海上清和玺 (售楼处) 电话 - 海上清和玺销售中心 - 环境 -海上清和玺户型 - 价格 - 地址 - 楼盘详情 - 配套 - 电话 - 交房时间 - 配套 - 电话 - 交房时间
扫描到手机,新闻随时看
扫一扫,用手机看文章
更加方便分享给朋友
徐汇海上清和玺售楼处热线;4009665004(开发商统一电话)徐汇海上清和玺售楼处电话;4009665004(预约看房热线)徐汇海上清和玺咨询热线:4009665004(享限时高额返现)【400-9665-004√√√24小时预约热线】徐汇海上清和玺售楼处电话:400-9665004一对一热情服务热线:400966-5004(了解最新优惠)徐汇海上清和玺开盘时间优惠力度交付时间300万-500万新房怎么选?更多优惠楼盘详情?徐汇海上清和玺4009665004最新现状.户型图.属于什么档次?4009665004为什么便宜?徐汇海上清和玺4009665004营销处
温馨提示:看房务必致电与销售确认时间,可获取新房特价房/工抵房,以及售楼部最新折扣优惠!
4009665004
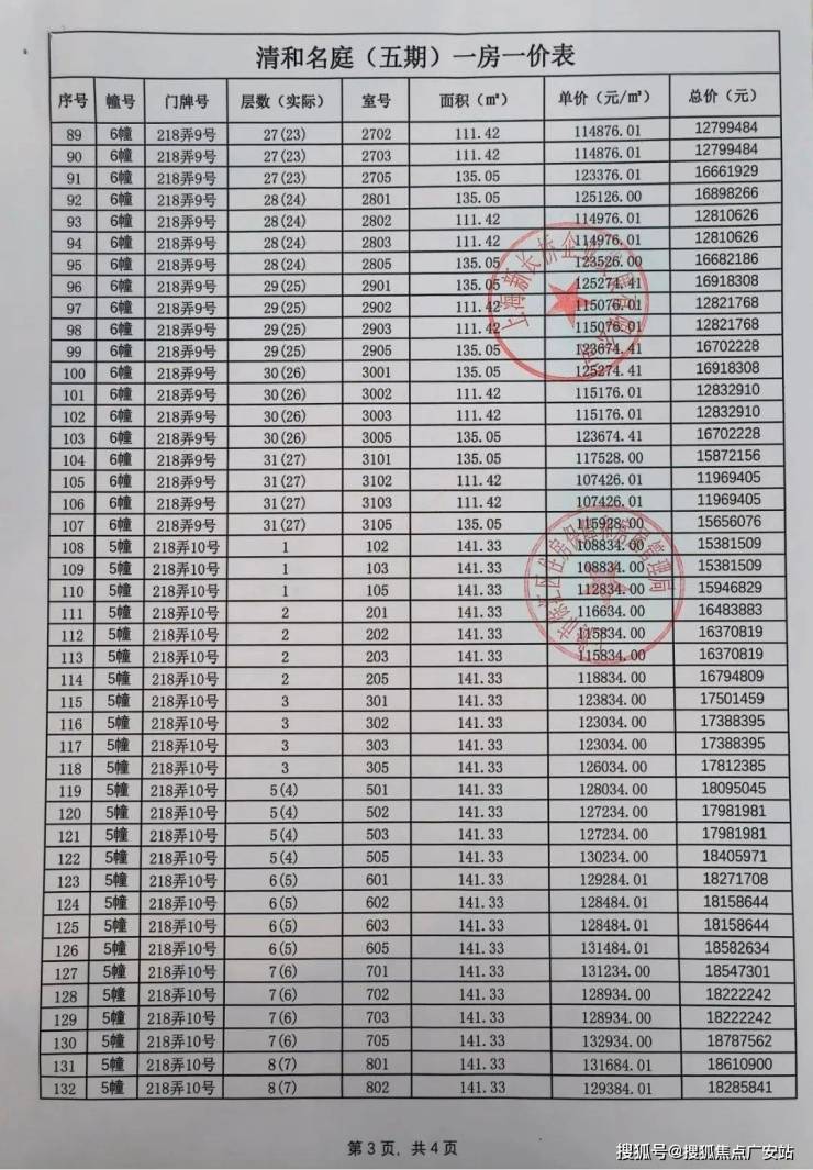
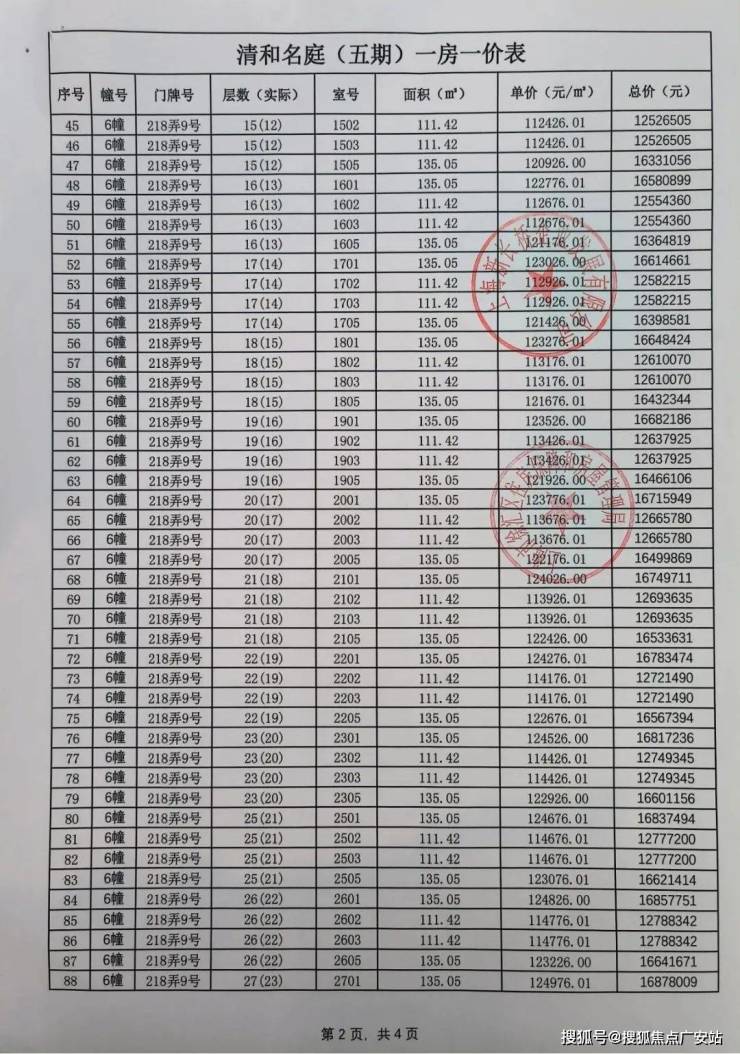
徐汇爆款「海上清和玺」!112-120㎡!珍藏奢适双楼王!一房一价首发!徐汇海上·清和玺项目6月四批次加推即罄!认购率达220%!
本月迎势上新,全城久侯的双楼王楼栋,过会价格仅11.28万元/㎡!其中9幢均价仅11.5万/㎡,远低于多数人的预期,预测爆款!
作为全市备受认可的黄金区域,2公里内10所名校环绕、超万方超配实景已呈现,更有2000平会所+1000平架空层+中央车站+无风雨归家。
徐汇这次遇上清和玺社区内极好位置楼栋。仅161套,其中112㎡-120平强强结合,10.16开启认购,本月底即将开盘!
论总价,主力总价段控制在1100-1200万,1250万以内几乎随便挑选;
论单价,大多数房源控制在11万/㎡以内,海上·清和玺也是徐汇很长一段时间内仅有的千万级选择,你在对比将来要上市的龙华地块,性价比满满。

约134㎡大三房+约270°飘窗,是徐汇更为珍稀的三房产品,徐汇后续未必有。即使有,价格大概率将远超现在,感兴趣的小伙伴机遇可能就这么一次,无论如何都要买到手!
海上·清和玺公区从审美、选材用料到工艺等,都领先时代,这不是一个容易复制的产品,而是一个真正为高净值人群量身定制的高端美学作品,背后凝聚开发团队巨大的人力、时间成本。惠房宝总结几点,大家也跟着最新实景图,来看一下项目惊人的兑现力。
1、超50米的气派门庭,焕新徐汇归家仪式感的尺度。

2、社区含“奢材”量很高。
门庭延街的外立面,以精工定制弧形贝金米黄大理石为主调,镶嵌典藏级老虎玉大理石,点缀古铜色现代海派艺术感灯器,整体呈现出百年海派的贵雅气质。
在门庭的环岛空间,景墙面采用中轴对称的设计布局,定制了奢石镶嵌装饰,将曲面艺术与经典石器之美圆融交融。
预接待厅地面瓷砖采用威尼斯白与爵士白石材拼花设计,纯人工铺装保证花纹的奢华质感。
甚至壁面装饰的水晶灯,都选用高规格的E9级进口水晶制作。
3、海上·清和玺的空间不是简单的功能间,而是化身艺术空间。
在酒店式归家环岛中心,海上·清和玺原创了艺术装置——海派漩心。
首创经典山茶花图腾设计,其灵感源于海派建筑中的山茶花图腾,其采用了300余枚鳞片定制,超过2000次折叠锻造,最终才营造出眼前这般美轮美奂的冰裂纹视觉图样。
中庭大门设计为“海派光厅”,其玻璃镜面由匠人手工绘制经典海派线条,邬达克经典的纹路设计嵌于表面,同时墙面定制优雅的奢石装饰,整个空间既奢华又富有底蕴。


4、不仅是金钱上的奢侈,更是时间广度的奢侈。
比如,整个下沉式庭院材料选用土耳其进口老虎玉,由匠人耗时60天手工打磨定制,可见海上·清和玺对业主归家仪式感设计的用心与苛求。
海派光厅之外归家迎宾树木更是由设计师辗转多个城市才寻到的、树龄超60年的福木“紫薇”。

地上空间的美学感受随着车行归家动线也延伸到了地下,海上清和玺的地下车库,不仅精装交付,还首次提出“中央车站”概念。

作为地下的驱车通道,本身也是整个空间的枢纽平台,连通海派会所、地下庭院,高效抵达的同时,保证了业主的私密性,营造独一份的尊崇体验。
此外,海上·清和玺将奢宅的功能充分融入空间思考,留有专属的访客车位,私人司机休憩室、VIP业主洗车等。在场域设计中,空间展开成星级酒店式、可社交的中央场所,访客和业主可实现无界的会所观赏和交互。
“中央车站”的出现,打破了原有车行通道的理念,让空间更像一个可以短暂停留的开放式空间。
而在公区配置上,我认为项目可以标上海顶级豪宅。
比如,全域风雨连廊!
海上·清和玺将风雨连廊扩容为一个完整的归家体系,将整个社区以约500米全域连廊体系贯通,真正做到全楼栋无风雨归家。
比如,垂直会所体系!
在海上·清和玺,招商蛇口首次提出“垂直会所体系”的空间布局设计,将原本扁平式的功能布局以立体的方式重新构建,实现复合空间的多元利用。
其中会所及架空层总体量约3000㎡,如此大规模的定制,在整个上海高阶产品中同样也是超前列的存在。

约2000㎡地下会所内含璀璨星空顶泳池、私宴厅、室内高端健身器材(沃特罗伦或同等档次品牌)甚至高尔夫场所(高尔夫尊或同等档次品牌)。
还有七大泛会所,作为业主生活的延伸。
甚至项目在软实力上也卷到了天际,物业采用金玺服务,以8S至高玺系服务标准,一栋一管家,包含快递、外卖送上门,垃圾上门回收等服务细节。
海上·清和玺预计3批将推出建面112㎡和134㎡的3房。
从定价来看,约112㎡给足了诚意,严控价格!
论总价,主力总价段控制在1100-1200万,1250万以内几乎随便挑选;
论单价,大多数房源控制在11万/㎡以内,海上·清和玺也是徐汇很长一段时间内仅有的千万级选择,你在对比将来要上市的龙华地块,性价比满满。

约134㎡大三房+约270°飘窗,是徐汇更为珍稀的三房产品,徐汇后续未必有。即使有,价格大概率将远超现在,感兴趣的小伙伴机遇可能就这么一次,无论如何都要买到手!
整体而言,无论是三口之家还是三代同堂,都能在这里找到属于自己的幸福空间。
先来看下建面约112㎡创意展示空间
入户这座铸铝门,质感厚重;通顶玄关柜,内置消毒精灵,奢石把手+奢石台面更显海派温润气质,玄关地面都铺上了海上·清和玺的logo拼花,小小玄关做到了既实用又美观。
进门可以看到经典的S墙设计,L型厨房操作台面,也是暗藏不少细节——玻璃移门采用完美系列夹丝玻璃+金属造型边框,顶部配置线性凉霸+LED嵌入式回形灯带+筒灯,灶台后侧采用大面积岩板铺设,方便清洁的同时显得厨房更加大气。
厨电配置了德国厨房顶奢品牌博世(或同等档次)四件套抽烟机+燃气灶+洗碗机,带末端净水器,弗兰卡(或同等档次)大单槽+可抽拉龙头,冰箱也是交付的!

柜门白色烤漆面板,抽屉分区也都是帮大家细致划分,如多功能调味拉篮+谷物抽+碗碟拉篮等。岛台上配置可升降插座,铝合金抽屉,石材背景板的金属开放格实用性很强。

电视背景墙采用卡慕白的石材+皮革造型,弧形吊顶,相当讲究,连空调出风口的形状都打造为海上·清和玺logo山茶花的形状~~三大件为大金(或同等档次)中央空调和地暖,新风系统为百朗(或同等档次),南向阔景阳台,采光视野一级棒!

主卧套房设计,皮革造型的床背景墙也是交付标准,台盆为唯宝(或同等档次)、龙头则为科勒(或同等档次)复古龙头,马桶为高仪智能马桶(或同等档次)。

奢石台面,皮革饰面柜抽屉,侧端设置金属收纳开放格;定制镜柜,中间的透光玉石直接提升了高级感,镜柜内部配备了美妆冰箱+美妆灯条+轨道收纳!

建面约134㎡3房2厅2卫,主力总价约1500-1700万,户型设计在上一个户型的基础上将各功能间尺度升级的同时,也做了一些更人性化的迭新。
主卧约270°L形飘窗设计,将窗外的美景尽收眼底,注重美观的同时,也兼顾了实用性与舒适性,让业主在繁忙的生活中也能享受到宁静与安逸。
客厅面宽约5.2米,横厅般的尺度及采光享受,使得整个空间显得格外宽敞明亮。
厨房与餐厅通过岛台相连,不仅实现了空间的流畅过渡,更彰显了豪宅的非凡尺度。
建面约134㎡大三房的整体空间感更强,客餐厅一体化设计,厨房也预留了岛台位置,客厅南向面宽超过5.2米,外接阔景阳台,尺度阔绰!

主卧面宽超3.6米,并别出心裁地打造了270°转角窗,拥有两面转角玻璃采光,带来奢阔的环景视野!

城央核心区、百年海派人文、绝对的性价比优势......海上·清和玺,不仅仅是一座居所,更是一种生活方式的全方位升级。

177m2艺术贵雅奢邸是海上·清和玺压轴力作,延续玺系经典的设计理念和思路,阔朗的四面大开间设计,客厅做到了大横厅设计,延续了曲面流体的阳台,并赠送了独具特色的阳台迷你花园。
整体动线依然选用了动静分离的高效率归家生活设计,双套房设计,保证家人居住的私密性,将用户居住的体验细节做到了更细微的层次。
前所未及的超大尺度,结合曲面的艺术设计,使得整个室内的居住品质得到了质的飞跃!功能区的设计也充满了人本的细节设计和思考,阔朗的超大厨房设计,定制岛台,升降式插座,实现大家族式的社交式烹饪。
今年的高端住宅市场,价格可谓是一节更比一节高!
1. 同属于徐汇滨江板块内:
招商汇元玺,联动价13.4万,入围积分112.8;
中海项目,联动价14.2万/㎡,最新批次预估2600万起;
香港置地项目,联动价17.8万/㎡,戳破上海目前最高备案均价,仅2小时售罄;
而即将取证入市,同处徐汇滨江高质量滨江发展带的海上·清和玺联动价仅约11万+/㎡!
2. 从环线来看,新房成交总价也在逐步提高!
今年内环内成交套均总价已高达3100万/套,内中环也在2081万/套!(来源于中原地产研究)
而位处徐汇滨江,紧贴着中环的海上·清和玺总价仅约1000万起!实在是让人惊喜!
3. 更关键的是,这样的机遇未来再难有!
世界级滨水区 上海新“白月光”
回溯2020年至今,徐汇滨江的新房共有14次推盘,其中13次日光!10次认购都超250%!并出现5次“千人摇”!这样的战绩,放眼全市所有板块,都是独一份!
究其原因?
其一是其远瞻世界的战略规划!
从中华百年民族工业摇篮到“上海2035”中央活力区规划承载区!
10年前如果你提到上海的黄浦江S湾,所有人都知道你说的是黄浦滨江。
而现在如果你提到上海的黄江S湾,大部分人都认为你说的是徐汇滨江!
如果说过去所规划的六个百万方组团是以高能级产业为核心的“城市基底”!是徐汇滨江的1.0阶段!

如今的第七大组团“中央公园”则是徐汇滨江真正跨向“世界级滨水区“的又一重要组成部分!
中央公园占地面积约105万㎡,未来,这里将打造大面积的生态公园、住宅及商业,龙吴路上或将建设一座观景桥梁,串联植物园与滨江地带,未来有望成为一大网红打卡点。
以上海植物园为卯点(未来或将围墙打开变身徐汇中央公园),未来第七大组团将无界链接城市生态资源,促进徐汇滨江与城区无界融合、兑现徐汇滨江的高质量发展!
海上·清和玺就在这第七大组团的核心位置!
最重要的是,这一规划离我们并不遥远!随着数智中心的出让完成,七大产业组团中的四个载体已完成了招商!一个上海前所未有的“西岸宇宙”已然形成!
只能说,徐汇区作为上海各区中的“尖子生”,兑现能力实在是太强了!
其二是因为这里是一个极其具备艺术气息且充满活力的精英社区!
这里是我心目中的,超越老静安的新“白月光”!
TA给我的感觉,真的很像美国纽约的长岛,同样的滨江,同样的拥有众多美术馆...
抛开这里众多的亚洲超高密度艺术区的众多艺术场馆配套以及得天独厚的滨江公共配套,这里给我的感受更多是来自于居民本身的!

数次到访徐汇滨江,喜欢这里的每一个人的活力,他们会滑板、遛狗、跑步,没有很夸张的造型且很有礼貌!

最重要的是,他们的这些行为并不是为了拍照发个朋友圈,而是他们真实的日常生活态度!
这是一个在我看来全上海范围内最独特、独立的板块!
也正因为这些物以类聚人以群分的板块,就算很多不是从小生活在这块土地上的新居民,他们、或是他们的孩子都给我一种“好人家教出来”的感受!
论板块潜力、实力,或是居住环境!
海上·清和玺所在板块是我认为上海所有板块中的第一梯队!
这也是为什么,早些年各大名流爱买陆家嘴、豫园板块的豪宅,而现在不少明星艺人都偏爱买徐汇滨江豪宅的原因!
优质教育环绕 徐汇中央公园加持
作为整个徐汇滨江由北向南的中部关键节点和上海“公园城市”示范区,海上·清和玺所在的第七大组团有着众多优渥配套的“先天优势”!

项目紧邻徐汇中环,直线距离徐汇滨江约800多米,直线距离北杨人工智能小镇约700多米,直线距离上海植物园400多米,直线距离前滩约1.7公里。
本身地理位置就足够优秀!
而最让人无法抗拒的是,这里还是优秀的“文教区”!
有多优秀呢?说出来有点夸张!
上海中学:创始于1865年,上海NO.1学府!四校之首!清北复交梦中情校!

身边一个朋友,就是上中→清华→哥大,现在看他朋友圈,每天不是在香港,就是在新加坡,要不然就在欧洲度假。
放眼上海,多少家庭的梦想就是上海中学?
【海上·清和玺】上海中学一街之隔,这种从小熏陶、激励的力量,不言而喻!
此外,周边上实附小、上海小学、逸夫小学等环伺,懂的都懂!
*本资料宣传对项目周边幼儿园、学校等教育资源的介绍旨在提供相关信息,并不意味着本公司对就学安排作出承诺。教育资源的名称、办学性质、办学规模、学位设置、开学(班)时间、招生条件、收费标准及招生区域存在调整的可能,应以政府教育主管部门及办学方颁布的政策规定为准。
有这样的优质教育资源环绕,海上·清和玺可谓是“赢在了起跑线上!”
除此之外,项目的交通配套也极为优秀!
上海南站,未来虹桥之后的第二大城市枢纽。未来改建完成后将与上海东站和虹桥站连接,成为上海市第二大枢纽站!(来源于:上观新闻)

日常出行更有15号线、23号线(在建)双轨交通达!快速来往于市区各核心商圈!
也可通过中环高速轻松链接上海高速路系统,便捷通达前滩、徐家汇核心圈,直线距离约50米即可抵达!
商业及医疗配套方面,徐汇万科广场、前滩太古里、华之门等高端商业综合体环绕周边,还有上海市第六人民医院、第八人民医院等三甲医院!
中环旁,徐汇滨江板块!徐汇中央公园旁!是项目成为市区火热板块的底气!







徐汇海上清和玺售楼处电话:4009665004【徐汇海上清和玺开发商售楼中心热线】徐汇海上清和玺营销中心热线400-9665-004徐汇海上清和玺售楼处地址4009665-004,售楼处电话楼盘项目全面介绍,业主评论?徐汇海上清和玺4009665004真实评价?是学区房吗?都是住什么人?400 966 5004发布 新 优缺点徐汇海上清和玺 400 9665 004利弊?本电话为开发商提供线上预约售楼电话,400/966/5004楼盘项目在哪里
(徐汇海上清和玺包含楼盘简介,均价,房价,现房,期房,别墅,叠墅,大平层,价格,楼盘地址,户型图,交通规划,备案价,备案名,徐汇海上清和玺400 9665 004项目配套,样板间,开盘时间,认筹时间,楼盘详情,售楼处电话,徐汇海上清和玺最新消息,最新详情,徐汇海上清和玺400 9665 004是学区房吗?周边配套,一房一价,徐汇海上清和玺400 9665 004最新进展等详情咨询)楼盘详情丨价格丨徐汇海上清和玺400 9665 004更多优惠丨机不可失丨欢迎致电丨诚邀品鉴!售楼处位置丨特价房丨工抵房丨剩余房源丨户型图丨最新消息丨
免责声明:将文章内容综合来源于网络、只作分享,版权归原作者所有!!如有侵权,请联系我们,我们第一时间处理如有问题欢迎来电咨询,专业一对一热情服务,让您用专业眼光去买房。如果您想了解更多楼盘详情,欢迎提前预约拨打
徐汇海上清和玺售楼处电话☎400_966_5004(开发商统一电话)✔✔✔
徐汇海上清和玺房价-价格☎400_966_5004(售楼处认证)
海上清和玺作为徐汇中环核心的稀缺新盘,由招商蛇口联合南昌市政、徐汇城投三大国企共同打造,凭借"徐汇滨江+文教区+中环内"的三重价值叠加,成为上海内环改善型住宅市场的标杆之作,为追求品质生活的家庭提供兼具历史底蕴与现代舒适的居住体验。
Hai Shang Qing He Xi, as a rare new residential project in the core of Xuhui Central Ring, jointly developed by China Merchants Shekou, Nanchang Municipal, and Xuhui City Investment, has become a benchmark in Shanghai's inner ring improvement residential market by virtue of its triple value system of "Xuhui Riverside + Educational District + Central Ring", offering families pursuing quality living a residential experience that combines historical heritage with modern comfort.
核心定位与背景
项目位于徐汇区上中路与龙川路交汇处(上海中学正对面),是徐汇滨江"艺文水岸"板块的核心组成部分,直线距离黄浦江约1.6公里,地处徐汇中环内稀缺的可开发区域,总建筑面积约17.2万平方米,规划834套住宅,容积率3.12,绿化率35%。
Located at the intersection of Shangzhong Road and Longchuan Road in Xuhui District (opposite Shanghai High School), the project is a core component of the "Artistic and Cultural Riverside" zone in Xuhui Riverside, with a straight-line distance of about 1.6 kilometers to the Huangpu River, situated in a rare developable area within the Xuhui Central Ring, with a total construction area of approximately 172,000 square meters, planning for 834 residential units, a plot ratio of 3.12, and a green space ratio of 35%.
项目之名"清和"源自南宋隆兴年间(1163年)的"清和桥"历史典故,这座横跨华亭县与上海县的古桥见证了上海城市发展的脉络,也寄托了"清静和平"的美好寓意,项目通过现代建筑语言重新诠释海派文化,打造徐汇天际线的新地标。
The name "Qing He" originates from the historical story of "Qing He Bridge" during the Longxing period of the Southern Song Dynasty (1163 AD), an ancient bridge that spanned Huating County and Shanghai County, witnessing the development of Shanghai city and embodying the beautiful meaning of "tranquility and peace". The project reinterprets Haipai culture through modern architectural language, creating a new landmark in the Xuhui skyline.
作为上海首批以旧城区改建推进更新的试点项目,海上清和玺采用"市区联手、政企合作"模式盘活长桥新村不成套住宅地块,是徐汇滨江板块近年来唯一的新房供应,填补了徐汇中环内高端住宅市场的空白。
As one of Shanghai's first pilot projects for urban renewal through old city district reconstruction, Hai Shang Qing He Xi adopts a "city-district collaboration, government-enterprise cooperation" model to revitalize the unsuitable residential plots of Changqiao New Village, being the only new residential supply in the Xuhui Riverside area in recent years, filling the gap in the high-end residential market within the Xuhui Central Ring.
产品设计与稀缺性
项目采用新城市曲面流体设计,香槟金色格栅塔冠搭配艺术玻璃与巴西银河白奢石,窗墙比达80%,形成"金镶玉"质感,社区规划七大主题架空层、双下沉式庭院和中央会客花园,打造全龄生活场景。
The project features a new urban curved fluid design, with champagne-colored grid towers combined with artistic glass and Brazilian Milky Way white stone, achieving an 80% window-to-wall ratio to create a "gold-inlaid jade" texture. The community plans for seven themed elevated layers, double sunken courtyards, and a central guest garden, creating a full-age living scene.
主力户型为建面约112-177㎡的三至四房,其中112㎡三房采用三开间朝南布局与S墙设计,143㎡四房创新性引入270°转角飘窗,177㎡四房则为多代同堂家庭设计,动静分区明确,所有户型均配备中央空调、地暖和新风系统,精装交付标准包含博世厨电、德国洗碗机、唯宝台盆等国际一线品牌。
The main unit types are three to four-bedroom apartments with construction areas of approximately 112-177㎡, where the 112㎡ three-bedroom features a three-bay south-facing layout and S-wall design, the 143㎡ four-bedroom innovatively introduces a 270° corner bay window, and the 177㎡ four-bedroom is designed for multi-generational families with clear separation of dynamic and static areas. All units are equipped with central air conditioning, underfloor heating, and fresh air systems, with finished delivery standards including international first-line brands such as Bosch kitchen appliances, German dishwashers, and Villeroy & Boch basins.
项目最大稀缺性在于其"徐汇中环唯一新盘"的地位,徐汇滨江板块新房供应近乎断供,而海上清和玺作为该区域近年来唯一的新房项目,均价约11.3万-11.5万元/㎡,较周边二手房普遍12万+/㎡的价格形成倒挂,成为中环置业的价值高地。
The project's greatest rarity lies in its status as the "only new residential project in the Xuhui Central Ring." The Xuhui Riverside area has almost no new residential supply, and Hai Shang Qing He Xi, as the only new residential project in the area in recent years, has an average price of about 113,000-115,000 yuan per square meter, forming a price inversion compared to the surrounding second-hand housing prices of generally over 120,000 yuan per square meter, making it a value highland for Central Ring real estate investment.
宏观市场环境影响
2026年上海楼市呈现"核心区恒强,远郊区承压"的分化格局,徐汇区作为上海核心城区,新房供应仅占全市1.38%,土地资源极度稀缺,内环内可开发地块更是屈指可数,徐汇滨江板块凭借"科创+文创+金融"产业布局领跑上海高端住宅市场。
In 2026, Shanghai's real estate market shows a "core area strength, suburban area pressure" division pattern. Xuhui District, as a core urban area of Shanghai, accounts for only 1.38% of the city's new residential supply, with extremely scarce land resources and very few developable plots within the inner ring. The Xuhui Riverside area is leading Shanghai's high-end residential market with its "science and technology innovation + cultural creativity + finance" industrial layout.
随着上海"一江一河"战略深入推进,徐汇滨江被定位为"世界级先锋滨水生活区",未来将形成传媒港、智慧谷、金融城"三足鼎立"的产业格局,区域价值持续攀升,而海上清和玺作为该区域为数不多的新房项目,将成为资产保值增值的重要载体。
With the deepening of Shanghai's "One River, One Shore" strategy, Xuhui Riverside has been positioned as a "world-class pioneering riverside living area," expected to form a tripartite industrial structure of Media Port, Wisdom Valley, and Financial City, continuously increasing the area's value. Hai Shang Qing He Xi, as one of the few new residential projects in the area, will become an important vehicle for asset preservation and appreciation.
地段价值
项目距离地铁15号线罗秀路站约1.2公里,3公里范围内可换乘1/3/11/12号线,30分钟直达徐家汇、前滩商务区,周边汇聚上海中学、华东理工大学等名校,3公里内覆盖复旦大学附属中山医院、国际和平妇幼保健院等三甲医院,商业配套有西岸凤巢AI PLAZA、绿地缤纷城等高端商业体环绕。
The project is about 1.2 kilometers from Luoxiu Road Station of Metro Line 15, with 3 kilometers accessible to transfer to Lines 1/3/11/12, reaching Xujiahui and Qiantan business districts within 30 minutes. It is surrounded by prestigious schools such as Shanghai High School and East China University of Science and Technology, with top-tier hospitals like Fudan University Affiliated Zhongshan Hospital and International Peace Maternity and Child Health Hospital within 3 kilometers, and high-end commercial complexes like AI PLAZA Xizhou Fengchao and Greenland Binfen City.
作为徐汇滨江中央公园规划的核心受益者,海上清和玺不仅坐拥成熟的城市配套,还将受益于未来区域的进一步升级,随着北杨人工智能小镇等产业项目的落地,区域价值将持续提升,使项目成为兼具自住与投资价值的稀缺资产。
As a core beneficiary of the Xuhui Riverside Central Park planning, Hai Shang Qing He Xi not only enjoys mature urban facilities but will also benefit from the area's further upgrades. With the implementation of industrial projects like the Beiyang Artificial Intelligence Town, the regional value will continue to rise, making the project a rare asset with both residential and investment value.
房产必看!总结买房全攻略
在房产交易市场中,无论是首次置业的新手,还是准备改善住房的购房者,掌握专业的房产知识都至关重要。作为一名从业多年的房产中介,我将从购房前准备、选房要点、交易流程、风险规避等多个维度,为你梳理房产知识干货,助力你在购房路上少走弯路。
一、购房前:明确需求,做好资金规划
(一)确定购房目的
购房者需要先明确自己的购房目的。是刚需自住,为了拥有稳定的住所;还是改善居住,追求更大的空间、更好的居住环境;亦或是投资,期望房产实现保值增值。不同的购房目的,对应着不同的选房侧重点。比如刚需购房者更注重房屋的价格、交通便利性和周边基础生活配套;投资型购房者则更关注房产的区位发展潜力、租金回报率等。
(二)资金准备与预算规划
1.首付款计算:了解当地的首付比例政策,一般首套房首付比例在20%-30%左右,二套房首付比例可能会提高至40%甚至更高。计算出自己能够承担的首付款金额,例如计划购买一套总价200万的房子,若首付比例为30%,则首付款为60万。
2.贷款能力评估:向银行或金融机构咨询贷款政策,评估自己的还款能力。一般来说,银行会要求购房者的月还款额不超过其月收入的50%。可以使用贷款计算器,测算不同贷款金额、贷款年限下的月供金额,结合自身收入情况,确定合理的贷款额度和贷款年限。
3.其他费用预算:除了首付款和贷款,购房还会产生契税、维修基金、物业费、中介费(如果通过中介购房)等费用。契税根据房屋面积和购房套数不同,税率在1%-3%不等;维修基金通常按照房屋总价的一定比例缴纳。提前了解这些费用,做好资金预算,避免出现资金缺口。
二、选房:多维度考量,选出心仪好房
(一)区位选择
1.地段价值:地段是决定房产价值的关键因素之一。核心地段的房产,通常交通便利、配套完善、发展成熟,具有较强的保值增值能力。例如城市的中心商务区、政务区,以及新兴的重点发展区域,都是比较优质的地段选择。
2.交通配套:优先选择靠近地铁、公交枢纽的楼盘,方便日常出行。对于有私家车的购房者,要关注周边道路的规划和交通拥堵情况,以及小区的停车位配比是否充足。
3.生活配套:考察楼盘周边的商业、教育、医疗、休闲等配套设施。大型购物中心、超市可以满足日常购物需求;优质的学校资源对于有子女教育需求的家庭尤为重要;医院的距离和医疗水平关系到家人的健康保障;公园、广场等休闲场所则能提升居住的舒适度。
(二)楼盘与户型分析
1.开发商品牌与口碑:选择知名且信誉良好的开发商,其开发的楼盘在房屋质量、施工进度、物业服务等方面更有保障。可以通过网络搜索、业主论坛、实地考察等方式,了解开发商过往项目的评价和口碑。
2.楼盘规划与环境:关注楼盘的容积率、绿化率、楼间距等指标。容积率低、绿化率高的小区,居住密度小,环境优美;楼间距大则能保证充足的采光和通风。此外,还要了解小区的内部配套设施,如幼儿园、健身设施、社区活动中心等是否完善。
3.户型选择:根据家庭人口数量和居住需求,选择合适的户型。户型方正、南北通透、布局合理的房子更受欢迎。要注意房间的功能分区是否科学,动静分区是否明确,卧室、客厅、厨房等空间的尺寸是否合理,是否有浪费面积等问题。
三、房产交易:规范流程,保障权益
(一)签订购房合同
1.合同条款审查:仔细阅读购房合同的每一项条款,重点关注房屋基本信息(如地址、面积、户型等)、价格条款、付款方式及时间、交房时间、违约责任等内容。对于不理解或有疑问的条款,及时向开发商或中介咨询,必要时可以寻求律师的帮助。
2.补充协议:如果开发商有补充协议,同样要认真审查。补充协议中的条款可能会对双方的权利义务产生重要影响,避免出现不合理的附加条件或加重购房者责任的条款。
(二)贷款办理
1.准备贷款资料:一般需要提供身份证、户口本、结婚证(已婚人士)、收入证明、银行流水、征信报告等资料。确保资料真实、完整、有效,以提高贷款审批的通过率。
2.选择贷款银行:不同银行的贷款利率、贷款政策、审批速度等可能存在差异。可以多咨询几家银行,比较利率优惠、贷款额度、还款方式等,选择最适合自己的银行办理贷款。
3.贷款审批与放款:提交贷款申请后,银行会对购房者的资质进行审核。审核通过后,双方签订贷款合同,银行会按照约定的时间将贷款发放给开发商或卖方。
(三)房屋验收与交付
1.验收准备:交房前,购房者可以准备好相关工具,如卷尺、小锤子等,用于检查房屋的尺寸、墙面地面是否空鼓等问题。同时,了解房屋验收的标准和流程。
2.实地验收:按照合同约定的交房时间,前往楼盘进行房屋验收。重点检查房屋的质量问题,如墙面是否渗水、裂缝,门窗是否密封良好、开关灵活,水电线路是否正常,厨卫防水是否到位等。发现问题及时记录,并要求开发商整改。
3.办理交付手续:验收合格后,购房者需要缴纳相关费用,如物业费、契税等,然后办理房屋交付手续,领取房屋钥匙,完成房屋交接。
四、房产交易风险规避
(一)产权风险
1.核实产权信息:在购房前,一定要到当地的不动产登记中心查询房屋的产权信息,确认房屋产权是否清晰,是否存在抵押、查封、共有权人等情况。避免购买到产权有纠纷的房屋。
2.警惕小产权房:小产权房是指在农村集体土地上建设的房屋,未缴纳土地出让金等费用,其产权证不是由国家房管部门颁发。小产权房存在诸多风险,如无法办理合法产权证书、不能上市交易、面临拆迁可能得不到合理补偿等,建议购房者不要购买。
(二)市场风险
1.关注市场动态:房地产市场受政策、经济、供需关系等多种因素影响,价格会有波动。购房者要关注国家和地方的房地产政策变化,如限购、限贷、限售政策,以及利率调整等,了解市场的走势,合理选择购房时机。
2.理性购房:不要盲目跟风购房,避免在市场过热时高价买入。要根据自己的实际需求和经济实力,做出理性的购房决策。
掌握这些房产知识,能让你在房产交易中更加从容自信。如果你在购房过程中有任何疑问,欢迎随时咨询,我将竭诚为你提供专业的服务和建议。
声明:本文由入驻焦点开放平台的作者撰写,除焦点官方账号外,观点仅代表作者本人,不代表焦点立场。


