深嘉上府售楼处2025首页网站|深嘉上府售楼处电话|在售户型|小区配套|最新价格|周边详情|容积率|楼盘详情
扫描到手机,新闻随时看
扫一扫,用手机看文章
更加方便分享给朋友
深嘉上府售楼处电话☎:400-9988-414
上海嘉定深嘉上府售楼处电话☎:400-9988-414
嘉定芯 同济旁
加推待认购
212套建面约68-99 ㎡1-9房
7月12日已过会均价35839元/㎡
深嘉上府售楼处电话☎:400-9988-414✔✔欢迎来电咨询! (预约看房热线)可预约销售人员,专业一对一热情服务,让您用专业眼光去买房。
售楼处线上火热预约中!
深嘉上府售楼处电话☎:400-9988-414
上海嘉定深嘉上府售楼处电话☎:400-9988-414
看土拍市场,今年3月初,嘉定新城F03A-4地块出让,经过49轮激烈竞拍,溢价率30%封顶成交,楼面价高达31850元/㎡。而它旁边的地块楼面价才2.3万/㎡,这样的跳涨幅度无疑是惊人的。
此刻,于手握刚需预算的购房者而言:时机不等人!如果不想错过行情,未来多付上百万的真金白银,当下嘉定入市的新房必须强烈关注起来。
「深嘉上府」从价格上来看,是当下无可争议的性价比之选,只要300万起就能上车一套精装三房!要知道,往前两站的嘉定新城新房将要卖上6万+/㎡!

层层因素叠加,这才是刚需逆天改命的封神级性价比!
「深嘉上府」示范区&样板间已正式开放,实力雄厚的国企钜制,推出精装三房爆款小户型,年轻人在上海的第一套房子,不容错过!

嘉定芯 同济旁,片区内综合体项目「深嘉上府」正式开放示范区&样板间;国企钜制+全屋精装;加推212套建面约68-99 ㎡1-3房;总价约300万起!7月12日已过会均价35839元/㎡,售楼处线上火热预约中!
深嘉上府售楼处电话☎:400-9988-414
上海嘉定深嘉上府售楼处电话☎:400-9988-414
精装交付,中央空调、地暖、新风三大件一步到位,连洗碗机、凉霸也标配入户,首开优惠还有大惊喜!首开价格诚意满满,优惠价格直接就是备案价格的95折!
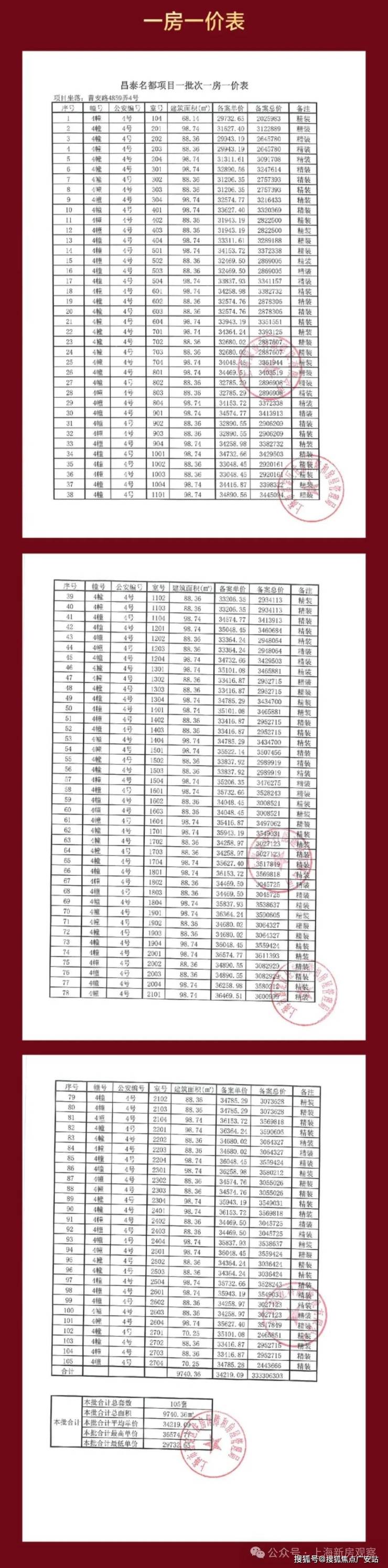
上期一房一价表如下:
深嘉上府售楼处电话☎:400-9988-414
上海嘉定深嘉上府售楼处电话☎:400-9988-414
深嘉上府售楼处电话☎:400-9988-414
上海嘉定深嘉上府售楼处电话☎:400-9988-414
仅有四栋住宅一字排开,享受开阔全景视野与充足采光。在样板房的设计上更以自然雅居理念的落地,选用的艺术纹理瓷砖、实木多层地板、墙布、窗材及钢板等,不仅饱含艺术元素,同时也有很强的耐磨抗蚀特性,具备持久耐用性。

深嘉上府售楼处电话☎:400-9988-414
上海嘉定深嘉上府售楼处电话☎:400-9988-414
在精装硬件上,匠心臻选优质品牌和材质。配置日立中央空调、地暖、新风三大健康系统,打造舒适宜居的室内环境;全屋采用LED光源,搭配智能家居与智能门锁,提升生活的便捷与高效;厨房则配备油烟机、燃气灶、橱柜、洗碗机四件套,充分满足居家烹饪的品质需求。细节之处尽显匠心,只为呈现更高品质的理想生活。(仅供参考,具体以实际交付为准)

深嘉上府以88-99㎡的明星爆款小户型,圆年轻人的置业梦想。其中,88㎡户型以三房两厅一卫的格局,兼具功能性与尺度感。南向三开间,做到两间卧室朝南,这样的面宽,媲美市面上100㎡户型的新房尺度。u字形的厨房,动线合理。餐厅空间,能够从容摆放一张四人大餐桌。全屋飘窗设计,将赠送空间拉满。

U型厨房动线合理,洗菜、切菜、炒菜一气呵成,最惊喜的是全屋飘窗,附加值和功能性拉满!甚至浴室都附带飘窗,洗完澡坐在飘窗上敷个面膜,惬意满分!北房间可作书房或儿童房,兼具功能与成长性!

深嘉上府售楼处电话☎:400-9988-414
上海嘉定深嘉上府售楼处电话☎:400-9988-414

建面约99㎡的三房两厅两卫,很适合一家三口的上车作品。三开间朝南,南北通透,动静分区,户型方正。全屋飘窗,扩大实用面积,节省置业成本。主卧采用套房式设计,满足业主的私密性需求。户型内空间充分利用,整体尺度感超过同面积段的市面上产品。

深嘉上府售楼处电话☎:400-9988-414
上海嘉定深嘉上府售楼处电话☎:400-9988-414


深嘉上府售楼处电话☎:400-9988-414
上海嘉定深嘉上府售楼处电话☎:400-9988-414
在看不见的细节里,用尽所有认真。13大项97小项的精装考量,18项户内工艺、17项园林营造、6项外立面构造、7项公共区域细节,深业华东以全维体系雕刻每一寸空间,用看得见的品质,兑现看不见的用心。

深嘉上府,由深圳市人民政府全资拥有、深圳市国资委直管的大型综合性企业集团——深业集团开发打造,集团前身于1983 年在香港注册成立。
2021年12月和2022年6月,两次摘下上海嘉定地块深业深安上居、深嘉上府,双星耀嘉定开启在上海的战略布局。深安上居首开热销8成,二期去化表现同样优异,只剩少量房源。「深嘉上府」作为深业集团进入上海打造的首个“府系”综合体项目,升级之作,强势来袭!

深嘉上府售楼处电话☎:400-9988-414
上海嘉定深嘉上府售楼处电话☎:400-9988-414
作为整个嘉定独一份的“全能型综合体选手”,深嘉上府不同于功能单一生活产业都需要仰仗区域规划的住宅社区,TA在一个项目体内实现了住宅、商业、办公的一站式整合!
项目整体宛如一个微缩城市,能够轻松构建“24+1 时”生活圈,在家门口就能实现“24 小时不打烊”的快乐!

约1万㎡自持商业+5.1万㎡商办,下楼就是网红咖啡店、宝藏小馆、精品超市,遛个弯的功夫就能搞定早午晚餐和溜娃娱乐!早上被楼下飘来的咖啡香唤醒,下楼买杯生椰拿铁配可颂当早餐,地铁站就在家门口,不用着急赶,安心吃完再上班!
外立面上,采用玻璃幕墙+顶部金色格栅塔冠设计,四栋住宅一字排开,户户朝阳享受开阔视野与充足采光的居住体验。

丰富的洄游动线,项目拥有中央花园、为儿童量身定制活动区、全龄运动场、林间密径、架空层空间等,应有尽有。

深嘉上府售楼处电话☎:400-9988-414
上海嘉定深嘉上府售楼处电话☎:400-9988-414
首层与地下双重精装入户大堂,市区高端改善楼盘才有的配置,出入皆舒适从容,尽显归家礼序。

嘉定,作为五大新城中最为宜居的地方,在过去十年间,人口增速约24.68%,稳居全上海第一。它的成功,一是离市区比较近,另外一个就是产业发达。

深嘉上府售楼处电话☎:400-9988-414
上海嘉定深嘉上府售楼处电话☎:400-9988-414
安亭,作为中国汽车第一镇,是嘉定建设世界级汽车产业中心核心承载区、打造世界智能网联汽车创新高地的主战场,嘉定汽车“新四化”布局的重中之重。(信息来源上海市嘉定人民政府官网)
目前,安亭汽车产值已超3000亿元,占上海全市汽车总产值超1/3;汽车“新四化”相关总产值达900亿元;聚集各领域汽车产业链企业1240家;全镇共有汽车产业链从业人员约6.8万人。(信息来源组织人事报官方公众号2024年6月发布)

在“大虹桥” 最新的规划草案中,安亭正式被纳入大虹桥范畴!
而作为大虹桥版图中的房价洼地和对接长三角的关键节点,资源、人口的涌入,只是时间问题,安亭区域价值的腾飞可以预见,现在上车正当时!
随着区域规划的升级,安亭从交通到产业的硬件配套也正迎来全面蜕变!
就以地处安亭核心的深嘉上府为例,现有地铁11号线坐几站就能到嘉定新城,并直通上海市区!
而规划中的14号线西延伸线(预计2026年动工),更与项目直线仅约 300 米,通车后可高效对接大虹桥,且45分钟直达陆家嘴,实现新城置业中罕有的双轨高能配置!

深嘉上府售楼处电话☎:400-9988-414
上海嘉定深嘉上府售楼处电话☎:400-9988-414
同时,片区的交通也将迎来大跃升:以安亭北站、安亭西站为核心的安亭枢纽,是打通长三角一体化和虹桥国际开放枢纽的链接通道,在上海2035规划中,宝嘉线、嘉青松线即将启动,嘉安高速延展嘉定向东,与宝山互通。
轨交14号线西延伸(规划中),与轨交11号线合力形成大运量轨交服务扇面,构筑“上海市中心-嘉定-苏州”轨交一张网。
而项目与规划中的14号线,直线仅约300米!
深嘉上府售楼处电话☎:400-9988-414
上海嘉定深嘉上府售楼处电话☎:400-9988-414
项目东侧紧同济大学嘉定校区,在校师生规模超15000人。高教资源丰富,浓郁学府氛围,举步即享高校文体设施配套。周边有同济附属实验小学、中学,黄渡小学、中学,华东师范大学双语学校等全龄段教育资源,孩子可享受“家门口”的优质教育!(新房不承诺学区)
商业上,嘉亭荟城市生活广场、安亭财富广场、三德广场、中信泰富万达广场、嘉实生活广场汇聚,完全满足日常生活购物所需。

生态上,嘉北郊野公园、安亭汽车博览公园、远香湖公园、嘉定紫藤园,还有市民广场、保利大剧院、安亭老街、颖奕安亭高尔夫球场、州桥老街等丰富的文娱场所,陶冶精神,放松身心。

嘉定芯 同济旁「深嘉上府」加推建面约68-99 ㎡1-3房;均价35839元/㎡!
深嘉上府售楼处电话☎:400-9988-414✔✔欢迎来电咨询! (预约看房热线)可预约销售人员,专业一对一热情服务,让您用专业眼光去买房。
房产知识一百条
1、什么是房产:房屋产权的简称。
2、什么是地产:是指土地财产。
3、什么是房地产:是房产和地产的总称。
4、什么是房地产业:从事房地产开发、建设、经营、管理以及维修、装饰和服务的综合性产业。
5、什么是房地产开发:是指在依法取得土地使用权的土地上按照使用性质的要求进行基础设施、房屋建筑的活动。
6、什么是土地开发:是将“生地”开发成可供使用的土地。
7、集体土地是指:农村集体所有的土地。
8、征用土地是指:国家为了公共利益的需要,可依照法律规定对集体所有的土地实行征用。
9、什么是土地所有权:是指国家或集体经济组织对国家土地和集体土地依法享有的占有、使用、收益和处分的权能。
10、什么是土地使用权的出让:指国家以协议、招标、拍卖的方式将土地所有权在一定年限内出让给土地使用者,由使用者向国家支付土地使用权出让金的行为。
11、什么是土地使用权转让:是指土地使用者通过出售、交换、赠与和继承的方式将土地使用权再转移的行为。
12、什么是地籍、产籍:是对在房地产调查登记过程产生的各种图表、证件等登记资料,经过整理、加工、分类而形成的图、档、卡、册等资料的总称。
13、生地是指:不具备开发条件的土地。
14、熟地是指:已完成三通一平(水、电、道路,土地平整)或七通一平,具备开发条件的土地。
15、什么是宗地:是地籍的最小单元,是指以权属界线组成的封闭地块。
16、什么是宗地图:是土地使用合同书附图及房地产登记卡附图。它反映一宗地的基本情况。包括:宗地权属界线、界址点位置、宗地内建筑位置与性质、与相邻宗地的关系等。
17、证书附图是指:房地产后面的附图,主要反映房地产情况及房地产所在宗地情况。
18、什么是物业管理:泛指一切有关房地产开发、经营、商品房销售、租赁及售后服务。
19、什么是业主委员会:是在物业管理区域内代表全体业主实施自治管理的组织。是代表
物业全体业主合法权益的社会团体,其合法权益受国家法律保护。
20、业主委员会是如何产生的:由业主大会从全体业主中选举产生。
21、住房补贴是指:国家为职工解决住房问题而给予的补贴资助。
22、房屋的所有权是指:对房屋全面支配的权利。
23、房地产交易的两种主要形式是:地产交易形式与房产交易形式。
24、建筑物是指:人工建造而成的房屋和构筑物。
25、构筑物是指:建筑物中除房屋以外的东西。
26、什么是期房:是指消费者在购买时不具备即买即可入住的商品房。
27、期房是如何介定的:房地产开发商拿到商品房预售许可证开始至取得房地产权证大产证或竣工验收合格可以直接入住使用)为止。
28、什么是预售合同:消费者在购买期房时签定的销售合同。
29、什么是现房:是指消费者在购买时具备即买即可入住的商品房,即开发商已办妥所售的商品房的大产证(或已经竣工验收合格并交付使用)的商品房。
30、什么是毛坯房:房地产商交付屋内只有门框没有门,墙面地面仅做基础处理而未做表面处理的房叫毛坯房。
31、什么是成品房:是指对墙面、天花、门套、地板实行装修。
32、什么是商品房:是指以完全的市场价格向购房者出售的房子。
33、商品房预售是指:在房地产尚未建成以前,房地产的经销商在取得受买人一定数量的定金后,将期房出售给受买人。
34、商品房现售是指:指房地产开发企业将竣工验收合格的商品房出售给买受人。
35、二手房通常指的是:再次进行买卖交易的住房。
36、经济适用房指的是:面向中低收入家庭的普通住宅。
37、例出3种以上的安居房的种类:准成本房、全成本房、全成本微利房和社会微利房。
38、低层住宅的介定:1-3层的住宅。
39、多层住宅的介定:4-6层的住宅。
40、小高层住宅的介定:7-11层的住宅。
41、中高层住宅的介定:12-16层的住宅。
42、高层住宅的介定:16层以上为高层住宅。
43、超高层建筑的介定:总高度超过100米的建筑。
44、商品房的结构是指:房屋主体所使用的施工工艺和用材。
45、钢结构的意思是:承重的主要结构是用钢材料建造的,包括悬索结构。
46、钢混结构的意思是:承重的主要结构是用钢和混凝上建造的。
47、砖木结构的意思是:承重的主要结构是用砖、木材建造的。
48、砖混结构的意思是:主要是砖墙承重,部分是钢盘混凝土承重的结构。
49、框架结构的意思是:以钢筋混凝土浇捣成承重梁柱,再用预制的隔墙分户的结构。
50、开间指的是:一间房屋内一面墙的定位轴线到另一面墙的定位轴线之间的实际距离。
51、进深指的是:一间独立的房屋或一幢居住建筑内从前墙的定位轴线到后墙的定位轴线之间的实际长度。
52、层高指的是:下层地板面或楼板面到上层楼层面之间的距离。
53、净高指的是:下层楼板上表面到上层楼板下表面之间的距离。
54、占地面积指的是:地块的总面积。
55、1亩约等于多少平方米:666.66㎡
56、居住小区总用地指的是什么用地的总和:住宅总用地,公共建筑设施总用地,道路、广场用地、庭院、绿化用地的总和。
57、住宅总用地是指:住宅用地面积的总和。
58、公建总用地是指:小区内部公共建筑占地面积的总和。
59、建筑用地面积的介定:建设用地位置和界线所围合的用地之水平投影面积。
60、建筑基底面积是指:建筑物首层的建筑面积。
61、建筑高度是指:建筑物室外地平面至外墙面顶部的总高度。
62、房屋的基底面积是指:房屋的基底面积是指建筑物底层勒脚以上外围水平投影面积。
63、道路面积是指:小区内宽度大于1.5米道路的面积总和。
64、广场面积是指:停车、回车广场和有铺砌地面的场地面积之和。
65、庭院、绿化面积是指:小区内集中绿化带、小公园,以及公共活动场所等为小区所有居住人员共同使用权的绿化面积的总和。
66、假山、小池算不算庭院、绿化面积:算。
67、人均总占地面积(㎡/人)的计算公式:人均总占地面积=建筑红线内总用地÷本小区规划居住总人数。
68、人均住宅用地面积(㎡/人)的计算公式:人均住宅用地面积=小区内总住宅用地÷本小区规划居住总人数。
69、总建筑面积是指:小区内住宅、公共建筑、人防地下室面积总和。
70、人防地下室算不算在总建筑面积之内:算
71、住宅建筑面积是指:住宅建筑外墙外围线测定的各层平面面积之和。
72、套建筑面积是指:一套房屋的整体面积。
73、套建筑面积的构成是:套内建筑面积和套分摊的公用建筑面积
74、幢(栋)是指:一座独立的,包括不同结构和不同层次的房屋。
75、架空房屋是指:一般为底层架空,以柱子作为承重支撑物的房屋。
76、夹层是指:位于两自然层之间的楼层,指房屋内部空间的局部层次。
77、技术层的意思是:用作水、电、暖、卫生等设备安装的局部层次。
78、技术层层高在多少以上计算层数:2.20米以上的计算层数。
79、结构转换层是指:建筑物某楼层的上部与下部因平面使用功能不同,该楼层上部与下部采用不同结构类型,并通过该楼层进行结构转换,则该楼层称为结构转换层。
80、跃层式住宅是指:一套住宅占两个楼层,由户内楼梯联系上下层,上下两层完全分隔。
81、阁楼是指:利用房屋内的上部空间加建的楼层。
82、阁楼层高在多高以上计算面积:2.20米以上。
83、地上层数是指:即房屋的自然层数,指室内地坪±0.00以上的按楼板结构分层的层高在2.20米以上的楼层数。
84、地上层数用什么数表示:自然数。
85、地下层数是指:采光窗在室外地坪以下的,其室内层高在2.20米以上的地下室的层数。
86、地下层数用什么数表示:负数。
87、房屋总层数是指:房屋的地上层数与地下层数之和。
88、地下层数算不算在房屋总层数之内:算。
89、例出3个以上不算在房屋总层数内的建筑层:假层、夹层、阁楼、装饰性塔楼、楼梯间、水箱间。
90、柱廊是指:有顶盖和支柱,供人通行的建筑物,称为有柱走廊,简称柱廊。
91、骑楼是指:底层为有柱廊房,廊道上方建为楼房的一部分。
92、挑廊是指:指二层以上挑出房屋墙体外,有围护结构,无支柱有顶盖的外走廊。
93、门廊是指:建筑物门前有顶盖,有支柱或围护结构的进出通道。
94、门斗是指:支撑建筑物门前顶盖的是实体墙称为门斗。
95、檐廊是指:房屋檐下方两端有支撑墙体无柱的通道。
96、天棚是指:即天篷,有透明顶篷履盖的屋面。
97、晒台又称什么:露台。
98、露台是指:供人室外活动的上人屋面或底层地面伸出室外的有维护无顶盖的台面。
99、阳台是指:有永久性上盖、有围护结构、有台面、与房屋相连、可以供人活动或利用的房屋附属设施。
100、阳台的分类有:封闭式阳台和半封闭式阳台。
深嘉上府售楼处电话☎:400-9988-414✔✔欢迎来电咨询! (预约看房热线)可预约销售人员,专业一对一热情服务,让您用专业眼光去买房。
声明:本文由入驻焦点开放平台的作者撰写,除焦点官方账号外,观点仅代表作者本人,不代表焦点立场。


