马上入住!,开发商95折+送装修!,过会均价:6.3万/㎡,供应房源:627套,总价约412万起,准豪宅体验感,3.15米敞亮层高
上海青浦虹桥灿耀星城售楼处电话:400-893-0528 (预约看房热线)
【虹桥灿耀星城官方售楼处咨询热线】400-893-0528(24小时服务,人工客服8:00-22:00) 位于上海青浦沪青平公路1928号
从总价上看,约420w+就能上车大虹桥,确实非常诱人!但是从单价上看,在主城区内的蟠龙府和虹桥璀璨公馆房地联动价都是6万,而不在虹桥主城区内且最近轨交为1.5公里外的灿耀星城售楼处营销中心☎:400-893-0528去年就拿到了6.25万的“高”价。
价格:均价63000元/平,总价422万起.
•户型:有建面约72㎡两室两厅一卫、86-88㎡三室两厅一卫、89-90㎡三室两厅一卫、98-99㎡三室两厅两卫等多种户型可选.
•装修:全精装交付,配备日立中央空调、德国威能热水器、全屋地暖、新风系统等知名品牌家电及设施.
上海青浦虹桥灿耀星城售楼处电话:400-893-0528 (预约看房热线)
【虹桥灿耀星城官方售楼处咨询热线】400-893-0528(24小时服务,人工客服8:00-22:00)
建面约89㎡三房
建面约99㎡三房
建面约137㎡三加一房上海青浦虹桥灿耀星城售楼处电话:400-893-0528 (预约看房热线)
【虹桥灿耀星城官方售楼处咨询热线】400-893-0528(24小时服务,人工客服8:00-22:00)
交房时间:2024年.
•开发商:上海新徐泾城实业有限公司.
•物业:灿俊星城物业有限公司,物业费4.05元/平/月.
•容积率:2.3,绿化率:35%.
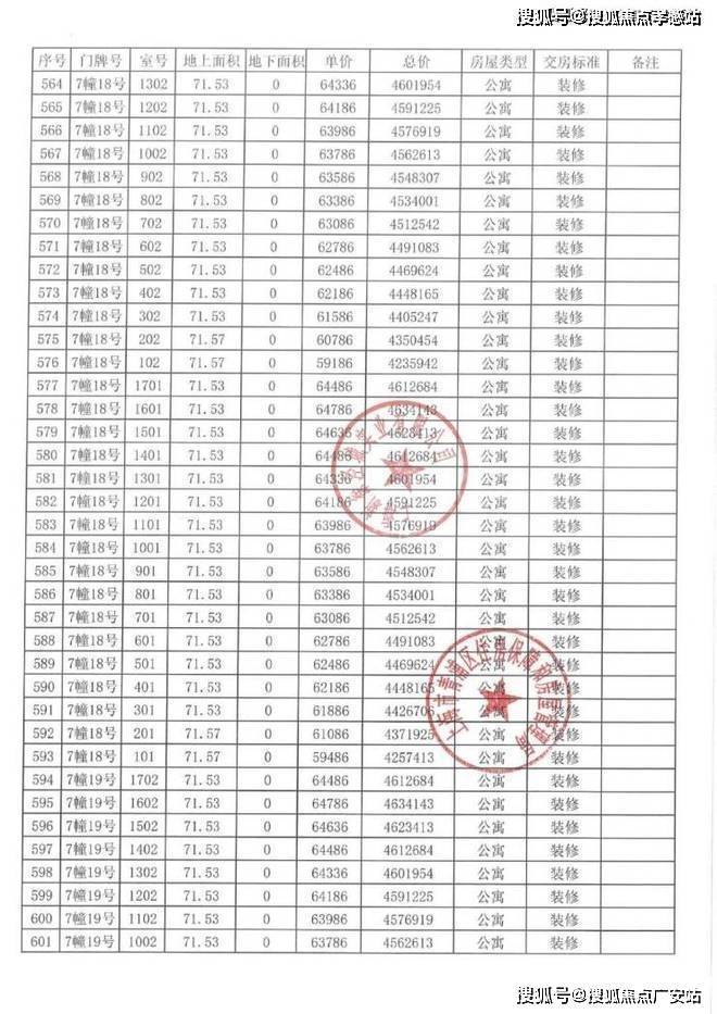
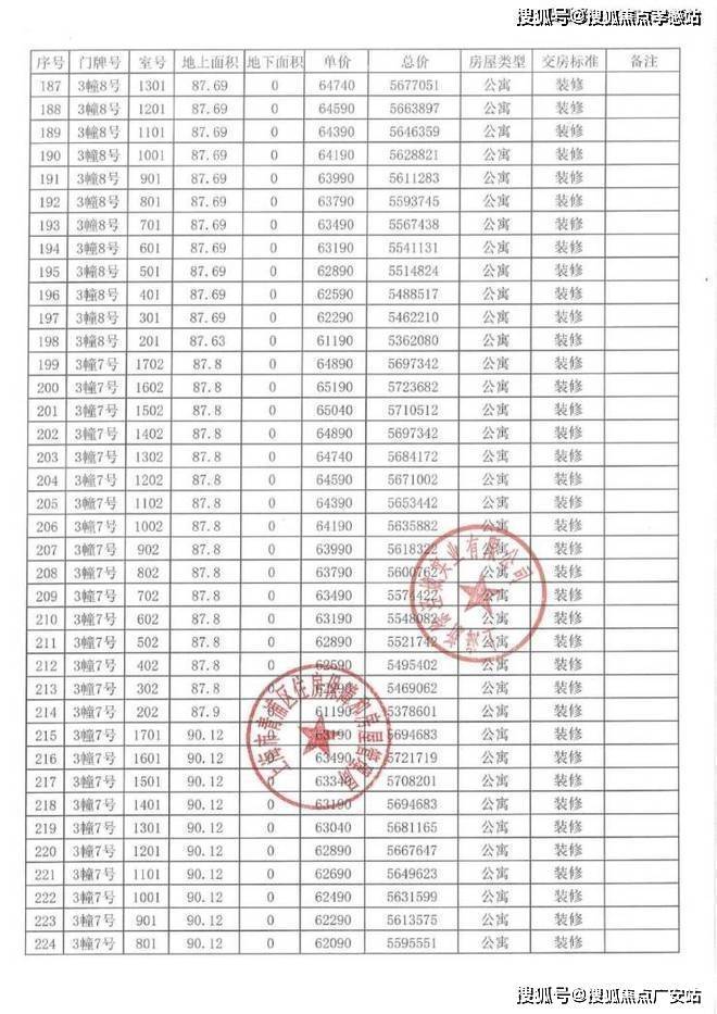
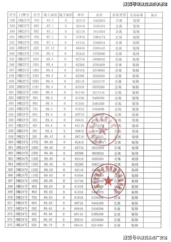
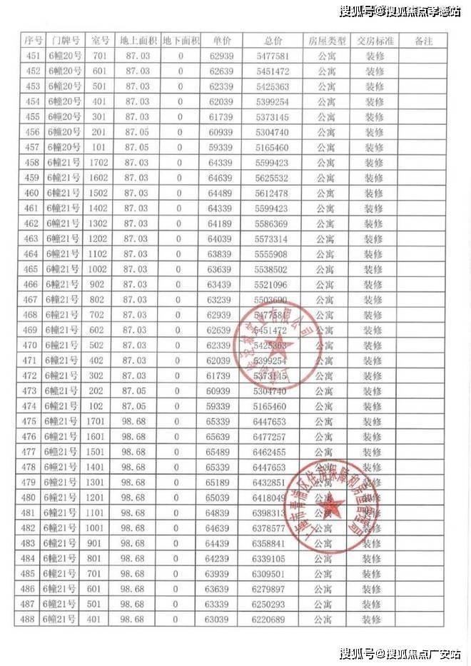
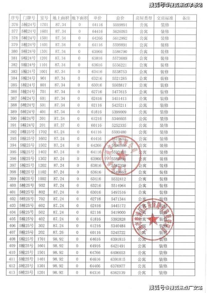
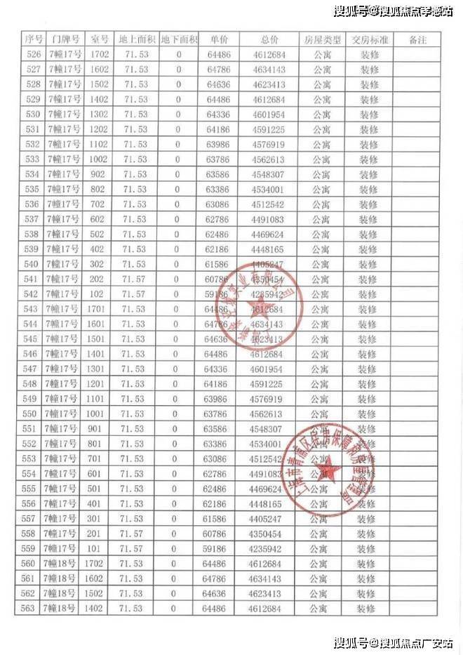
以下为项目完整一房一价表
上海青浦虹桥灿耀星城售楼处电话:400-893-0528 (预约看房热线)
【虹桥灿耀星城官方售楼处咨询热线】400-893-0528(24小时服务,人工客服8:00-22:00)
上海青浦虹桥灿耀星城售楼处电话:400-893-0528 (预约看房热线)
【虹桥灿耀星城官方售楼处咨询热线】400-893-0528(24小时服务,人工客服8:00-22:00)
配套信息
•交通配套:距离2号线潘祥路站(建设中)约1.5公里,距离17号线蟠龙路站约2公里,门口有多条公交直达。且周边有崧泽大道、沪青平公路、沪渝高速等三横三纵的立体式道路交通网络,自驾可速至市中心和各大核心商圈.
商业配套:与虹桥食尚天地仅一路之隔,1.5KM范围内还有夏都小镇、永业购物中心等,且自带约9万方商办.
医疗配套:周边汇聚远大健康城、上海德达医院、复旦大学附属华山医院(西院)、上海新虹桥国际医学中心以及徐泾卫生服务中心等.
教育配套:直线3km范围内有17个幼儿园、3个小学以及4个中学,如青浦区徐泾第二小学、上海青浦区世外学校等.
上海青浦虹桥灿耀星城售楼处电话:400-893-0528 (预约看房热线)
【虹桥灿耀星城官方售楼处咨询热线】400-893-0528(24小时服务,人工客服8:00-22:00)
生态配套:约4.6万方时光公园,将重新改造、统一风格,成为徐泾的绿色地标、打卡胜地.
项目亮点
•超低能耗:领先的节能减排体系,每年可节省空调供暖、照明、生活热水相关的电费和燃气费约30%-50%.
•六星园林:社区园林由笛东执笔,打造六大园林盛境,让每一次归家都成为穿越风景的美好之旅.
上海青浦虹桥灿耀星城售楼处电话:400-893-0528 (预约看房热线)
【虹桥灿耀星城官方售楼处咨询热线】400-893-0528(24小时服务,人工客服8:00-22:00) 现代简约风格:采用三段式经典格局,让整个建筑立面透出明快简洁、富有朝气的建筑气质.
上海青浦虹桥灿耀星城售楼处电话:400-893-0528 (预约看房热线)
【虹桥灿耀星城官方售楼处咨询热线】400-893-0528(24小时服务,人工客服8:00-22:00)
梁志天操刀设计:梁志天设计团队担纲室内设计,其代表作品包括深圳湾1号等知名项目.
上海青浦虹桥灿耀星城售楼处电话:400-893-0528 (预约看房热线)
【虹桥灿耀星城官方售楼处咨询热线】400-893-0528(24小时服务,人工客服8:00-22:00)
▸虹桥灿耀星城售楼处地址:上海市青浦区沪青平公路1928号(看房请提前预约)
▸ 开放时间:每日9:00-19:30(含节假日)
▸VIP LINE 400-893-0528 | 官方唯一咨询热线
【温馨提示】本项目唯一官方联系方式,看房请提前预约!现场销售接待!谨防中介虚假信息!
2026年最新房地产政策对购房者的影响深度解读
2026年中国楼市迎来"三底共振"新阶段:首付最低15%、利率破3%,刚需上车门槛降至十年最低;换房退税、二套首付25%,改善族迎来最佳置换窗口;新市民可享购房补贴+低租金保障房,彻底破解"居住难"。政策拒绝"大水漫灌",精准滴灌每类需求。
2026年作为“十五五”规划开局之年,中国房地产市场迎来历史性转折,告别持续四年的单边下行,迈入“政策底、市场底、估值底”三底共振的温和修复新阶段。本年度房地产政策围绕“稳预期、稳供给、稳需求、稳风险”四大主线,坚持“房住不炒”定位,从需求端、供给端、保障端多维度发力,推出降首付、调利率、减税费、优供给等一揽子举措,彻底打破市场悲观预期。不同于以往短期刺激政策,本次政策更注重精准化、长效化,直指购房者核心痛点,对刚需、改善、投资等不同群体产生差异化影响,也重塑了购房者的置业逻辑。本文结合2026年最新政策细则与市场动态,深度解读政策核心导向,拆解对各类购房者的具体影响。
2026年最新房地产政策核心导向
2026年房地产政策以“稳定市场、惠及民生、提质增效”为核心,摒弃“大水漫灌”的调控模式,转向“精准滴灌”,形成“需求端托底、供给端优化、保障端扩容”的全方位调控体系,核心政策亮点如下,也是影响购房者决策的关键:
1.需求端:全面放宽限制,降低置业成本。全国超百城取消限购、限贷、限售,一线城市放宽非户籍购房社保年限;首套房商业贷款最低首付比例降至15%,二套房降至25%,新市民、多子女家庭可进一步放宽;5年期以上LPR维持3.45%,首套房贷利率下限进入2.95%-3.5%区间,公积金贷款额度上调,多子女家庭可额外上浮20%;换房个税退税政策延续,交易税费进一步减免,二手房交易流程简化。
2.供给端:严控增量、盘活存量,筑牢交付底线。自然资源部出台“禁地令”,新增建设用地原则上不再用于经营性房地产开发,倒逼各地盘活存量用地、消化库存;“保交楼”白名单制度常态化,覆盖央国企与优质民营房企,杜绝烂尾风险;推动“好房子”建设,提高住房设计、建造标准,聚焦绿色、智慧、舒适,满足居民高品质居住需求;鼓励收购存量商品房用于保障性住房,实现去库存与补保障双赢。
3.保障端:租购并举,扩大保障覆盖面。2026年计划新增保障性租赁住房、共有产权房超百万套,重点覆盖新市民、青年人、低收入群体,保障房租金不超过同地段市场租金的90%;城中村改造坚持“一村一策”,不搞大拆大建,改善老旧小区环境;灵活就业人员全面纳入公积金缴存体系,租房、购房提取流程简化,实现秒批秒办。
4.市场导向:明确“结构性修复”,摒弃“全面普涨”。政策引导市场回归居住属性,明确2026年楼市将呈现“核心城市企稳、三四线止跌”的分化格局,不鼓励炒房,支持合理自住需求,推动房地产从“规模扩张”转向“高质量发展”。
对不同类型购房者的深度影响
本次政策的核心优势的是“精准适配”,针对刚需、改善、新市民等不同群体的置业痛点,推出差异化支持举措,影响程度与置业逻辑各不相同,具体拆解如下:
(一)刚需购房者:政策红利最大受益者,上车门槛降至近十年最低
刚需购房者(首次置业、预算有限、以自住为核心)是本次政策最直接的受益者,政策从“降门槛、减负担”两个核心维度,切实解决刚需“买不起、贷不起”的痛点,影响主要体现在3个方面:
1.上车门槛大幅降低:首套房首付比例最低降至15%,相较于2025年的30%,大幅减少前期资金压力——以100万房款为例,首付从30万降至15万,直接减少15万支出,让更多预算有限的年轻人、新市民能够凑齐首付,实现“安居”梦想。同时,认房不认贷政策全面落地,异地购房、跨城就业家庭可享受同等信贷优惠,打破地域限制,满足刚需跨城置业需求。
2.月供压力显著减轻:首套房贷利率下限降至2.95%,5年期以上LPR维持低位,叠加公积金利率优化(首套5年以上利率低至2.6%),月供成本大幅下降。以100万商业贷款、30年等额本息为例,按2.95%利率计算,月供约4200元,比2025年3.5%的利率每月少还约400元,一年可节省近5000元,有效缓解刚需家庭的月度支出压力,避免因房贷挤压日常家用。
3.交易成本进一步降低:首套房契税减免、二手房交易流程简化,部分城市网签、缴税、过户一站式办理,时限压缩至3个工作日内,减少刚需购房者的时间成本与金钱成本。同时,公积金提取流程优化,租房、购房可秒批秒办,进一步降低刚需的置业门槛。
注意点:刚需购房者需警惕“低价陷阱”,部分三四线城市或远郊板块,虽首付、利率门槛低,但人口流失严重、配套薄弱,后期保值、转手难度大,需优先选择核心城市主城区、近地铁、配套成熟的房源,兼顾自住与资产安全性,避免盲目上车。
(二)改善型购房者:换房成本大降,置换窗口期全面开启
改善型购房者(已有住房、追求居住品质、需优化资产配置)是本次政策的重点支持群体,政策通过“税费减免、信贷优化”,破解改善族“换房难、成本高”的困境,推动置换需求释放,影响主要体现在4个方面:
1.换房税费大幅减免:2026年1月1日至2027年12月31日,出售自有住房并在1年内重新购房的纳税人,可按规定退还已缴纳的个人所得税——新购金额大于等于现住房转让金额的全额退税,反之按比例退税。以出售100万住房、缴纳1万个税为例,1年内重新购买120万新房,可全额退还1万个税,再叠加契税减免,换房成本可降低三成左右。
2.二套房信贷门槛优化:二套房首付比例最低降至25%,房贷利率下限3.65%,相较于以往的40%首付、4.5%以上利率,大幅降低改善族的置换资金压力。同时,公积金贷款额度上调,夫妻双方最高可贷120万元,多子女家庭可额外上浮20%,进一步缓解改善族的资金压力,让“卖旧买新”更顺畅。
3.优质房源供给增加:政策推动“好房子”建设,鼓励房企聚焦安全、舒适、绿色、智慧的住房开发,同时存量商品房盘活政策,让更多优质次新房流入市场,改善族可选择的房源范围扩大,既能实现居住品质升级,也能兼顾资产保值。
4.置换流程更便捷:二手房交易流程简化、税费减免,同时“卖旧买新”的时间衔接更灵活,部分城市可约定“卖旧收款后再支付买新首付”,避免改善族陷入“资金链断裂”的困境,降低置换风险。
注意点:改善族需把握“结构性修复”机遇,优先选择一线、强二线核心板块的优质次新房,避开人口流失城市的远郊改善盘;同时,置换时需核实房源产权、学位名额等细节,结合家庭需求,平衡居住品质与资产保值,避免盲目追求“大户型、高总价”。
(三)新市民、青年人:多重支持,破解“居住难”痛点
新市民、青年人(异地就业、首次置业、预算有限)是本次政策的重点倾斜群体,政策从“购房、租房”双维度发力,切实解决其“买不起房、租不好房”的困境,影响主要体现在2个方面:
1.购房支持更精准:新市民、青年人可享受首套房首付比例、利率的额外优惠,部分城市针对新市民推出购房补贴;认房不认贷、异地公积金互认政策,打破地域限制,让跨城就业的新市民能够享受户籍地同等购房待遇;灵活就业人员全面纳入公积金缴存体系,解决其“无公积金、贷不了款”的痛点,进一步降低购房门槛。
2.租房保障更完善:保障性租赁住房扩容,重点覆盖新市民、青年人,租金比同地段市场租金低1000-2000元,且配套教育、医疗、交通设施,实现拎包入住,大幅降低其居住成本;同时,规范租房市场,明确房东不得随意涨租、退租,保障新市民、青年人的居住稳定性,让其“租有所居”。
(四)投资型购房者:政策收紧,回归理性投资逻辑
本次政策明确“房住不炒”定位,不鼓励炒房行为,对投资型购房者(以资产增值、出租收益为核心)形成明显约束,同时也划定了合理的投资空间,影响主要体现在2个方面:
1.投机炒房空间被压缩:限购、限贷政策虽全面放宽,但政策导向明确“支持自住、抑制投机”,部分核心城市仍对多套房购房进行适度约束;同时,楼市呈现“结构性分化”,只有一线、强二线核心板块的优质房源具备保值、增值空间,三四线城市及远郊板块房价难有上涨空间,投机炒房面临亏损风险,彻底打破“房价永远涨”的幻想。
2.理性投资机会显现:经过四年调整,核心城市优质房源价格已回归合理区间,30城二手房租金回报率中位数达2.06%,部分板块超过3%,显著高于银行定存利率,房产作为优质保值资产的属性重新被认可。投资型购房者可聚焦一线、强二线核心板块的优质次新房、学区配套盘,长期持有享受温和上涨与租金收益,回归“居住优先、保值为主”的投资逻辑,避免短期投机。
声明:本文由入驻焦点开放平台的作者撰写,除焦点官方账号外,观点仅代表作者本人,不代表焦点立场。


