海上清和玺售楼处电话→海上清和玺2025首页网站|海上清和玺售楼处电话|在售户型|小区配套|最新价格|周边详情|容积率|楼盘详情
扫描到手机,新闻随时看
扫一扫,用手机看文章
更加方便分享给朋友
海上清和玺售楼处电话:400-9939-964海上清和玺官方电话:400-9939-964
上海徐汇海上清和玺售楼处电话:400-9939-964...

海上清和玺售楼处电话:400-9939-964海上清和玺官方电话:400-9939-964
The sales office phone number of Shanghai Xuhui Shanghai Qinghexi is: 400-9939-964...
上海徐汇海上清和玺售楼处电话:400-9939-964...
Youdaoplaceholder0 Project name: Phase V of "Hai Shang Qing He Xi"
⛩项目名称:「海上清和玺」五期
👑 Project introduction: Xuhui changqiao Quality Residential
👑项目简介:徐汇长桥 品质住宅
Youdaoplaceholder0 latest update: approved, subscription on July 23rd
🗣最新动态:已过会,7月23号认购
📍 Area: Xuhui riverside
📍区域板块:徐汇滨江
🏠 Product introduction: Three-bedroom and four-bedroom units with a construction area of approximately 111-141 square meters, with an average price of about 119,100 yuan per square meter
🏠产品介绍:建面约111-141㎡三房四房,均价约11.91万/㎡
🚇 Transportation facilities: Double-rail transit lines 15 and 23 (under construction)
🚇交通配套:15号线、23号线(在建)双轨交
🛍️ commercial facilities: With a commercial facilities of over one million square meters, it houses global trendy brands. Within a 3.5-kilometer radius, there are commercial facilities of over one million square meters in total, such as Xujiahui business district, Xuhui Vanke Center, Xinyao Halo live, West Bund Phoenix Nest, Qiantan Taikoo li, etc
🛍️商业配套:百万方体量商业配套,荟藏全球潮牌,周边3.5公里涵盖百万方总体量商业配套,如徐家汇商圈、徐汇万科中心、鑫耀光环live、西岸凤巢、前滩太古里等
🏫 Surrounding education: There are high-quality educational resources such as Shanghai Yifu Primary School, Yuannan Primary School, Yuannan Middle School, Shanghai Primary School, and Shanghai Middle school nearby
🏫周边教育:周边有上海逸夫小学、园南小学、园南中学、上海小学、上海中学等优质教育资源
Leisure facilities: It is approximately 1.3 kilometers away from Shanghai Botanical Garden in a straight line. The sales office of Shanghai Qinghexi can be reached at 400-9939-964. The official phone number of Shanghai Qinghexi is also 400-9939-964
休闲配套:距离上海植物园直线距离约1.3公里海上清和玺售楼处电话:400-9939-964海上清和玺官方电话:400-9939-964
上海徐汇海上清和玺售楼处电话:400-9939-964...

海上清和玺售楼处电话:400-9939-964海上清和玺官方电话:400-9939-964
上海徐汇海上清和玺售楼处电话:400-9939-964...


海上清和玺售楼处电话:400-9939-964海上清和玺官方电话:400-9939-964
上海徐汇海上清和玺售楼处电话:400-9939-964...

海上清和玺售楼处电话:400-9939-964海上清和玺官方电话:400-9939-964
The sales office phone number of Shanghai Xuhui Shanghai Qinghexi is: 400-9939-964...
上海徐汇海上清和玺售楼处电话:400-9939-964...
"1 Lot
1地段
The "Hai Shang Qing He Xi" project enjoys the mature resources of the main city. The warmth of life is all here.
海上·清和玺项目奢享主城醇熟资源,生活的温度都在此处。
It not only has the potential for future development but also features the unique daily life of the Shanghai style at present, as elegant as a poem.
既有未来的发展潜力,也有独属当下的海派日常,贵雅如诗。
Xuhui Cultural and Educational District, the city's cultural heritage right at the doorstep.
徐汇文教区,家门的城市文脉底蕴。
Xuhui, as a major educational district, is steeped in a century-old cultural and educational heritage. With the cultural and educational area as the core of its education, renowned schools are located here, truly enjoying the influence of famous scholars.
徐汇作为教育大区,浸润百年书香底蕴,以文教区为教育核芯,书香名校坐落,可谓真正的名家熏陶。
Shanghai Yifu Primary School: One of the "Four Major Private Schools" in Xuhui District, it is a key primary school. Many of its graduates have been admitted to prestigious junior high schools in Shanghai such as Huayu, Shanghai World Foreign Language School, No. 2 Middle School, Shanghai Bao School, and Southwest Weiyu School.
上海逸夫小学:徐汇“四大民办之一”的重点小学,历届毕业生多考入华育、世外、华二、上宝、西南位育等沪上名初。
Yuan Nan Primary School/Yuan Nan Middle School: Yuan Nan Primary School is currently a member school of the United Nations EPD research project and an advanced collective in scientific research in the district.
园南小学/园南中学:园南小学现为联合国EPD课题研究成员学校、区科研先进集体;
Yuan Nan Junior High School is the No. 1 public junior high school in Xuhui District. Over the years, its high school entrance examination admission rate has been approximately 70%, with a municipal key school admission rate of 30% and a district key school admission rate of 19%.
园南初中是徐汇第一公办初中,历年中考升学率约70%、市重点率30%区重点率19%。
Shanghai Primary School/Shanghai High School: A century-old prestigious school, founded in the 29th year of the Guangxu reign of the Qing Dynasty (1903 AD), Shanghai High School is the top of the four schools/a municipal key school/the cradle of first-class universities.
上海小学/上海中学:百年历史名校,始创于清光绪二十九年(公元1903年),上海中学是四校之首/市重点/一流大学的摇篮;
The rate of students admitted to key universities in the college entrance examination over the years has been as high as 95%, and the rate of students admitted to first-tier universities is 99%.
历年高考重本率高达95%,一本率99%。
To facilitate readers' understanding of the surrounding area of the project, this material promotes the introduction of educational resources such as kindergartens and schools around the project, aiming to provide relevant information and does not imply that our company makes any commitment to the educational arrangements.
(*方便读者了解项目周边情况,本资料宣传对项目周边幼儿园、学校等教育资源的介绍旨在提供相关信息,并不意味着本公司对就学安排作出承诺)
Real photos, sourced from the Internet
实拍图,来源于网络
Shanghai South Railway Station, the second largest urban hub after Hongqiao in the future.
上海南站,未来虹桥之后的第二大城市枢纽。
The renovation and upgrading project of Shanghai South Railway Station has been officially launched. After the completion of the renovation in the future, its transportation capacity and service level will be greatly enhanced. It will be connected with Shanghai East Railway Station and Hongqiao Railway Station, becoming the second largest hub station in Shanghai.
上海南站设施更新改造工程已经正式启动,未来改建完成后将大大提升其运输能力和服务水平,将与上海东站和虹桥站连接,成为上海市第二大枢纽站。
(Source: Guangming.com "Big News! Shanghai's railway Station Will be 'Added 1' Again, adjacent to Pudong Airport, and will be on par with Hongqiao in the future")
(信息来源:光明网《重磅!上海的火车站又将“+1”,毗邻浦东机场,未来比肩虹桥》)
Real photos, sourced from the Internet
实拍图,来源于网络
In addition, daily travel is accessible by the dual-track transportation of Line 15 and Line 23 (under construction).
除此之外,日常出行更有15号线、23号线(在建)双轨交通达。
The Luoxiu Road Station of Line 15 is approximately 700 meters away in a straight line, and the Longrui Road Station of Line 23 (under construction) is about 1 kilometer away in a straight line. This dual-lane system meets the daily travel needs and enables quick access to the Xuhui business district.
直线距离约700米15号线罗秀路站点、直线距离约1公里23号线龙瑞路站点(在建中)双行系统,满足日常出行,可快速抵达徐汇商圈。
The Middle Ring Expressway is easily connected to the Shanghai expressway system, providing convenient access to the core business districts of Qiantan and Xujiahui.
中环高速轻松链接上海高速路系统,便捷通达前滩、徐家汇核心商圈。
It is about 50 meters away in a straight line. It can be quickly connected to the urban expressway system. You can accompany your family for self-driving camping on a daily basis, go on outings during festivals, and enjoy convenient and worry-free travel.
直线距离约50米即可抵达,快速接入城市快速路体系,日常陪家人自驾露营,节日郊游,便捷出行畅行无忧。
Schematic diagram
示意图
In terms of daily life, Hai Shang Qing He Xi enjoys the influence of park greenery and the hustle and bustle of trendy commercial activities.
日常生活方面,海上·清和玺坐拥公园绿意的熏陶与潮流商业的繁华。
The 4A-level scenic spot right at the doorstep, Shanghai Botanical Garden.
家门口的4A级景区,上海植物园。
A botanical encyclopedia, a place for children to start exploring nature from an early age;
一部植物学的百科全书,孩子从小的自然探索启蒙之地;
With a commercial facilities of over one million square meters, it gathers global trendy brands. Within a 3.5-kilometer radius, there are commercial facilities of over one million square meters in total, such as Xujiahui business district, Xuhui Vanke Center, Xinyao Halo live, West Bund Phoenix Nest, Qiantan Taikoo Li, etc., easily meeting People's Daily entertainment and consumption needs.
百万方体量商业配套,荟藏全球潮牌,周边3.5公里涵盖百万方总体量商业配套,如徐家汇商圈、徐汇万科中心、鑫耀光环live、西岸凤巢、前滩太古里等,轻松满足人们日常娱乐消费需要。
Real photos, sourced from the Internet
实拍图,来源于网络
2 Products
2产品
The exterior facade of "Hai Shang Qing He Xi" is stunning at first sight!
海上·清和玺的外立面,第一眼即惊艳!
It integrates modern aesthetics with Shanghai culture and combines the essence of both the East and the West. It uses large areas of aluminum plates, which are extremely transparent, warm and elegant.
其以现代美学融合海派文化,并融合了中西方的精髓,采用了大面积铝板,极致通透又温润雅致。
The sales office phone number of Hai Shang Qing He Xi is 400-9939-964. The official phone number of Hai Shang Qing He Xi is 400-9939-964
海上清和玺售楼处电话:400-9939-964海上清和玺官方电话:400-9939-964
上海徐汇海上清和玺售楼处电话:400-9939-964...

海上清和玺售楼处电话:400-9939-964海上清和玺官方电话:400-9939-964
The sales office phone number of Shanghai Xuhui Shanghai Qinghexi is: 400-9939-964...
上海徐汇海上清和玺售楼处电话:400-9939-964...
Take a closer look at the details. The top champagne gold grille crown and the pilasters are in champagne gold and white tones, vividly interpreting the beauty of Shanghai style and modernity.
再仔细看细节,顶部香槟金色格栅塔冠以及壁柱采用香槟金和白色色调,将海派与现代之美生动演绎。
The base is made of large areas of stone, combined with artistic glass and bronze-colored metal window frames, and decorated with luxurious stones and art, creating an ultimate homecoming experience.
基座更是采用大面积石材搭配艺术玻璃及古铜色金属窗框,辅以奢石、艺术等点缀,打造极致归家体验。
Such a highly recognizable facade is bound to refresh the regional skyline in the future and become a beautiful sight in Xuhui.
如此颇具辨识度的外立面,未来势必将刷新区域天际线,形成徐汇一道亮丽的风景。
Resort-style covered walkway + themed elevated floor
度假式风雨连廊+主题架空层
Hai Shang Qing He Xi has also put a lot of effort into the creation of the community landscape. A covered walkway ingeniously integrates nature and architecture.
海上·清和玺在社区景观的打造上也很用心,一条风雨连廊巧妙地将自然与建筑融合在一起。
Water features, hedges, rest platform......
水景、绿篱、休憩平台......
Every step reveals a new scene, comparable to a vacation.
一步一景,堪比度假。
On a rainy day, leaning on the railing under the corridor to listen to the rain, the sound of the rapid rain is like a waterfall, and the sound of the dense rain is like broken jade.
下雨天,廊下倚栏听雨,急雨声如瀑布,密雨声比碎玉;
On a sunny day, as you walk through the corridor, there is a roof that blocks out the sun.
艳阳天,穿廊而过,自有一片屋檐蔽日。
海上清和玺售楼处电话:400-9939-964海上清和玺官方电话:400-9939-964
上海徐汇海上清和玺售楼处电话:400-9939-964...
部分楼栋还为业主定制了七大主题架空层,商务办公、休闲品茗、健身、社交娱乐、亲子互动、儿童娱乐全覆盖。
海上清和玺售楼处电话:400-9939-964海上清和玺官方电话:400-9939-964
The sales office phone number of Shanghai Xuhui Shanghai Qinghexi is: 400-9939-964...
上海徐汇海上清和玺售楼处电话:400-9939-964...
Living here, you can sit down and have heart-to-heart talks with your neighbors just by going downstairs. From time to time, you can get together with your best friends for afternoon tea, enjoying the comfort of life.
住在这里,下楼就能和邻里促膝谈心,闺蜜们时不时约个下午茶,感受生活的惬意;
The elders called their old friends and here they "matched up".
老人们叫上老友,在这里“棋逢对手”;
The children are doing homework, reading books and playing games on the other side.
孩子们在另一边做作业、看书、做游戏;
After a busy day at work, adults come here to relax and daydream. Even just listening to the wind quietly is a kind of enjoyment.
忙碌了一天的大人下了班,在这里放空发呆,哪怕是静静地听着风声,也是一种享受。
The customized garden-style homecoming route along the way allows the owner to enjoy the scenery as far as the eye can see.
一路定制的游园式归家动线,让业主目之所及均为风景;
In the central reception garden, green plants are beautiful all year round. On the central courtyard landscape axis, a double-sunken courtyard is arranged to add a refined and staggered atmosphere to the community, enhancing the sense of ceremony when returning home while giving the owners the warmth of home.
中央会客花园内,绿植四季皆景,中央庭院景观轴上,则布局双下沉式庭院增添社区精致错落的氛围,提升归家仪式感的同时,给予业主家的温馨。
海上清和玺售楼处电话:400-9939-964海上清和玺官方电话:400-9939-964
上海徐汇海上清和玺售楼处电话:400-9939-964...
无界中央车库
海上清和玺售楼处电话:400-9939-964海上清和玺官方电话:400-9939-964
The sales office phone number of Shanghai Xuhui Shanghai Qinghexi is: 400-9939-964...
上海徐汇海上清和玺售楼处电话:400-9939-964...
The garage of Hai Shang Qing He Xi is definitely the ceiling of the "King of Prices"!
海上·清和玺的车库绝对称得上的卷王天花板!
Not only is it delivered in a fully furnished manner, but it also features a uniquely designed central station, with dual entrance lobbies on the ground and underground. Some floors even have underground lighting. Whether walking or driving home, the entire journey is filled with a sense of noble ceremony.
不仅精装交付,还有独具匠心的中央车站,地上/地下双入户大堂,局部楼层还具备地下采光,不管步行还是车行回家,一路都是满满的尊贵仪式感。
By the way, the project has also thoughtfully equipped a dedicated car wash space, allowing residents to clean their cars at any time without leaving the community, which is both worry-free and convenient.
对了,项目还贴心配置了专属洗车空间,让业主足不出小区就能随时清洗爱车,省心又便捷。
As the saying goes, "No clubhouse, no luxurious residence." The clubhouse of Hai Shang Qing He Xi is truly astonishing in terms of both configuration and level, and it will bring you a diverse high-end customized life journey in no time.
正所谓“无会所、不奢宅”,海上·清和玺的会所,无论是配置还是能级都堪称震撼,分分钟带给你多样高定生活之旅。

海上清和玺售楼处电话:400-9939-964海上清和玺官方电话:400-9939-964
The sales office phone number of Shanghai Xuhui Shanghai Qinghexi is: 400-9939-964...
上海徐汇海上清和玺售楼处电话:400-9939-964...
Enjoy an unbounded life in the boundless swimming pool, and look up to see the brilliant starry sky.
在 无界泳池 享受无界生活,一抬头就是璀璨星空;
Enjoy social interactions and a wonderful dining experience in a high-end private banquet hall.
在高端私宴厅宴人情往来、度过美好“食”光;
Enjoy an extraordinary sports experience in the top indoor gym;
在室内顶级健身房畅享非凡运动体验;
Experience the joy of swinging in indoor golf......
在室内高尔夫体验挥杆的快乐......
Just thinking about such a scene makes me look forward to it.
这样的场景,想想就很期待。

海上清和玺售楼处电话:400-9939-964海上清和玺官方电话:400-9939-964
The sales office phone number of Shanghai Xuhui Shanghai Qinghexi is: 400-9939-964...
上海徐汇海上清和玺售楼处电话:400-9939-964...
The meticulous craftsmanship of the "Hai Shang Qing He Xi" is also spared no effort.
海上·清和玺的细节打造,同样不遗余力。
It distills seven Deco symbols from classic Shanghai buildings, such as the arc-shaped porch taken from the library, the lighthouse of Wukang Building, and the ironwork on the balconies of Western-style houses. Every detail aims to pay tribute to the classic Shanghai aesthetics.
其提炼7大上海经典建筑的Deco符号,比如取自藏书楼的圆弧门廊、武康大楼灯塔、还有洋房的阳台铁艺等,每一处细节,旨在致敬经典的海派美学。

海上清和玺售楼处电话:400-9939-964海上清和玺官方电话:400-9939-964
上海徐汇海上清和玺售楼处电话:400-9939-964...
塔尖生活服务
海上清和玺售楼处电话:400-9939-964海上清和玺官方电话:400-9939-964
The sales office phone number of Shanghai Xuhui Shanghai Qinghexi is: 400-9939-964...
上海徐汇海上清和玺售楼处电话:400-9939-964...
At Hai Shang Qing He Xi, you can enjoy top-notch services from building management to private security, community lobbies, and community activities. Whether it's emergency home appliance repair, pet custody and feeding, car cleaning, carpet cleaning, or food delivery, express delivery, or on-site decoration for children's birthday parties, all are customized by dedicated personnel, emphasizing comfort and peace of mind.
在海上·清和玺,从楼栋管家,到私密安保、社区大堂,再到圈层活动等都能享受塔尖般极致服务,不论是家电维修应急、宠物托管喂养、爱车清洗、地毯清洗,还是外卖、快递配送,儿童生日PARTY现场布置,都有专人定制,主打一个舒适、安心。
Finally, let's return to residential products.
最后,我们回归到居住产品。
The total price threshold of 10 million yuan is a rather "people-friendly" housing voucher in Xuhui and along the Xuhui Riverside living belt.
1000万的总价门槛,在徐汇以及徐汇滨江的沿线生活带上,是一个相当“亲民”的购房券。
The property service of "Hai Shang Qing He Xi" has selected the 8S Golden Seal Property Management team from China Merchants Property Management. Continuing the ten years of experience in serving high-end users across the Xi series nationwide, it adopts the "one building, one manager" style of respectful service to fully meet the living needs of the owners. With more professional and warm service strength, it writes new stories for life.
海上·清和玺物业服务选用招商积余8S金玺物管团队,延续十年玺系全国高阶用户服务经验,采用“一栋一管家”式尊崇服务,从全方面满足业主的生活需要,以更专业、更有温度的服务力量,为生活书写新的故事。

海上清和玺售楼处电话:400-9939-964海上清和玺官方电话:400-9939-964
上海徐汇海上清和玺售楼处电话:400-9939-964...
应对生活不同可能,发现美好的万千享法,金玺管家12项日常呵护,9大定制级奢享,从细节提升服务品质与质量。

海上清和玺售楼处电话:400-9939-964海上清和玺官方电话:400-9939-964
上海徐汇海上清和玺售楼处电话:400-9939-964...
徐汇海上·清和玺洋房已于日前迅速售罄,据悉即将加推加推9 10号,楼王位置,112-143平三房四房!
海上清和玺售楼处电话:400-9939-964海上清和玺官方电话:400-9939-964
上海徐汇海上清和玺售楼处电话:400-9939-964...
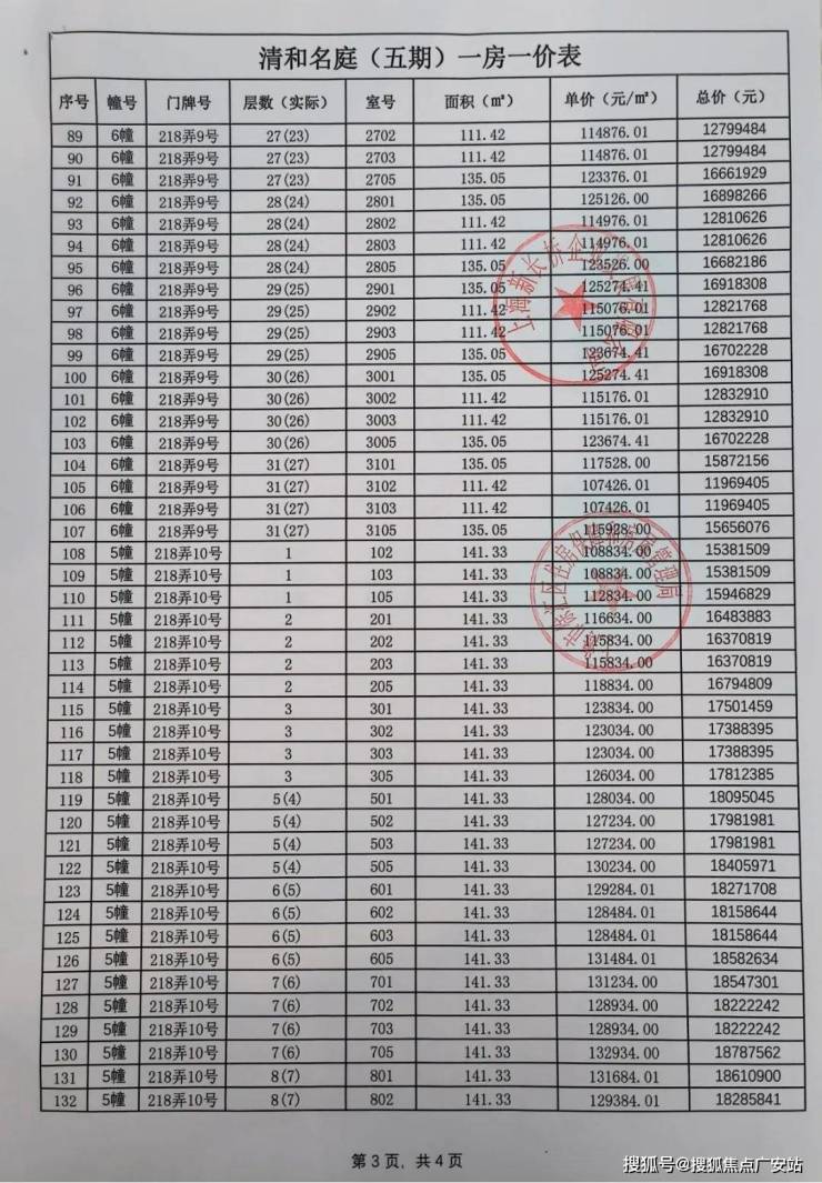
五期户型图如下:
海上清和玺售楼处电话:400-9939-964海上清和玺官方电话:400-9939-964
上海徐汇海上清和玺售楼处电话:400-9939-964...
样板间实景图









海上清和玺售楼处电话:400-9939-964海上清和玺官方电话:400-9939-964
上海徐汇海上清和玺售楼处电话:400-9939-964...
实拍图如下:



海上清和玺售楼处电话:400-9939-964海上清和玺官方电话:400-9939-964
上海徐汇海上清和玺售楼处电话:400-9939-964...
海上清和玺售楼处电话:400-9939-964海上清和玺官方电话:400-9939-964最新消息:
徐汇海上·清和玺洋房已于日前迅速售罄,据悉即将加推5、9、10#,主力户型为建面约112、134㎡3房以及143㎡4房。
⛩项目名称:「海上清和玺」五期
👑项目简介:徐汇长桥 品质住宅
🗣最新动态:即将加推
📍区域板块:徐汇滨江
🏠产品介绍:约112-143㎡三房四房
🚇交通配套:15号线、23号线(在建)双轨交
🛍️商业配套:百万方体量商业配套,荟藏全球潮牌,周边3.5公里涵盖百万方总体量商业配套,如徐家汇商圈、徐汇万科中心、鑫耀光环live、西岸凤巢、前滩太古里等
🏫周边教育:周边有上海逸夫小学、园南小学、园南中学、上海小学、上海中学等优质教育资源
休闲配套:距离上海植物园直线距离约1.3公里
1地段
海上·清和玺项目奢享主城醇熟资源,生活的温度都在此处。既有未来的发展潜力,也有独属当下的海派日常,贵雅如诗。
徐汇文教区,家门的城市文脉底蕴。徐汇作为教育大区,浸润百年书香底蕴,以文教区为教育核芯,书香名校坐落,可谓真正的名家熏陶。
上海逸夫小学:徐汇“四大民办之一”的重点小学,历届毕业生多考入华育、世外、华二、上宝、西南位育等沪上名校。
园南小学/园南中学:园南小学现为联合国EPD课题研究成员学校、区科研先进集体;园南初中是徐汇第一公办初中,历年中考升学率约70%、市重点率30%区重点率19%。
上海小学/上海中学:百年历史名校,始创于清光绪二十九年(公元1903年),上海中学是四校之首/市重点/一流大学的摇篮;历年高考重本率高达95%,一本率99%。(*方便读者了解项目周边情况,本资料宣传对项目周边幼儿园、学校等教育资源的介绍旨在提供相关信息,并不意味着本公司对就学安排作出承诺)
实拍图,来源于网络
上海南站,未来虹桥之后的第二大城市枢纽。上海南站设施更新改造工程已经正式启动,未来改建完成后将大大提升其运输能力和服务水平,将与上海东站和虹桥站连接,成为上海市第二大枢纽站。(信息来源:光明网《重磅!上海的火车站又将“+1”,毗邻浦东机场,未来比肩虹桥》)
实拍图,来源于网络
除此之外,日常出行更有15号线、23号线(在建)双轨交通达。直线距离约700米15号线罗秀路站点、直线距离约1公里23号线龙瑞路站点(在建中)双行系统,满足日常出行,可快速抵达徐汇商圈。
中环高速轻松连接上海高速路系统,便捷通达前滩、徐家汇核心商圈。直线距离约50米即可抵达,快速接入城市快速路体系,日常陪家人自驾露营,节日郊游,便捷出行畅行无忧。
示意图
日常生活方面,海上·清和玺坐拥公园绿意的熏陶与潮流商业的繁华。家门口的4A级景区,上海植物园。一部植物学的百科全书,孩子从小的自然探索启蒙之地;百万方体量商业配套,荟藏全球潮牌,周边3.5公里涵盖百万方总体量商业配套,如徐家汇商圈、徐汇万科中心、鑫耀光环live、西岸凤巢、前滩太古里等,轻松满足人们日常娱乐消费需要。
实拍图,来源于网络
2产品
Gallery Garden 城市美学设计,徐汇滨江曲面流体建筑,现代艺术与曲面质感的和鸣,建筑顶部沿用贵雅技法定制,考究流体力学,为徐汇滨江营造新城市流体建筑封面。

Gallery Garden景观经典游鸣,景观总规划 新海派丁香花园。
项目景观总规划理念,源自 19 世纪“丁香花园”,丁香花园是上海滩老洋房之一,此园是将西洋花园官邸建筑与中国江南园林融于一体的新形态建筑,我们取意丁香花园,为海上·清和玺定制新海派的景观礼序。
海派殿堂奢定人文场域,传承百年海派源址,复刻经典徐汇场景。武康印象,邬达克笔下的建筑艺术,灵感源自“武康大楼”著名设计师邬达克为上海徐汇设计的经典场景,通透立面倒映城市百年的历史。

东湖光厅 通透倒映建筑的光辉。
其灵感源自东湖宾馆:原为杜月笙公馆,建国后改为东湖宾馆。是一次百年历史文化的传承与创新。
清和艺廊 艺术为核,涌现生活的灵感。
萃取在地文化艺术内核,让归家的风雨连廊不仅拥有生活的实用,更能让漫步得以品味生活。

汇金水院 自然与叠水的相得益彰。
中央叠水空间,一次自然与叠水的相得益彰,灵感源自汇金湖:徐汇记忆里的成长映象,汇聚徐汇一代人的记忆与想象。

地上/地下双归家大堂。
奢定归家地上、地下光厅,营造超星级归家大堂,双动线系统,满足业主多样化的出行方式。
中央会客花园
中央休闲庭院空间,一场浸润灵感的艺术水景,自然与潺水和鸣间,分享生活的乐趣与奇妙。
谧静宅间花园
社区内定制多个主题式休闲舒适卡座,定制mini空间,延伸家的无限想象,领略生活的真意。

Gallery Garden 场域的生活温度,贵雅会所、海派美学、优雅时光。
在社区内,海上·清和玺为业主美学奢定娱乐会所,致敬徐汇人物。满足日常运动、瑜伽、私宴等多元贵雅生活体验。
星空顶/逆流式循环恒温泳池
奢朗尺度,打造满水式流体游泳体验,泳池以奢材定制,高品质美学致敬城市。

活力健身空间 惬意挥洒汗水
专业运动器材定制,家门口的运动活力空间,让生活在时光中起舞。

私宴会客厅 款待每一位好朋友
会所内定制新海派人物私宴,时光与品味的私享殿堂。

高定主题架空层
特定的楼栋架空层,为业主定制多主题架空层空间
从健身、社交娱乐、亲子互动、儿童娱乐等,多维角度营造丰盈的日常生活。

3配套
徐汇滨江打造“世界卓越水岸”,规划有百万方规划组团。徐汇滨江迄今已规划六个百万方组团,聚焦⼀港、⼀⾕、⼀城、⼀场、⼀湾、⼀心的六个百万⽅空间布局(⻄岸⾦融城、⻄岸数字⾕、⻄岸数智中心、⻄岸传媒港、⻄岸热⼒秀场和⻄岸⽣命蓝湾),而第七大组团“中央公园”,完美覆盖海上·清和玺所在上海植物园区域,未来将无界链接城市生态资源,促进徐汇滨江与城区无界融合、兑现徐汇滨江的高质量发展。
从徐汇开发趋势来看,徐汇向南延伸已成态势。近年来,徐汇作为热门的主城板块,住宅土地供应日渐紧张。随着内徐汇向南延伸,徐汇滨江以绝对实力承接了内徐汇的高单价,而随之南向开发的不断深化,上海南站区域暂无新房供应,而更靠近滨江的长桥板块相较之靠近徐汇腹地的田林、南站板块置业门槛更低,是典型的土地发展红利期。
【一英里徐汇滨江 中央公园生活区】
项目距离徐汇滨江约1.6公里,位于徐滨第七个百万方组团规划内,是当前城市发展重要战略区域。

交通配套
15号线罗秀路站点直线距离约700米、23号线龙瑞路站点(在建)直线距离约1公里
商业配套
地块周边有凌云天地、徐汇梅陇商业中心等;另外,距离南方商城和徐家汇商圈等大型商业中心约有4-6公里。

教育资源
地块周边教育资源非常丰富,包括被誉为“华育中学亲儿子”的上海四大名校之一逸夫小学、上海中学、华东理工大学附中、上海小学、徐汇实验小学、长桥中学等。(学校对口情况须在本小区交付后以政府教育主管部门及校方的最新政策为准)
生态环境
地块周边有上海植物园、徐汇区西岸艺术公园等,一江之隔就是前滩体育公园、前滩休闲公园。
4户型鉴赏


上期样板间实景图









2栋景观楼王即将加推
建面约134/143㎡收官房源
上海徐汇海上清和玺售楼处电话:400-9939-964...
海上清和玺售楼处电话:400-9939-964海上清和玺官方电话:400-9939-964
上海徐汇海上清和玺售楼处电话:400-9939-964...
什么是房产:房屋产权的简称。
2、什么是地产:是指土地财产。
3、什么是房地产:是房产和地产的总称。
4、什么是房地产业:从事房地产开发、建设、经营、管理以及维修、装饰和服务的综合性产业。
5、什么是房地产开发:是指在依法取得土地使用权的土地上按照使用性质的要求进行基础设施、房屋建筑的活动。
6、什么是土地开发:是将“生地”开发成可供使用的土地。
7、集体土地是指:农村集体所有的土地。
8、征用土地是指:国家为了公共利益的需要,可依照法律规定对集体所有的土地实行征用。
9、什么是土地所有权:是指国家或集体经济组织对国家土地和集体土地依法享有的占有、使用、收益和处分的权能。
10、什么是土地使用权的出让:指国家以协议、招标、拍卖的方式将土地所有权在一定年限内出让给土地使用者,由使用者向国家支付土地使用权出让金的行为。
11、什么是土地使用权转让:是指土地使用者通过出售、交换、赠与和继承的方式将土地使用权再转移的行为。
12、什么是地籍、产籍:是对在房地产调查登记过程产生的各种图表、证件等登记资料,经过整理、加工、分类而形成的图、档、卡、册等资料的总称。
13、 生地是指:不具备开发条件的土地。
14、熟地是指:已完成三通一平(水、电、道路,土地平整)或七通一平,具备开发条件的土地。
15、什么是宗地:是地籍的最小单元,是指以权属界线组成的封闭地块。
16、什么是宗地图:是土地使用合同书附图及房地产登记卡附图。它反映一宗地的基本情况。包括:宗地权属界线、界址点位置、宗地内建筑位置与性质、与相邻宗地的关系等。
17、证书附图是指:房地产后面的附图,主要反映房地产情况及房地产所在宗地情况。
18、什么是物业管理:泛指一切有关房地产开发、经营、商品房销售、租赁及售后服务。
19、什么是业主委员会:是在物业管理区域内代表全体业主实施自治管理的组织。是代表
物业全体业主合法权益的社会团体,其合法权益受国家法律保护。
20、业主委员会是如何产生的:由业主大会从全体业主中选举产生。
21、住房补贴是指:国家为职工解决住房问题而给予的补贴资助。
22、房屋的所有权是指:对房屋全面支配的权利。
23、房地产交易的两种主要形式是:地产交易形式 与 房产交易形式。
24、建筑物是指:人工建造而成的房屋和构筑物。
25、构筑物是指:建筑物中除房屋以外的东西。
26、什么是期房:是指消费者在购买时不具备即买即可入住的商品房。
27、期房是如何介定的:房地产开发商拿到商品房预售许可证开始至取得房地产权证大产证或竣工验收合格可以直接入住使用)为止。
28、什么是预售合同:消费者在购买期房时签定的销售合同。
29、什么是现房:是指消费者在购买时具备即买即可入住的商品房,即开发商已办妥所售的商品房的大产证(或已经竣工验收合格并交付使用)的商品房。
30、什么是毛坯房:房地产商交付屋内只有门框没有门,墙面地面仅做基础处理而未做表面处理的房叫毛坯房。
31、什么是成品房:是指对墙面、天花、门套、地板实行装修。
32、什么是商品房:是指以完全的市场价格向购房者出售的房子。
33、商品房预售是指:在房地产尚未建成以前,房地产的经销商在取得受买人一定数量的定金后,将期房出售给受买人。
34、商品房现售是指:指房地产开发企业将竣工验收合格的商品房出售给买受人。
35、二手房通常指的是:再次进行买卖交易的住房。
36、经济适用房指的是:面向中低收入家庭的普通住宅。
37、例出3种以上的安居房的种类:准成本房、全成本房、全成本微利房和社会微利房。
38、低层住宅的介定:1-3层的住宅。
39、多层住宅的介定:4-6层的住宅。
40、小高层住宅的介定:7-11层的住宅。
41、中高层住宅的介定:12-16层的住宅。
42、高层住宅的介定:16层以上为高层住宅。
43、超高层建筑的介定:总高度超过100米的建筑。
44、商品房的结构是指:房屋主体所使用的施工工艺和用材。
45、钢结构的意思是:承重的主要结构是用钢材料建造的,包括悬索结构。
46、钢混结构的意思是:承重的主要结构是用钢和混凝上建造的。
47、砖木结构的意思是:承重的主要结构是用砖、木材建造的。
48、砖混结构的意思是:主要是砖墙承重,部分是钢盘混凝土承重的结构。
49、框架结构的意思是:以钢筋混凝土浇捣成承重梁柱,再用预制的隔墙分户的结构。
50、开间指的是:一间房屋内一面墙的定位轴线到另一面墙的定位轴线之间的实际距离。
51、进深指的是:一间独立的房屋或一幢居住建筑内从前墙的定位轴线到后墙的定位轴线之间的实际长度。
52、层高指的是:下层地板面或楼板面到上层楼层面之间的距离。
53、净高指的是:下层楼板上表面到上层楼板下表面之间的距离。
54、占地面积指的是:地块的总面积。
55、1亩约等于多少平方米:666.66㎡
56、居住小区总用地指的是什么用地的总和:住宅总用地,公共建筑设施总用地,道路、广场用地、庭院、绿化用地的总和。
57、住宅总用地是指:住宅用地面积的总和。
58、公建总用地是指:小区内部公共建筑占地面积的总和。
59、建筑用地面积的介定:建设用地位置和界线所围合的用地之水平投影面积。
60、建筑基底面积是指:建筑物首层的建筑面积。
61、建筑高度是指:建筑物室外地平面至外墙面顶部的总高度。
62、房屋的基底面积是指:房屋的基底面积是指建筑物底层勒脚以上外围水平投影面积。
63、道路面积是指:小区内宽度大于1.5米道路的面积总和。
64、广场面积是指:停车、回车广场和有铺砌地面的场地面积之和。
65、庭院、绿化面积是指:小区内集中绿化带、小公园,以及公共活动场所等为小区所有居住人员 共同使用权的绿化面积的总和。
66、假山、小池算不算庭院、绿化面积:算。
67、人均总占地面积(㎡/人)的计算公式:人均总占地面积=建筑红线内总用地÷本小区规划居住总人数。
68、人均住宅用地面积(㎡/人)的计算公式:人均住宅用地面积=小区内总住宅用地÷本小区规划居住总人数。
69、总建筑面积是指:小区内住宅、公共建筑、人防地下室面积总和。
70、人防地下室算不算在总建筑面积之内:算
71、住宅建筑面积是指:住宅建筑外墙外围线测定的各层平面面积之和。
72、套建筑面积是指:一套房屋的整体面积。
73、套建筑面积的构成是:套内建筑面积和套分摊的公用建筑面积
74、幢(栋)是指:一座独立的,包括不同结构和不同层次的房屋。
75、架空房屋是指:一般为底层架空,以柱子作为承重支撑物的房屋。
76、夹层是指:位于两自然层之间的楼层,指房屋内部空间的局部层次。
77、技术层的意思是:用作水、电、暖、卫生等设备安装的局部层次。
78、技术层层高在多少以上计算层数:2.20米以上的计算层数。
79、结构转换层是指:建筑物某楼层的上部与下部因平面使用功能不同,该楼层上部与下部采用不 同结构类型,并通过该楼层进行结构转换,则该楼层称为结构转换层。
80、跃层式住宅是指:一套住宅占两个楼层,由户内楼梯联系上下层,上下两层完全分隔。
81、阁楼是指:利用房屋内的上部空间加建的楼层。
82、阁楼层高在多高以上计算面积:2.20米以上。
83、地上层数是指:即房屋的自然层数,指室内地坪±0.00以上的按楼板结构分层的层高在2.20米以上的楼层数。
84、地上层数用什么数表示:自然数。
85、地下层数是指:采光窗在室外地坪以下的,其室内层高在2.20米以上的地下室的层数。
86、地下层数用什么数表示:负数。
87、房屋总层数是指:房屋的地上层数与地下层数之和。
88、地下层数算不算在房屋总层数之内:算。
89、例出3个以上不算在房屋总层数内的建筑层:假层、夹层、阁楼、装饰性塔楼、楼梯间、水箱间。
90、柱廊是指:有顶盖和支柱,供人通行的建筑物,称为有柱走廊,简称柱廊。
91、骑楼是指:底层为有柱廊房,廊道上方建为楼房的一部分。
92、挑廊是指:指二层以上挑出房屋墙体外,有围护结构,无支柱有顶盖的外走廊。
93、门廊是指:建筑物门前有顶盖,有支柱或围护结构的进出通道。
94、门斗是指:支撑建筑物门前顶盖的是实体墙称为门斗。
95、檐廊是指:房屋檐下方两端有支撑墙体无柱的通道。
96、天棚是指:即天篷,有透明顶篷履盖的屋面。
97、晒台又称什么:露台。
98、露台是指:供人室外活动的上人屋面或底层地面伸出室外的有维护无顶盖的台面。
99、阳台是指:有永久性上盖、有围护结构、有台面、与房屋相连、可以供人活动或利用的房屋附属设施。
100、阳台的分类有:封闭式阳台和半封闭式阳台。
101、封闭阳台是指:在围护栏、墙上部用铝合金玻璃窗等围闭的阳台。
102、封闭阳台面积如何计算:全部计算建筑面积。
103、半封闭阳台是指:除围护栏、墙以外没有进行围闭的阳台。
104、半封闭阳台面积如何计算:计算一半建筑面积。
105、楼梯是指:是指房屋层之间供垂直交通用的通道,
106、室外楼梯是指:依靠房屋外墙体搭建的永久性楼梯。
107、屋顶楼梯间是指:突出房屋屋面有顶盖,四周有围护结构,层高在2.20米以上供上屋顶维修或安全出口用的用房。
108、屋顶楼梯间算不算总层高:不算。
109、屋顶电梯间:指突出房屋屋面,层高在2.20米以上,供停放、检修、升降电梯的用房。
110、屋顶电梯间算不算总层高:不算。
111、设备间是指:一幢大楼内放置各种应用设备以及进行综合布线交接的房屋。
112、功能区的意思是:根据各共有建筑部位的用途而划分的服务范围称为功能区。
113、连廊是指:连接两幢房屋的走廊。
114、连楼是指:连接两幢房屋的楼房。
115、过街楼是指:底层局部为通道的楼房。
116、架空通廊是指:指以两端房屋为支撑,有围护结构,有顶盖无支柱的架空通道。
117、围护结构是指:将空间竖向分割成相对独立,不易通行的两个或多个部分的实体,起隔离作用。
118、墙和栏杆算不算围护结构:算。
119、基地面积是指:一个小区总的占地面积。
120、间距是指:建筑平面外轮廓线之间的距离。
121、国家间距标准的比例是:楼高:间距=1:1.2。
122、国家日照标准是:2个以上居住空间大寒日底层满窗连续日照不低于1小时,全天满足2小时。
123、结构面积是指:房屋建筑中外墙、内墙、柱等结构构件所占面积的总和。
124、公用面积是指:住宅楼内为住户方便出入,正常交往而设置的公共走廊、楼梯、电梯间等所占面积总和。
125、公用面积是如何分摊的:按栋或单元户数面积按比率分摊。
126、套内建筑面积是指:套门内范围的建筑面积。
127、套内建筑面积包括:套内使用面积、套内墙体面积和阳台建筑面积。
128、套内使用面积是指:指套内住户独自使用的面积。
129、套内使用面积的计算包括:卧室、厨房、卫生间、过厅、起居室、内走道、阳台、壁柜等净面积的总和。
130、套内墙体面积是指:套内使用空间周围的维护或承重墙体或其它承重支撑体所占的面积。
131、套内墙体面积的计算:全部。
132、各套之间的分隔墙按多少计入套内墙体面积:一半。
133、套与公共建筑空间的分割墙以多少计入套内墙体面积:一半。
134、外墙以多少计入套内墙体面积:一半。
135、套内自由墙体以多少计入套内墙体面积:全部。
136、套内阳台建筑面积是指:阳台外围与房屋外墙之间的水平投影面积。
137、公用建筑面积是指:各产权主体共同占有或共同使用权的建筑面积,指各套(单元)以外为各户共同使用,不可分割的建筑面积。
138、容积率是指:项目规划建设用地范围内全部建筑面积与规划建设用地面积之比。
139、一个项目总建筑面积为64000㎡,占地面积为40亩,容积率是多少:2.4
140、建筑密度又称:建筑覆盖率。
141、建筑密度是指:项目用地范围内所有基底面积之和与规划建设用地之比。
142、人口毛密度的计算公式:人口毛密度=小区内总居住人数÷小区内占地面积。
143、平均每平方米造价(元):平均每平方米造价=建筑物总造价÷建筑面积。
144、使用面积系数K1(%):使用面积系数=总使用面积(平方米)÷总建筑面积(平方米)×100%。
145、居住面积系数K2(%):居住面积系数=总居住面积(平方米)÷总建筑面积(平方米)×100%。
146、绿地率:指公共绿地、宅旁(宅间)绿地、公共服务设施所属绿地和道路绿地等四类绿地面积的总和占居住区用地总面积的比率。
147、公共绿地的介定:最小的要求是宽度不小于8米,面积不小于400平方米,
148、哪些绿化不能算入绿地面积:距建筑外墙1.5米和道路边线1米以内的用地,地下车库、化粪池等地表覆土达不到3米深度的设施不能计入。
149、绿化覆盖率:所有绿化面积与建设用地面积之比。即绿化面积÷基地面积×100%
150、绿化覆盖面积:所有植被垂直投影面积的总和。
151、得房率:指套(单元)内建筑面积与套建筑面积的比率。
152、公共能耗:是小区共用部位、共用设备和公共设施及在公共性服务中所发生的水、电、煤等能源消耗。
153、公共能耗费:因公共能耗而产生的费用
154、公共能耗费由谁承担:由全体业主承担。
155、规划形态是指:项目的具体建筑构成。
156、单元式住宅:是指在多层、高层楼房中的一种住宅建筑形式
157、居住单元:每个楼梯的控制面积称为一个居住单元。
158、一梯几户是指:一个单元里平层有几户的俗称。
159、房型(户型):是指一套住宅由多少卧厅、厨、卫等组成的总称。
160、面积配比:指的是各种房型面积在项目或单元中所占比例的多少。
161、房型配比:指的是各种房型在项目或单元中所占的比例的多少。
162、阁楼:是指位于房屋坡屋顶下部的房间。
163、普通住宅:是指按一般民用住宅标准造的居住用住宅。
164、准现房:准现房是指房屋主体已基本封顶完工,工程正处在内外墙装修和进行配套施工阶段的房屋。
165、居住组团:指一般被小区道路分隔,配建有居民所需的基层公共服务设施的居住生活聚居地。
166、公寓:是指二层以上供多户人家居住的楼房建筑。
167、纯办公楼:是指专为各类公司的日常营运提供办公活动空间的大楼。
168、商场:是指规划为对外公开进行经营的建筑物。
169、综合楼:是指兼有住家、办公甚至商场的大楼。
170、商住住宅:是住宅观念的一种延伸,它属于住宅,但同时又融入写字楼的诸多硬件设施,使居住者在居住同时又能从事商业活动的住宅形式。
171、别墅:是指在郊区或风景区建造的供住宿休养用的花园住宅。
172、联排别墅:三户或三户以上连体的别墅。
173、双拼别墅:二户连体的别墅。
174、独栋别墅:单楼独栋的别墅。
175、跃层式产品:住宅占有上下两层楼南,卧室、起居室、客厅、卫生间、厨房、及其它辅助用房可以分层布置,上下层之间的交通采用户内独用小楼梯联接。
176、跃层式产品的优点:跃层式住宅的优点是每户都有较大的采光面,通风较好,户内居住面积和辅助面积较大,布局紧凑,功能明确,相互干扰较小。
177、复式产品(LOFT):在建造上仍每户占有上下两层,实际是在层高较高的一层楼中增建一个夹层,两层合计的层高要大大低于跃层式住宅。
178、错层式住宅:是指楼面高度不一致错开之处有楼梯联系的住宅。
179、SHOPPING MALL:大型购物广场的英文名称。
180、共有房产:共有房产是指某一房产属于两个或两个以上的所有人共同所有。
181、半地下室:是指房间地面低于室外地平面的高度超过该房间净高的1/3,且不超过1/2者。
182、地下室:地下室是指房间地面低于室外地平面的高度超过该房间净高的1/2者。
183、一地下室室内净高2.6米,2米低于室外地平面,属于半地下室还是地下室:属于地下室。
184、商品房验收合格指的是:单体(即单幢楼盘)验收合格。
185、商品房综合验收合格指的是:包含所有配套设施在内的全部建筑物的验收合格。
186、空鼓:局部面与基层没有胶合剂或胶合剂没有起作用。
187、地基:建筑物下面直接承受建筑物重量的土层称为地基。
188、基础:建筑物的最下端与土壤直接接触的部分称为基础。
声明:本文由入驻焦点开放平台的作者撰写,除焦点官方账号外,观点仅代表作者本人,不代表焦点立场。


