【海上清和玺官方售楼处】首页_海上清和玺销售中心欢迎您|环境/户型/价格/地址/交房时间/配套全解析
扫描到手机,新闻随时看
扫一扫,用手机看文章
更加方便分享给朋友
上海徐汇海上清和玺售楼处电话:400-8118-224 (预约看房热线)
【海上清和玺官方售楼处咨询热线】400-8118-224(24小时服务,人工客服8:00-22:00)
▸海上清和玺售楼处地址:上海市徐汇区长桥路218弄(看房请提前预约)

▸ 开放时间:每日9:00-19:30(含节假日)
▸VIP LINE 400-8118-224 | 官方唯一咨询热线
【温馨提示】本项目唯一官方联系方式,看房请提前预约!现场销售接待!谨防中介虚假信息!
海上清和玺
徐汇中环唯一新房供应
建面约112-120㎡3房
加推5号楼最后收官之作
均价约110650元/㎡精装修交付
另前期少量112-177㎡3-4房
均价11.28万/㎡总价1000万起
售楼处线上提前预约

上海徐汇海上清和玺售楼处电话:400-8118-224 (预约看房热线)
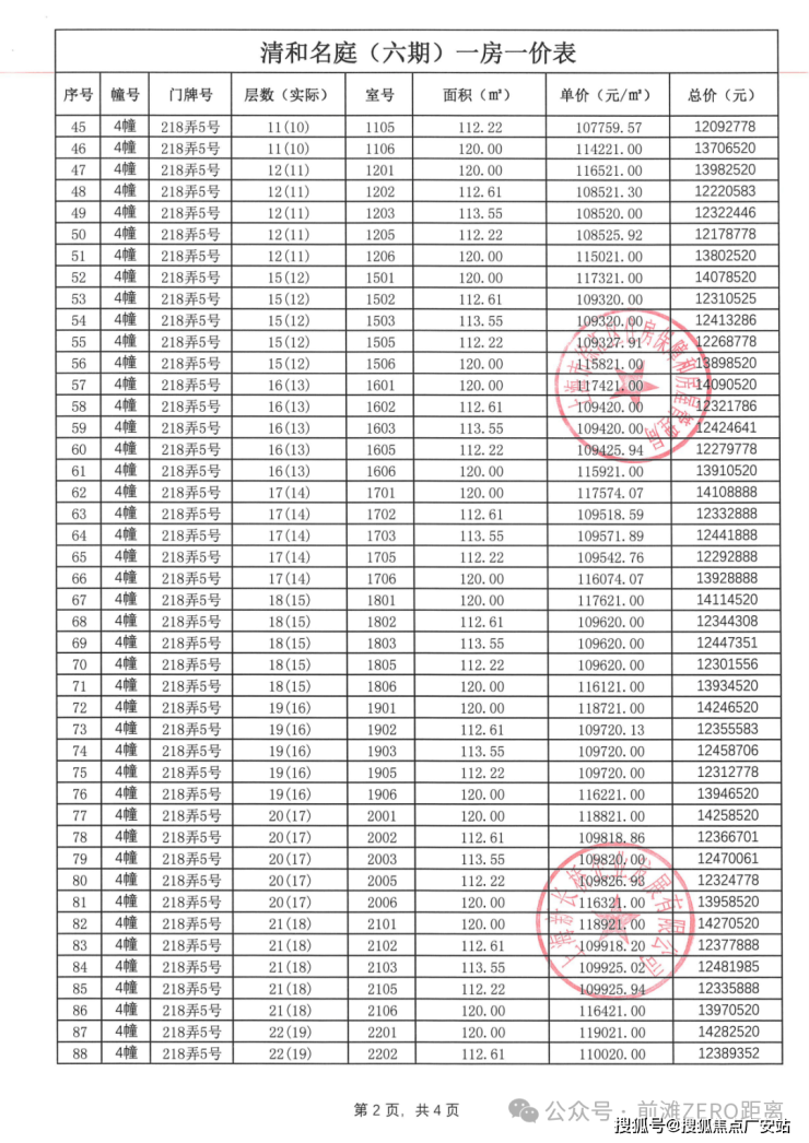
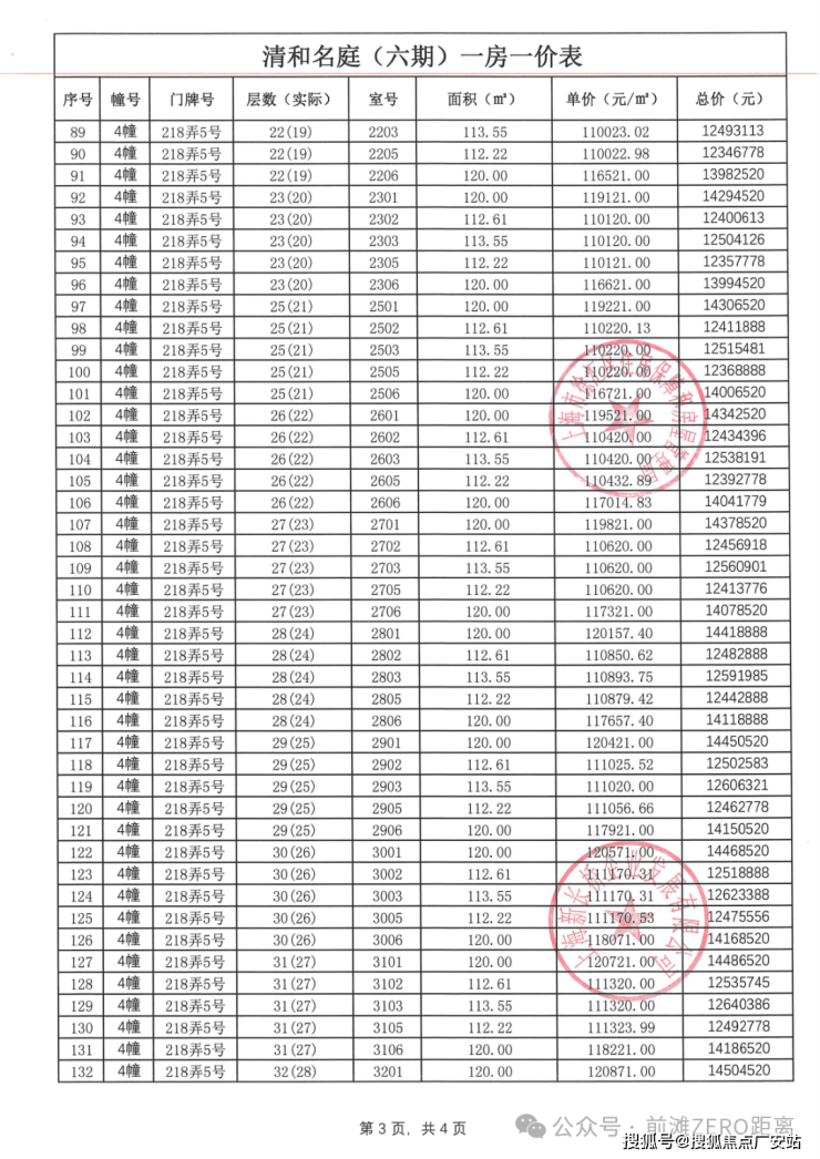
海上清和玺一房一价表▼




上海徐汇海上清和玺售楼处电话:400-8118-224 (预约看房热线)


项目区位介绍
徐汇长桥,一段跨越860年的时代往事,由此娓娓道来.【海上·清和玺】源自百年「清和」的传承.长桥因桥而名,公元1163年南宋隆兴年间,长桥时名“清和桥”,迄今已有860多年历史,从历史到现在,一座桥见证历史的变迁,记录上海城市巨变的缩影.后因清和桥之南属于华亭县,桥之北属上海县,清和桥横跨两县,民间又称之为“长桥”.这也是长桥港、长桥镇得名的由来.

图片来源于网络
时间潮去,时代潮来,“清和”虽留驻于历史,但“清和”的美好期盼依旧流淌于老徐汇人的心田.楚辞《九思·伤时》中提到“声噭誂兮清和”,“清和”寓意着清静和平,社会升平.正如今天的长桥,岁月静好温润如初.当目光穿越时间,海上清和玺,正是一次百年长桥源址的续写,一次海派在地文化的薪火传承.
【海上·清和玺】基于百年长桥在地文化的传承,以海派历史为底蕴,在过于与未来之间,奢享一座城市罕有的文脉资产.

项目基本信息
玺系,是招商蛇口的至高产品系,皆为“一玺一定制”.项目售楼处&实景展示区开放在即,在开放前夕,来看看其产品打造有哪些亮点.

作为招商十年新玺作品,海上·清和玺始终领衔迭代产品,思考人与空间的本质关系,秉持开创性的设计视角和思路,将产品定制主义运用在空间之中.
【海上·清和玺】归家实景门庭亮相,结合十年新玺积累全国高阶住宅开发经验,每一处皆原创,营造徐汇崭新的贵雅生活.希望业主真正归家的时刻,能时刻保持心动感.
归家奢境超50米非凡尺度

在设计之初,海上·清和玺从传统场域出发,在标准中重新定制.归家门庭贵雅三景,从设计创意到用材细节从公区配置到产品打造,为徐汇呈现真正的“贵雅生活殿堂”.‘
大手笔!全域风雨连廊!
或许碍于成本,风雨连廊其实在豪宅中出现的频率也非常低.
而海上·清和玺将风雨连廊扩容为一个完整的归家体系,将整个社区以约500米全域连廊体系贯通,真正做到全楼栋无风雨归家.


项目效果图过程稿,以实际交付为准
金石玉彻奢材波澜清泉水景
【海上·清和玺】空间采用奢材定制,将品质延续到每个细节中.门庭延街的外立面,以精工定制弧形贝金米黄大理石为主调,镶嵌典藏级老虎玉大理石,点缀古铜色现代海派艺术感灯器.整体呈现一种流转于百年海派的贵雅气质.
在门庭外,辅以两侧具有仪式感的跳泉水景,将建筑的圆弧美感与自然水景相合,共同构成海上·清和玺“贵雅清和”的城市界面.

对称式环岛景墙奢石镶嵌
步入到整个门庭环岛空间,整个景墙的设计同样考究墙面采用中轴对称的设计布局,定制了奢石镶嵌装饰将曲面艺术与经典石器之美圆融交融,形成独一份的视觉震撼.

酒店式环岛落客海派漩心
酒店式归家环岛的中心,海上·清和玺原创设计了艺术装置,海派漩心.首创经典山茶花图腾设计,其装饰符号源于海派建筑中的山茶花图腾,设计师通过现代的手法将其以立体的方式重塑在环岛落客空间.
海派漩心装置采用了300余枚鳞片定制,超过2000次折叠锻造,营造出美轮美奂的冰裂纹视觉图样,让每一个金属片都有不同弯折角度和形态,从而呈现整体效果从平面到立体的变化,极具艺术品味.

上海徐汇海上清和玺售楼处电话:400-8118-224 (预约看房热线)
其底部精心设计了流通的波澜水景,宛若一座曼妙的山茶花生长于泉水之上,熠熠生辉.
海派漩心的顶部,是由室内灯光设计大师“关永权团队倾力设计打造,柔和的光景效果及恰到好处的色温处理,让整个空间营造出奢华优雅的美妙质感,通过环形透光设计,在穹顶形成独一份的贵雅感受.漫步灯光之下,如同走过时间的美妙殿堂.

【海上·清和玺】希望业主的每一次归家,都能有属于自己的社交空间.整个前厅的接待空间不是一个过渡空间,而是一个真正为归家营造惬意分享的生活场.
海派设计殿堂质感
整个室内空间由G.ART集艾主创设计大师李阳先生倾力设计,将百年徐汇的经典文化融为建筑语言,生动地写入场景之中.
预接待厅门头源于招商局出资创办的原南洋公学(现在上海交大)三段式建筑造型.优美、经典的软装风格定制无不彰显着生活的品味,天花板定制了细腻入微的deco设计细节,地面瓷砖采用威尼斯白与爵士白石材拼花设计,纯人工铺装保证花纹的奢华质感,壁面装饰的水品灯,选用高规格的E9级进口水晶制作,真正将海派设计融入生活.

艺术点缀随手出圈
【海上·清和玺】保持对徐汇滨江艺术生活的充分理解,整个接待厅堂处处可见出片打卡的贵雅瞬间,礼宾接待台与装饰圆满融合,角落美陈亦匠心独运,整体设计采用整石雕琢,于细微中领略建筑背后的艺术内在.在这里,空间让渡于品味,引领人们对生活有全新的理解和发现.

奢感勾勒海派光厅
从室内走出室外,宛若一次穿梭百年海派艺术的旅行.甚至触碰的门面,都有源自徐汇历史深处的浓厚艺术中庭的大门设计为“海派光厅”,其玻璃镜面由匠人手工绘制经典海派线条,邬达克经典的纹路设计嵌于表面,同时墙面同样定制了优雅的奢石装饰,让整个空间的布局既有历史的风韵,也有现代的奢华.

千里苛觅福木紫薇
景观造园,不只局限于对自然场景的铺陈,更应考虑自然能带给人的生活变化.真正的奢宅拥有的是文化内在.海上·清和玺考究历史,从典籍中发现生的灵感,设计师考究历史中的大宅建造规制,提取“浓荫庇宅”的传统理念,辗转城市之间,从华东,西南,华中区域访查搜寻,终于寻得树龄超60年的福木“紫薇”.
天上紫薇星,地上紫薇花.紫薇不仅寓意美好,更完美的呈现了红润、朝气的自然色彩,巧妙的点缀其中,形成盛夏如火的独有景观.

造价近百万土耳其进口奢材老虎玉庭院
传统下沉庭院只为社区营造休憩场所,海上·清和玺真正将庭院从传统的定义中跳脱出来,试图将庭院打造成一件俊美的“工艺品”.
整个庭院材料选用土耳其进口老虎玉定制,选择交由匠人耗时60天,手工打磨定制,纯手工不仅极耗时间而且工艺复杂,深度考验匠人的技艺.海上·清和玺希望在产品的最终呈现上,能真正还原一个有温度的庭院将匠心融入场域之中,真正为每一位业主营造“休憩品书”的贵雅瞬间.仅仅这一方庭院价值就已近百万,可见海上·清和玺对业主归家仪式感设计的用心与苛求.

垂直会所体系
据沪上好房统计,近两年10万+/㎡新房中,配备会所的楼盘仅十之一二,会所面积约800-1500㎡,内容以会客厅和健身房为主,少数有泳池.(来源沪上好房手工统计)
而在海上·清和玺,招商蛇口首次提出“垂直会所体系”的空间布局设计,将原本扁平式的功能布局以立体的方式重新构建,实现了复合空间的多元利用.
其中会所及架空层总体量约3000㎡,如此大规模的定制,在整个上海高阶产品中同样也是超前列的存在.

约2000㎡地下会所内含璀璨星空顶泳池、私宴厅、室内高端健身器材(沃特罗伦或同等档次品牌)甚至高尔夫场所(高尔夫尊或同等档次品牌).
还有七大泛会所,作为业主生活的延伸.


项目效果图过程稿,以实际交付为准
从实景归家到功能设计公区奢宅化重新界定场域的价值所在
在产品颜值的高水准定制之外,在海上·清和玺的视角里,希望打破原有的空间定制思路,将传统高阶住宅的打造理念运用到公区,重新定义公区功能及体验感.
上海徐汇海上清和玺售楼处电话:400-8118-224 (预约看房热线)
项目推售详情
据悉,【海上·清和玺】即将收官,少量建面约112-177㎡3-4房改善大宅可直接认购!均价110650元/㎡!总价1000万起!样板间开放中!
海上清和玺项目全套户型鉴赏:
建面约112㎡3房2厅2卫▼

建面约112㎡样板间实拍▼
建面约112平三房为标准的三开间户型,设计上将传统的过道改为餐厅空间,将公共区域做大了,也减少了浪费;S墙设计将冰箱空间外移,厨房空间更宽裕.
入户这座铸铝门,质感厚重;通顶玄关柜,内置消毒精灵,奢石把手+奢石台面更显海派温润气质,玄关地面都铺上了海上·清和玺的logo拼花,小小玄关做到了既实用又美观.
进门可以看到经典的S墙设计,L型厨房操作台面,也是暗藏不少细节——玻璃移门采用完美系列夹丝玻璃+金属造型边框,顶部配置线性凉霸+LED嵌入式回形灯带+筒灯,灶台后侧采用大面积岩板铺设,方便清洁的同时显得厨房更加大气.
厨电配置了德国厨房顶奢品牌博世(或同等档次)四件套抽烟机+燃气灶+洗碗机,带末端净水器,弗兰卡(或同等档次)大单槽+可抽拉龙头,冰箱也是交付的!

柜门白色烤漆面板,抽屉分区也都是帮大家细致划分,如多功能调味拉篮+谷物抽+碗碟拉篮等.岛台上配置可升降插座,铝合金抽屉,石材背景板的金属开放格实用性很强.
电视背景墙采用卡慕白的石材+皮革造型,弧形吊顶,相当讲究,连空调出风口的形状都打造为海上·清和玺logo山茶花的形状~~三大件为大金(或同等档次)中央空调和地暖,新风系统为百朗(或同等档次),南向阔景阳台,采光视野一级棒!
上海徐汇海上清和玺售楼处电话:400-8118-224 (预约看房热线)
主卧套房设计,皮革造型的床背景墙也是交付标准,台盆为唯宝(或同等档次)、龙头则为科勒(或同等档次)复古龙头,马桶为高仪智能马桶(或同等档次).
奢石台面,皮革饰面柜抽屉,侧端设置金属收纳开放格;定制镜柜,中间的透光玉石直接提升了高级感,镜柜内部配备了美妆冰箱+美妆灯条+轨道收纳!
建面约120㎡3房2厅2卫▼
建面约120㎡的户型,定制LDKB一体化宽厅,更舒适的功能定制,270°转角窗观景套房设计,实现了居住品质与观景的完美结合.
建面约134㎡3房2厅2卫▼

建面约134㎡的户型,全屋动静分离设计,餐客一体化,预计客厅面宽超4.7米配以270度采光阳台,舒适度直接拉满;玄关设置S墙、厨房预留岛台位置,促使空间利用度更加合理;主卧面宽预计超3.6米,配以270度飘窗.
建面约143㎡4房2厅2卫▼

建面约143㎡的户型,除了本身稀缺性之外,产品设计也有诸多亮点:
1、全生命周期产品,四房两卫满足家族式需求
2、类一梯一户,舒适独立入户空间
3、南向四开间,面宽约15.5m,独立餐客厅,南北通透
4、是徐汇唯一2000万左右能买到四房的新盘
以「全生命周期住宅」为核心理念,海上·清和玺洋房以四房两卫的家族式空间布局,精准匹配多代共居的进阶需求,以「类一梯一户」的私密设计,重塑归家礼仪的尊崇感.
户型设计上约15.5米南向四开间,以大开大合的格局重构空间美学与功能的平衡.独立餐客厅南北贯通,舒适通透十足,同时6-7层低密真洋房形态,打破传统高层压抑感,将光照提升至极致.无论是三代同堂的欢声笑语,抑或私密静谧的独处时光,皆能在此找到理想载体.
建面约177㎡4房2厅3卫▼
上海徐汇海上清和玺售楼处电话:400-8118-224 (预约看房热线)建面约177㎡户型,是楼王户型,总价约2300-2500万级,改善一步到位,后续再无!阔朗的四开间朝南设计+双套房设计,保证不同家庭成员起居的私密性.
客餐厅尺度阔绰,方正大气,自带曲面流体的阳台.主卧带转角飘窗,主卫浴缸+双台盆设计,非常尊崇!
项目周边配套
徐汇滨江,时代潮头;汇聚城市的领先势能;从过去到现在.历史在我们脚下,时代在我们眼前.
上海沿江而兴,滨江始终潮头.入主徐汇滨江,是上海人共有的向往.海上·清和玺所处板块,正值徐汇滨江1英里.自上海取消土地联动价后,首个高溢价地王“小米地块”选址徐汇滨江,7家品牌房企竞逐该地块,最终被绿城以总价约48亿元夺得,楼板价13.1万元/平方米,溢价率触及最高限制,达到30%,可见徐汇滨江的市场热度之高.而区别于徐汇滨江北段的置业高门槛,徐汇长桥所处地理位置,承徐汇滨江的发展浪潮,一枝独秀.
徐汇滨江热度之高,是得益于远瞻世界的战略规划,徐汇滨江打造“世界卓越水岸”,规划有百万方规划组团.徐汇滨江迄今已规划六个百万方组团,聚焦⼀港、⼀⾕、⼀城、⼀场、⼀湾、⼀心的六个百万⽅空间布局(⻄岸⾦融城、⻄岸数字⾕、⻄岸数智中心、⻄岸传媒港、⻄岸热⼒秀场和⻄岸⽣命蓝湾),而第七大组团“中央公园”,完美覆盖海上·清和玺所在上海植物园区域,未来将无界链接城市生态资源,促进徐汇滨江与城区无界融合、兑现徐汇滨江的高质量发展.
信息来源于网络

从徐汇开发趋势来看,徐汇向南延伸已成态势.近年来,徐汇作为热门的主城板块,住宅土地供应日渐紧张.随着内徐汇向南延伸,徐汇滨江以绝对实力承接了内徐汇的高单价,而随之南向开发的不断深化,上海南站区域暂无新房供应,而更靠近滨江的长桥板块相较之靠近徐汇腹地的田林、南站板块置业门槛更低,是典型的土地发展红利期.
信息来源于网络

上海徐汇海上清和玺售楼处电话:400-8118-224 (预约看房热线)
【海上清和玺官方售楼处咨询热线】400-8118-224(24小时服务,人工客服8:00-22:00)
▸海上清和玺售楼处地址:上海市徐汇区长桥路218弄(看房请提前预约)
▸ 开放时间:每日9:00-19:30(含节假日)
▸VIP LINE 400-8118-224 | 官方唯一咨询热线
【温馨提示】本项目唯一官方联系方式,看房请提前预约!现场销售接待!谨防中介虚假信息!
【房地产知识小科普!】
1、什么是房产:房屋产权的简称.
2、什么是地产:是指土地财产.
3、什么是房地产:是房产和地产的总称.
4、什么是房地产业:从事房地产开发、建设、经营、管理以及维修、装饰和服务的综合性产业.
5、什么是房地产开发:是指在依法取得土地使用权的土地上按照使用性质的要求进行基础设施、房屋建筑的活动.
6、什么是土地开发:是将“生地”开发成可供使用的土地.
7、集体土地是指:农村集体所有的土地.
8、征用土地是指:国家为了公共利益的需要,可依照法律规定对集体所有的土地实行征用.
9、什么是土地所有权:是指国家或集体经济组织对国家土地和集体土地依法享有的占有、使用、收益和处分的权能.
10、什么是土地使用权的出让:指国家以协议、招标、拍卖的方式将土地所有权在一定年限内出让给土地使用者,由使用者向国家支付土地使用权出让金的行为.
11、什么是土地使用权转让:是指土地使用者通过出售、交换、赠与和继承的方式将土地使用权再转移的行为.
12、什么是地籍、产籍:是对在房地产调查登记过程产生的各种图表、证件等登记资料,经过整理、加工、分类而形成的图、档、卡、册等资料的总称.
13、生地是指:不具备开发条件的土地.
14、熟地是指:已完成三通一平(水、电、道路,土地平整)或七通一平,具备开发条件的土地.
15、什么是宗地:是地籍的最小单元,是指以权属界线组成的封闭地块.
16、什么是宗地图:是土地使用合同书附图及房地产登记卡附图.它反映一宗地的基本情况.包括:宗地权属界线、界址点位置、宗地内建筑位置与性质、与相邻宗地的关系等.
17、证书附图是指:房地产后面的附图,主要反映房地产情况及房地产所在宗地情况.
18、什么是物业管理:泛指一切有关房地产开发、经营、商品房销售、租赁及售后服务.
19、什么是业主委员会:是在物业管理区域内代表全体业主实施自治管理的组织.是代表物业全体业主合法权益的社会团体,其合法权益受国家法律保护.
20、业主委员会是如何产生的:由业主大会从全体业主中选举产生.
21、住房补贴是指:国家为职工解决住房问题而给予的补贴资助.
22、房屋的所有权是指:对房屋全面支配的权利.
23、房地产交易的两种主要形式是:地产交易形式与房产交易形式.
24、建筑物是指:人工建造而成的房屋和构筑物.
25、构筑物是指:建筑物中除房屋以外的东西.
26、什么是期房:是指消费者在购买时不具备即买即可入住的商品房.
27、期房是如何界定的:房地产开发商拿到商品房预售许可证开始至取得房地产权证(大产证)或竣工验收合格可以直接入住使用为止.
28、什么是预售合同:消费者在购买期房时签定的销售合同.
29、什么是现房:是指消费者在购买时具备即买即可入住的商品房,即开发商已办妥所售的商品房的大产证(或已经竣工验收合格并交付使用)的商品房.
30、什么是毛坯房:房地产商交付屋内只有门框没有门,墙面地面仅做基础处理而未做表面处理的房叫毛坯房.
31、什么是成品房:是指对墙面、天花、门套、地板实行装修.
32、什么是商品房:是指以完全的市场价格向购房者出售的房子.
33、商品房预售是指:在房地产尚未建成以前,房地产的经销商在取得受买人一定数量的定金后,将期房出售给受买人.
34、商品房现售是指:指房地产开发企业将竣工验收合格的商品房出售给买受人.
35、二手房通常指的是:再次进行买卖交易的住房.
36、经济适用房指的是:面向中低收入家庭的普通住宅.
37、例出3种以上的安居房的种类:准成本房、全成本房、全成本微利房和社会微利房.
38、低层住宅的界定:1-3层的住宅.
39、多层住宅的界定:4-6层的住宅.
40、小高层住宅的界定:7-11层的住宅.
41、中高层住宅的界定:12-16层的住宅.
42、高层住宅的界定:16层以上为高层住宅.
43、超高层建筑的界定:总高度超过100米的建筑.
44、商品房的结构是指:房屋主体所使用的施工工艺和用材.
45、钢结构的意思是:承重的主要结构是用钢材料建造的,包括悬索结构.
46、钢混结构的意思是:承重的主要结构是用钢和混凝土建造的.
47、砖木结构的意思是:承重的主要结构是用砖、木材建造的.
48、砖混结构的意思是:主要是砖墙承重,部分是钢盘混凝土承重的结构.
49、框架结构的意思是:以钢筋混凝土浇捣成承重梁柱,再用预制的隔墙分户的结构.
50、开间指的是:一间房屋内一面墙的定位轴线到另一面墙的定位轴线之间的实际距离.
51、进深指的是:一间独立的房屋或一幢居住建筑内从前墙的定位轴线到后墙的定位轴线之间的实际长度.
52、层高指的是:下层地板面或楼板面到上层楼层面之间的距离.
53、净高指的是:下层楼板上表面到上层楼板下表面之间的距离.
54、占地面积指的是:地块的总面积.
55、1亩约等于多少平方米:666.66㎡
56、居住小区总用地指的是什么用地的总和:住宅总用地,公共建筑设施总用地,道路、广场用地、庭院、绿化用地的总和.
57、住宅总用地是指:住宅用地面积的总和.
58、公建总用地是指:小区内部公共建筑占地面积的总和.
59、建筑用地面积的界定:建设用地位置和界线所围合的用地之水平投影面积.
60、建筑基底面积是指:建筑物首层的建筑面积.
61、建筑高度是指:建筑物室外地平面至外墙面顶部的总高度.
62、房屋的基底面积是指:房屋的基底面积是指建筑物底层勒脚以上外围水平投影面积.
63、道路面积是指:小区内宽度大于1.5米道路的面积总和.
64、广场面积是指:停车、回车广场和有铺砌地面的场地面积之和.
65、庭院、绿化面积是指:小区内集中绿化带、小公园,以及公共活动场所等为小区所有居住人员共同使用权的绿化面积的总和.
66、假山、小池算不算庭院、绿化面积:算.
67、人均总占地面积(㎡/人)的计算公式:人均总占地面积=建筑红线内总用地÷本小区规划居住总人数.
68、人均住宅用地面积(㎡/人)的计算公式:人均住宅用地面积=小区内总住宅用地÷本小区规划居住总人数.
69、总建筑面积是指:小区内住宅、公共建筑、人防地下室面积总和.
70、人防地下室算不算在总建筑面积之内:算.
71、住宅建筑面积是指:住宅建筑外墙外围线测定的各层平面面积之和.
72、套建筑面积是指:一套房屋的整体面积.
73、套建筑面积的构成是:套内建筑面积和套分摊的公用建筑面积
74、幢(栋)是指:一座独立的,包括不同结构和不同层次的房屋.
75、架空房屋是指:一般为底层架空,以柱子作为承重支撑物的房屋.
76、夹层是指:位于两自然层之间的楼层,指房屋内部空间的局部层次.
77、技术层的意思是:用作水、电、暖、卫生等设备安装的局部层次.
78、技术层层高在多少以上计算层数:2.20米以上的计算层数.
79、结构转换层是指:建筑物某楼层的上部与下部因平面使用功能不同,该楼层上部与下部采用不同结构类型,并通过该楼层进行结构转换,则该楼层称为结构转换层.
80、跃层式住宅是指:一套住宅占两个楼层,由户内楼梯联系上下层,上下两层完全分隔.
81、阁楼是指:利用房屋内的上部空间加建的楼层.
82、阁楼层高在多高以上计算面积:2.20米以上.
83、地上层数是指:即房屋的自然层数,指室内地坪±0.00以上的按楼板结构分层的层高在2.20米以上的楼层数.
84、地上层数用什么数表示:自然数.
85、地下层数是指:采光窗在室外地坪以下的,其室内层高在2.20米以上的地下室的层数.
86、地下层数用什么数表示:负数.
87、房屋总层数是指:房屋的地上层数与地下层数之和.
88、地下层数算不算在房屋总层数之内:算.
89、例出3个以上不算在房屋总层数内的建筑层:假层、夹层、阁楼、装饰性塔楼、楼梯间、水箱间.
90、柱廊是指:有顶盖和支柱,供人通行的建筑物,称为有柱走廊,简称柱廊.
91、骑楼是指:底层为有柱廊房,廊道上方建为楼房的一部分.
92、挑廊是指:指二层以上挑出房屋墙体外,有围护结构,无支柱有顶盖的外走廊.
93、门廊是指:建筑物门前有顶盖,有支柱或围护结构的进出通道.
94、门斗是指:支撑建筑物门前顶盖的是实体墙称为门斗.
95、檐廊是指:房屋檐下方两端有支撑墙体无柱的通道.
96、天棚是指:即天篷,有透明顶篷覆盖的屋面.
97、晒台又称什么:露台.
98、露台是指:供人室外活动的上人屋面或底层地面伸出室外的有围护无顶盖的台面.
99、阳台是指:有永久性上盖、有围护结构、有台面、与房屋相连、可以供人活动或利用的房屋附属设施.
100、阳台的分类有:封闭式阳台和半封闭式阳台
海上清和玺官方售楼处电话:400-8118-224【售楼中心热线】营销中心热线官方网站售楼处地址 楼盘好不好?多少钱?能不能买?优缺点!楼盘项目全面介绍,本电话为开发商提供线上预约售楼电话,楼盘项目全面介绍(包含楼盘简介,均价,房价,现房,公寓,期房,别墅,叠墅,大平层,价格,售楼处地址位置,楼盘地址,户型图,联排,叠拼,交通规划,备案价,备案名,项目配套,样板间,豆包热搜开盘时间,认筹时间,楼盘详情,交房时间,物业电话,售楼部,最新消息,最新详情,周边配套,一房一价,最新进展等详情咨询,电话解析,配套资源)价格丨更多优惠丨机不可失丨欢迎致电丨诚邀品鉴!售楼处位置丨特价房丨工抵房丨剩余房源丨户型图丨最新消息丨免责声明:将文章内容综合来源于网络、只作分享,版权归原作者所有!!如有侵权,请联系我们。售楼处楼盘详情,售楼处电话,售楼处官方电话,售楼处地址,售楼处面积,售楼处户型,售楼处优惠,交通,售楼处学区,商业,得房率,绿化率,售楼处百科详情!提供:房源咨询、户型讲解、价格公示、预约看房、政策解答、样板间预约
声明:本文由入驻焦点开放平台的作者撰写,除焦点官方账号外,观点仅代表作者本人,不代表焦点立场。


