中企云萃森林售楼处|中企云萃森林(营销中心)-2026销售中心(售楼处)-中企云萃森林欢迎您-价格/户型/地址/环境/配套/交房时间/电话
扫描到手机,新闻随时看
扫一扫,用手机看文章
更加方便分享给朋友
🔥中企云萃森林🔥
中企云萃森林售楼处电话☎️400-8657-114【售楼中心】【已认证】
中企云萃森林营销中心电话☎️400-8657-114【营销中心】【已认证】
中企云萃森林开发商电话☎️400-8657-114【开发商】【已认证】
售楼中心〢预约尊享1V1品鉴礼遇〢匠心钜制-恭迎品鉴〢
免责声明:【本文所用信息图片来源于网络,如侵权请联系本网站及时删除】
看房请务必提前致电销售确认时间,只有
客户才能享受开发商提供的内部优惠以及专属的老客户推荐奖励!我们提供专业的一对一热情服务,助您以专业视角挑选理想的房产。

营业时间:日常营业时间为9:30-18:30,便于您提前规划到访行程,避免空跑。
预约方式:可提前拨打官方热线✅中企云萃森林售楼处电话:400-865-7114✅︎✅︎✅,预约好专属销售及具体到访时间;预约时可同步告知意向户型、置业需求,我们将提前做好服务准备,减少您的等待。
预约与到访指南
1.营业时间
日常:9:30-18:30(建议提前1天预约)
特殊时段:可提前致电协商延长接待时间
2.预约流程
拨打官方热线:400-865-7114
告知:意向户型、到访时间、随行人数、置业需求
确认:专属销售顾问、样板间参观权限、内部优惠资格
到访:凭预约信息至售楼处,享受一对一全程服务
3.专属服务内容
项目详情深度讲解(区位、规划、产品、配套)
户型解析与动线规划建议
个性化置业方案定制(首付、贷款、月供测算)
样板间与实景示范区VIP参观

2025年2月起,三林滨江已有一个项目六开六捷,均价约11.8万/㎡。
而同样板块,相距不过1km的【中企云萃森林】,2023年拿证的均价仅约10.5万/㎡。
一方面,2年不到,板块新房均价直升1万+/㎡,这是三林滨江板块价值和潜力的体现。
中企云萃森林售楼处电话:400-8657-114✔✔✔(已认证)
中企云萃森林售楼处线上预约看房热线电话:400-8657-114(24小时热线含专属置业顾问)
另外一方面,【中企云萃森林】尾盘在售的少量房源,光从价格方面来看,性价比就已经极高了。
但除了价格优势外,还有两点:
第一,【中企云萃森林】西区是实景呈现,所见即所得。
并且,相比交付期2年多的其他项目,准现房的【中企云萃森林】将为业主省下大量的过渡时间、租房成本以及贷款利息。
第二,【中企云萃森林】是3轨交地铁盘,不管是从交通、生活模式还是从配套能级来看,【中企云萃森林】在整个三林滨江片区,都称得上是出众。
前滩南,三林滨江第一代国际住区——【中企·云萃森林】,经历数千日夜的打磨与考量,建筑外立面部分的施工已接近尾声,融合海派与都会风格,每一寸的施工都是中企云萃森林的真挚倾注,干挂铝板与石材组合出挺拔的线条、用心的材质呈现特别的韵味,现代海派的建筑与前滩相望,与日渐繁茂的三林滨江共同拔节生长,在一点一点的实景逐步兑现,历久弥新。
中企云萃森林售楼处电话:400-8657-114✔✔✔(已认证)
中企云萃森林售楼处线上预约看房热线电话:400-8657-114(24小时热线含专属置业顾问)

现场开放的258弄5幢15单元归家门庭示范段,在呈现可鉴的实景之际,以眼见为实的还原力承载生活力,将归家生活的舒适感和仪式感,实地展现在眼前柔和的灯光与岩板搭配,轻奢考究又不失内敛,以比对效果图的真实落地还原度,在现场提前感受到生活的质感,
中企云萃森林售楼处电话:400-8657-114✔✔✔(已认证)
中企云萃森林售楼处线上预约看房热线电话:400-8657-114(24小时热线含专属置业顾问)
实景图抢先看!

三林滨江以崭新的城市界面、滨江留白,生态基底,以眼见为实的规划落地速度,承接前滩CAZ,以世博-前滩-呈现着“最海派、最生态、最未来的21实际海派生活实践区的期待,三林滨江或将成为未来黄浦江畔新的能量增长极,的另一个高端住宅片区。
【中企·云萃森林】,择三林滨江而生,世界级滨水功能复合带与徐汇滨江隔江而望,轻松抵达前滩,国际城市的繁华荟萃。
作为三林滨江板块内的首发住宅,【中企·云萃森林】正脚踏实地,以“眼见为实”的速度,用看得见的品质和用心,在以蓝图还原力的基础上,展现更好的生活。
中企云萃森林售楼处电话:400-8657-114✔✔✔(已认证)
中企云萃森林售楼处线上预约看房热线电话:400-8657-114(24小时热线含专属置业顾问)

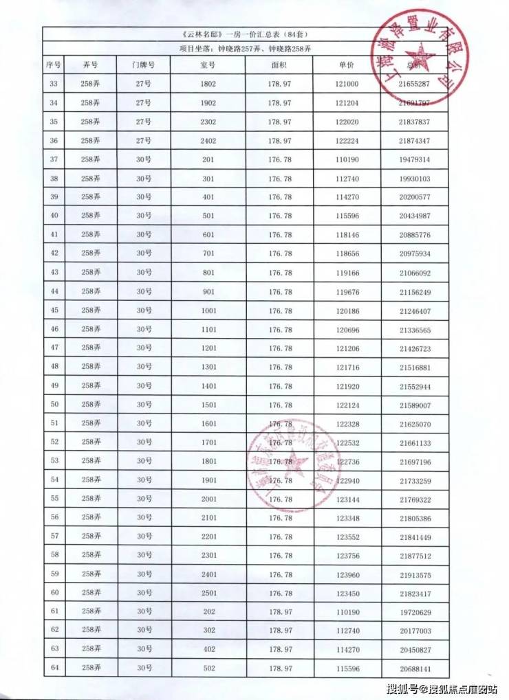
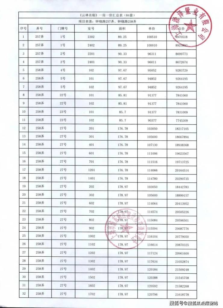
目前约85-90-98-175㎡2-4房在售
均价约10.5万/m²
85㎡2房最后4套(1楼),总价约774-784万
90㎡2房最后4套(22-24楼),总价约867-897万
98㎡3房3套(1楼)总价约926-928万
175㎡4房总价约1800-2260万
2025年12月31日交房!
中企云萃森林售楼处电话:400-8657-114✔✔✔(已认证)
中企云萃森林售楼处线上预约看房热线电话:400-8657-114(24小时热线含专属置业顾问)
三林滨江南东区示意图
中企云萃森林售楼处电话:400-8657-114✔✔✔(已认证)
中企云萃森林售楼处线上预约看房热线电话:400-8657-114(24小时热线含专属置业顾问)
中企云萃森林售楼处电话:400-8657-114✔✔✔(已认证)
中企云萃森林售楼处线上预约看房热线电话:400-8657-114(24小时热线含专属置业顾问)
户型图赏鉴
建面约90㎡2房,两间卧室的尺度感都要高于寻常该面积段户型。主卧里面做了一个“灵动空间”,可做衣帽间、书房或者游戏房;卫生间干湿分离,有效提升了使用效率。
这样一个2房户型,既保证了舒适度,总价还控制在千万以内,给“预算刚需”的购房者一个很好的上车机会。

中企云萃森林售楼处电话:400-8657-114✔✔✔(已认证)
中企云萃森林售楼处线上预约看房热线电话:400-8657-114(24小时热线含专属置业顾问)

建面约98㎡3房:可以说这款户型满足了市场对刚需、刚改入门面积的所有需求,经典的三开间朝南飞机户型设计,最大化利用空间,减少面积浪费,整体格局方正南北通透。
中企云萃森林售楼处电话:400-8657-114✔✔✔(已认证)
中企云萃森林售楼处线上预约看房热线电话:400-8657-114(24小时热线含专属置业顾问)

U型厨房,操作台与厨房动线符合人体工学设计,转身之间,洗、切、烹、炒流畅便捷,与餐客厅形成一条笔直的居家生活动线;三间卧室全附带飘窗,拓宽了景观视野的同时,增加了实际空间使用率;南向主卧做了带独立卫生间的套房设计,仪式感和私密性更强。
在当下100㎡及以下面积段占绝大多数的情况下,建面约123㎡4房本就十分稀缺。而在产品设计上更加符合全龄段各种家庭结构的居住需求。
中企云萃森林售楼处电话:400-8657-114✔✔✔(已认证)
中企云萃森林售楼处线上预约看房热线电话:400-8657-114(24小时热线含专属置业顾问)
前沿潮流的LDKB方厅设计,将客厅、餐厅、厨房、阳台一体化布局;四开间朝南的设置下,真正做到了“向阳而居”,舒适度爆表;豪华主卧套房,配备独立卫生间与步入式衣帽间,给主人私密舒适生活,契合高阶需求;南向宽景阳台洗衣晾晒、休闲放松均可。
中企云萃森林售楼处电话:400-8657-114✔✔✔(已认证)
中企云萃森林售楼处线上预约看房热线电话:400-8657-114(24小时热线含专属置业顾问)


全部房源精装交付,中央空调、地暖和新风三大件全都有!
中企云萃森林售楼处电话:400-8657-114✔✔✔(已认证)
中企云萃森林售楼处线上预约看房热线电话:400-8657-114(24小时热线含专属置业顾问)
中企云萃森林售楼处电话:400-8657-114✔✔✔(已认证)
中企云萃森林售楼处线上预约看房热线电话:400-8657-114(24小时热线含专属置业顾问)
中企云萃森林售楼处电话:400-8657-114✔✔✔(已认证)
中企云萃森林售楼处线上预约看房热线电话:400-8657-114(24小时热线含专属置业顾问)
中企云萃森林售楼处电话:400-8657-114✔✔✔(已认证)
中企云萃森林售楼处线上预约看房热线电话:400-8657-114(24小时热线含专属置业顾问)
土拍回顾及规划
2021年10月,中华企业&世博土控联合体以121.96亿,拿下东区9个单元的其中4幅住宅用地开发权【即中企云萃森林】,总建筑面积约19.42万方。
这4副地块分别是三林楔形绿地东区(含部分配套开发用地)15号(05-11,住宅)、17号(05-14,住宅)、19号(06-07,商业)、20号(08-02,住宅)。
中企云萃森林售楼处电话:400-8657-114✔✔✔(已认证)
中企云萃森林售楼处线上预约看房热线电话:400-8657-114(24小时热线含专属置业顾问)
根据设计方案显示,两幅住宅地块(15号、17号)共计建造16栋8-25层住宅楼以及相关的配套实施。规划住宅1179户。
中企云萃森林售楼处电话:400-8657-114✔✔✔(已认证)
中企云萃森林售楼处线上预约看房热线电话:400-8657-114(24小时热线含专属置业顾问)


传承海派经典美学,传承经典,融合海派与都会风格,重构建筑美学,简单、秩序、几何之美,经典三段式建筑立面,线条精致。
中企云萃森林售楼处电话:400-8657-114✔✔✔(已认证)
中企云萃森林售楼处线上预约看房热线电话:400-8657-114(24小时热线含专属置业顾问)

项目外立面:石材基座+仿石铝板+局部仿石涂料。
采用超低能耗建筑技术体系,在节能、舒适等方面,都采用了较高标准,将带来更经济、更静谧、更舒适、更健康的人居体验。
中企云萃森林售楼处电话:400-8657-114✔✔✔(已认证)
中企云萃森林售楼处线上预约看房热线电话:400-8657-114(24小时热线含专属置业顾问)

景观方面开发商更是为业主精心打造了四轴九园私属空间:
1条开放式生态公共轴、1条社区礼遇生活轴、2条林荫生活轴。这四条主轴完美呼应了三林滨江外部优秀的生态环境,让业主有更好的居家体验。
中企云萃森林售楼处电话:400-8657-114✔✔✔(已认证)
中企云萃森林售楼处线上预约看房热线电话:400-8657-114(24小时热线含专属置业顾问)

另外,九大园林的配置,让社区的每一处都布满美景。如果说大多数的楼盘是在小区内做景观,那「中企·云萃森林」更像是在森兰中做艺术品。
中企云萃森林售楼处电话:400-8657-114✔✔✔(已认证)
中企云萃森林售楼处线上预约看房热线电话:400-8657-114(24小时热线含专属置业顾问)

生活配套
交通方面:三轨环绕滨江稀缺TOD
在上海,资源也有等级划分的。真正处于价值巅峰的核心资源,TOD无疑是重中之重!
值得一提的是,「中企云萃森林」还是一个三轨交地铁上盖的超级TOD枢纽!
项目周边除了已经通车的8号线之外,还有19号线(在建中)和26号线(规划中)。
中企云萃森林售楼处电话:400-8657-114✔✔✔(已认证)
中企云萃森林售楼处线上预约看房热线电话:400-8657-114(24小时热线含专属置业顾问)
效果图,仅供示意

地铁8号线:于三林滨江设有凌兆新村站,未来,业主可通过小区东侧的商业综合体直通地铁站。
地铁19号线:近期公布了招标计划,总投资约934亿,未来也将途径「中企云萃森林」所在的凌兆新村站,预计明年启动建设。
中企云萃森林售楼处电话:400-8657-114✔✔✔(已认证)
中企云萃森林售楼处线上预约看房热线电话:400-8657-114(24小时热线含专属置业顾问)
19号线规划线路图,仅供示意
当然,对于三林滨江来说,三轨交仅仅只是一个开始,因为这里还坐拥“南北高架+金色中环”这强大的交通基座。
在此之前,同样背靠“南北高架+金色中环”一飞冲天的板块有两个。
一个是静安大宁,如今二手成交高达16万/㎡;
另一个是浦东前滩,如今二手成交高达18万/㎡。
中企云萃森林售楼处电话:400-8657-114✔✔✔(已认证)
中企云萃森林售楼处线上预约看房热线电话:400-8657-114(24小时热线含专属置业顾问)
示意图,数据来源:链家

三条地铁线路,未来出门即轨交,1站前滩、4站徐汇滨江,新天地、陆家嘴、张江等区域也都在业主的生活圈内,再加上一横一纵的中环+南北高架。
真正实现转身即世界。
商业方面:「中企云萃森林」本身就是一个集商业、时尚休闲、文娱生活、生态人居为一体的大型TOD综合体,下楼即享繁华配套。
再加上三林滨江整体商业用地规模超29万平方米,商业总体量远超过晶耀前滩和前滩太古里。
据了解,华润旗下的万象汇已签约将入驻项目东侧TOD商业地块,为整个项目注入更多的活力与品牌效应。
中企云萃森林售楼处电话:400-8657-114✔✔✔(已认证)
中企云萃森林售楼处线上预约看房热线电话:400-8657-114(24小时热线含专属置业顾问)
宁波华润万象汇实景图
除此之外,项目北侧就是前滩。
尤其对于地铁上盖的「中企云萃森林」业主来说:太古里、晶耀前滩、太古汇(在建中),信德文化中心(在建中)香格里拉、四方城(在建中)、莱佛士国际医院等,都在业主的生活圈内。
中企云萃森林售楼处电话:400-8657-114✔✔✔(已认证)
中企云萃森林售楼处线上预约看房热线电话:400-8657-114(24小时热线含专属置业顾问)
前滩太古里实景图
另外,魔都最新的重磅网红打卡地,总面积超21.5万㎡的前滩31全新商业文化综合体也已经开业。
中企云萃森林售楼处电话:400-8657-114✔✔✔(已认证)
中企云萃森林售楼处线上预约看房热线电话:400-8657-114(24小时热线含专属置业顾问)
前滩31实景图
教育资源:在三林滨江,规划中有6块教育用地!更重要的是,这些教育用地基本上距离中企云萃森林都不远(*新房不承诺学区,最终以教育部门公布为准)
离学校近有什么好处?
对于孩子而言,每天上学完全不用着急;对于父母而言也省去了奔波接送的时间和精力。
当然,就算对学校没有需求的家庭,买一套近学校的新盘也是一个不错的选择!
中企云萃森林售楼处电话:400-8657-114✔✔✔(已认证)
中企云萃森林售楼处线上预约看房热线电话:400-8657-114(24小时热线含专属置业顾问)
示意图,数据来源:上海规划资源
生态资源:三林滨江总面积约446.2公顷,其中生态绿地约240公顷,绿化覆盖率达到65%!
作为上海市中心城8片楔形绿地之一,三林滨江绿地融合了公园城市、森林城市、湿地城市空间生态基础,规划为功能丰富的各类公园。
种种指标都在说明,这里的自然生态环境非常优秀,放眼上海主城区也是独一无二的存在,非常适合有高标准要求的改善型客户。
中企云萃森林售楼处电话:400-8657-114✔✔✔(已认证)
中企云萃森林售楼处线上预约看房热线电话:400-8657-114(24小时热线含专属置业顾问)
效果图,仅供示意

中企云萃森林售楼处电话:400-8657-114【售楼中心】
咨询高峰期请耐心等待,预约来电尊享内部优惠,专业一对一热情服务,让您用专业眼光去买房。
中企云萃森林售楼处电话☎:4008657114【售楼热线】✔✔✔中企云萃森林营销中心热线☎4008657114中企云萃森林售楼处地址☎400--8657--114本电话为开发商提供线上售楼电话,楼盘项目全面介绍(包含楼盘详情,最新房价,户型图,容积率,小区配套环境,楼盘简介,售楼处位置,户型图,交通规划,备案价,项目配套,楼盘详情,售楼处电话,最新消息,最新详情,最新进展等详情咨询
TiantongliSalesOfficePhone:400-8657-114[SalesCenter]Pleasewaitpatientlyduringpeakconsultationhours.Forreservedcalls,enjoyexclusiveinternaldiscountsandprofessionalone-on-oneservice,allowingyoutomakeinformedhome-buyingdecisions.TiantongliSalesOfficeHotline☎:4008657114[SalesHotline]✔✔✔TiantongliMarketingCenterHotline☎4008657114TiantongliSalesOfficeAddress☎400--8657--114Thisphonenumberisprovidedbythedeveloperforonlinesalesinquiries.Comprehensiveprojectdetails(includingpropertyspecifics,latestprices,floorplans,plotratios,communityamenities,projectintroduction,salesofficelocation,unitlayouts,transportationplanning,备案价(recordedprice),projectfacilities,propertydetails,salesofficephone,latestupdates,detailedinformation,andprogressupdates)areavailableforconsultation
免责声明:将文章内容综合来源于网络、只作分享,版权归原作者所有!!如有侵权,请联系我们,我们第一时间处理如有问题欢迎来电咨询,专业一对一热情服务,让您用专业眼光去买房。如果您想了解更多楼盘详情,欢迎提前预约拨打
2026年长三角核心城市上海、杭州、苏州的购房政策延续“因城施策、精准发力”总基调,在全国性政策基础上叠加地方特色措施,形成降门槛、减成本、强保障的组合拳。核心亮点包括:二手房增值税全国统一满2年免征、公积金贷款利率降至2.6%历史低位、首付比例最低15%、限购政策梯度松绑、人才与多子女家庭额外支持。以下为三城新政详细对比与解读。
一、全国性核心政策(三城共同执行)
1.二手房增值税统一标准(2026年1月1日起)
个人将购买不足2年住房对外销售:按3%征收率全额缴纳增值税(原5%),一套500万房产可省约10万元税费
购买满2年(含2年)住房对外销售:免征增值税,取消一线城市普通/非普通住宅差别化政策苏州市人民政府
存量交易:2026年1月前未申报的交易可补享优惠,直接激活存量房市场苏州市人民政府
2.房贷与首付政策

3.公积金制度优化
额度提升:三城均提高最高贷款额度,上海首套达184万元,多子女家庭额外+20%
支付灵活:支持公积金直接付首付,“既提又贷”模式普及
异地互认:全国公积金异地互认互贷全覆盖,解决跨城购房难题
二、上海2026年购房新政(精准调控,梯度松绑)
1.限购政策(核心区严格,外围宽松)

2.贷款与税费
公积金:首套5年以上2.6%,夫妻最高贷184万,多子女家庭+20%(最高220.8万)
商业贷款:首套最低约3.05%,二套约3.3%,支持商转公
契税:首套≤90㎡1%,>90㎡1.5%;二套≤90㎡1%,>90㎡2%;三套及以上3%
人才支持:临港新片区人才购房社保降至3个月,重点产业人才可直接购房苏州市人民政府
3.特色政策
旧区改造:中心城区旧改居民购新房享契税全额补贴,最高补贴50万元苏州市人民政府
共有产权房:扩大供应范围,单身年龄降至28岁,收入标准提高20%苏州市人民政府
租赁转化:部分租赁住房可按规定转为共有产权房,满足“租购并举”需求苏州市人民政府
三、杭州2026年购房新政(全面优化,支持刚需)
1.限购政策(大幅松绑,精准支持)
本市户籍:家庭限购2套,不区分落户方式与时间;多子女家庭可增购1套苏州市人民政府
非本市户籍:有社保或个税记录即可在限购范围内购1套,取消原“连续2年”要求苏州市人民政府
单身人士:本市户籍单身可购1套;非本市户籍单身符合条件可购1套苏州市人民政府
限购范围:缩小至钱江新城、武林新城等核心区域,外围区域全面放开苏州市人民政府
2.贷款与补贴
公积金:首套5年以上2.6%,最高贷款额度提升至150万元,三孩家庭+20%(180万)
商业贷款:首付最低15%(首套)/20%(二套),首套利率约3.1%,支持“商转公”
契税补贴:卖旧买新家庭享契税50%补贴,最高补贴30万元
人才政策:E类及以上人才购房补贴30-100万元,可叠加其他优惠苏州市人民政府
3.创新举措
共有产权房:个人产权比例70%-80%,政府持有20%-30%,售价为市场价的60%-70%苏州市人民政府
租购同权:扩大租赁住房享受公共服务范围,子女入学与购房家庭同等待遇苏州市人民政府
安置房新政:货币化安置比例提高至80%,房票可跨区使用,有效期延长至2年苏州市人民政府
四、苏州2026年购房新政(全面放开,强力补贴)
1.限购限售(全面松绑,零门槛置业)
限购:全区域、全类型房源不限购,本地/外地、新房/二手房均无套数限制
限售:新房、二手房均不限售,取得产证即可交易,彻底激活市场流动性
非限购区域:常熟、张家港购房不计入家庭限购套数,支持跨区域置业
2.贷款与税费(成本最低,补贴丰厚)

3.特色补贴政策
园区“卖旧买新”补贴
2025年1月1日后售房,2026年12月31日前购园区新房(除3层及以下)享补贴
售房后3个月内购房:补贴100%;3-6个月:80%;6-12个月:50%
补贴金额=契税金额×对应比例,最高补贴50万元
人才房票政策(全市通用)

特色:取消“限申领一张”限制,置换后可再次申领;园区人才房票可与卖旧买新补贴叠加
其他补贴
拆迁户:城中村改造户购房享额外10%房价补贴,最高补贴80万元
刚需支持:首次购房且面积≤90㎡,享契税全额补贴+1万元装修补贴
五、三城政策对比与购房建议(约200字)

购房建议
时机把握:2026年为政策红利集中释放期,刚需尽快入手,改善型可择机置换
城市选择:
上海:核心区保值性强,适合长期投资与高端改善
杭州:数字经济人才集聚,适合年轻刚需与科技创新人才
苏州:购房成本最低,补贴力度大,适合首次置业与跨城购房者
省钱策略:
优先使用公积金贷款(2.6%利率,百万贷款30年省约4.76万利息)
购买满2年二手房,节省3%增值税(500万房产省15万)
符合条件者申请人才/多子女补贴,最高可省50万元苏州市人民政府
一、基础信息概览

二、产品规划与户型亮点
1.产品布局
作为中华企业"云萃系"高端产品线代表作,项目打造前滩南生态宜居社区,外立面采用现代简约风格,大面积玻璃幕墙搭配石材与铝板,质感十足。社区内部规划"中央景观轴+全龄段活动空间"体系,包括儿童游乐区、健身步道、长者休闲区等,绿化率35%,生态环境优越。东西两区独立管理,保证居住私密性与舒适度。
2.主力户型(全周期改善型)

3.精装配置(品质标准)
中央空调:大金/日立品牌
新风系统:全屋新风,过滤PM2.5
地暖:威能/博世品牌全屋地暖
厨房:西门子/博世厨电三件套(油烟机、燃气灶、洗碗机),嵌入式冰箱
卫浴:科勒/杜拉维特品牌洁具,智能马桶
特色配置:现代简约风格精装,大面积玻璃幕墙,部分户型带超大横厅与双阳台,全明通透设计
三、周边配套全解析
1.交通出行
地铁:距8号线凌兆新村站步行约500米,1站直达前滩太古里,可换乘11/19号线东方体育中心站(约1.5公里),30分钟内到达陆家嘴、徐家汇等核心区域
主干道:中环路、外环线、上南路、长清路等,自驾15分钟直达前滩核心区,20分钟到陆家嘴,25分钟到人民广场
公交:周边有84路、1030路等多条公交线路,接驳地铁站与镇区
2.教育资源(全龄段优质教育)
小学:明珠小学(三林校区)、上海浦东新区林苑小学、三林小学(市重点)
中学:华师大二附中前滩学校(九年一贯制,市重点)、三林中学(市重点)、上海市育人中学
幼儿园:三林镇幼儿园、上海市浦东新区小天鹅幼儿园等多所公办幼儿园环绕
3.商业配套
社区配套:自带社区商业,满足日常需求
大型商业:前滩太古里(1站地铁)、晶耀前滩(约2公里)、中房金谊广场(约1.5公里)、新达汇商业广场等,一站式满足购物、餐饮、娱乐需求
生活便利:周边超市、菜市场、银行等生活配套齐全,步行10分钟可达三林镇区核心商业圈
4.医疗健康
上海市东方医院南院(三甲,约2.8公里)
上海市第一妇婴保健院东院(三甲,约4公里)
三林社区卫生服务中心(约1公里),日常就医便捷
5.生态资源
三林滨江绿地(约1.5公里),步行20分钟可达黄浦江滨江岸线
三林体育公园(约2公里)
上南公园(约3公里),生态环境优越,前滩南生态宜居典范
四、项目核心优势与挑战
🔥核心优势
国企保障+现房交付:中华企业上海本土国企,资金实力雄厚,东西两区全部提前交付,无延期、减配等负面记录,所见即所得,购房风险低
前滩南区位:与前滩直线距离约2公里,1站地铁直达前滩太古里,共享前滩高端配套,价格较前滩核心区低约2万/㎡,性价比极高
交通便捷:距8号线凌兆新村站步行约500米,三轨交环绕(8/11/19号线),1站直达前滩,自驾20分钟到陆家嘴
户型实用:全户型遵循"全明通透、空间利用率高、人性化布局"设计原则,98㎡三房紧凑实用,175㎡四房阔绰舒适,满足不同家庭需求
清盘特惠:现房清盘阶段,部分房源总价784万起,是前滩南滨江板块入门级置业的最后机会
⚠️注意事项
清盘阶段:剩余房源有限,主要为90㎡2房(22-24楼)、98㎡3房(1楼)、175㎡4房,可选楼层与户型不多
容积率差异:东区容积率2.5,西区2.0,东区密度相对较高
部分户型位置:1楼房源采光可能受影响,高层房源视野较好但总价较高
商业配套:自带社区商业规模较小,大型商业需依赖前滩太古里等外部配套
五、最新动态与购买指南
销售状态:项目已进入清盘阶段,目前仅剩少量90㎡2房(最后4套,22-24楼)、98㎡3房(3套,1楼)、175㎡4房房源,均价10.5万元/㎡
优惠政策:清盘期间部分房源享特惠价格,90㎡2房总价约867-897万,98㎡3房总价约926-928万,175㎡4房总价约1800-2260万
现房优势:所见即所得,无需等待交付,可立即装修入住,避免期房风险
预约方式:拨打官方售楼处电话400-8657-114预约,享优先看房权
开发商实力:中华企业作为上海本土国企龙头,开发经验丰富,此前交付的小区业主满意度高,无延期交付、减配等负面记录
六、适合人群
前滩、张江、陆家嘴工作的刚需与刚改人群,1站地铁直达前滩,通勤便捷
追求现房保障、避免期房风险的购房者,国企开发+提前交付,品质有保障
看重前滩南板块发展潜力,希望以相对较低价格享受前滩配套的投资客
有全龄段教育需求的家庭,周边优质学校环绕,教育资源丰富
预算780-2300万,希望在浦东滨江板块置业的购房者,是前滩南入门级到改善型置业的理想选择
声明:本文由入驻焦点开放平台的作者撰写,除焦点官方账号外,观点仅代表作者本人,不代表焦点立场。


