海上清和玺 (售楼处) 首页 - 2026海上清和玺销售中心 - 海上清和玺价格 - 地址 - 楼盘详情 - 配套 - 电话 - 交房时间 - 配套 - 电话 - 交房时间
扫描到手机,新闻随时看
扫一扫,用手机看文章
更加方便分享给朋友
徐汇海上清和玺项目官方认证联系方式(2026年最新)











项目售楼处前端展示区实景照
徐汇2000万稀缺四房,堪称孤品
作为徐汇区当前唯一总价2000万左右的四房新盘,在土地资源开发成本日渐高昂的徐汇,,而兼具功能性与收藏属性的
以「全生命周期住宅」为核心理念,海上·清和玺洋房以四房两卫的家族式空间布局,精准匹配多代共居的进阶需求,以「类一梯一户」的私密设计,重塑归家礼仪的尊崇感。
户型设计上约15.5米南向四开间,以大开大合的格局重构空间美学与功能的平衡。独立餐客厅南北贯通,舒适通透十足,同时 6-7层低密真洋房形态,打破传统高层压抑感,将光照提升至极致。无论是三代同堂的欢声笑语,抑或私密静谧的独处时光,皆能在此找到理想载体。
据悉,143㎡大师样板现已开放,

177㎡艺术贵雅奢邸是海上·清和玺压轴力作,延续玺系经典的设计理念和思路,阔朗的四面大开间设计,客厅做到了大横厅设计,延续了曲面流体的阳台,并赠送了独具特色的阳台迷你花园。
整体动线依然选用了动静分离的高效率归家生活设计,双套房设计,保证家人居住的私密性,将用户居住的体验细节做到了更细微的层次。
前所未及的超大尺度,结合曲面的艺术设计,使得整个室内的居住品质得到了质的飞跃!功能区的设计也充满了人本的细节设计和思考,阔朗的超大厨房设计,定制岛台,升降式插座,实现大家族式的社交式烹饪。
除此之外,海上·清和玺供应了徐汇稀缺的全产品面积,建面约112㎡、120㎡、134㎡全维户型满足不同的置业需求。
奢侈的空间感不仅体现在面积上,更在于精心的设计、优质的材料与细腻的细节。在海上·清和玺精心的设计、优质的材料以及细腻的细节,才是真正的奢侈所在。就拿通室来说,奢石、奢板、奢皮、奢镜的混合搭配,简直是一场视觉的盛宴,一站式满足了改善客群对于品质的极致追求。
·专属的奢石把手,推开定制的铸铝门,仿佛开启了一场品质之旅。
·脚下的玄关是专门设计的石材拼花,美轮美奂。
·通铺的定制玄关柜,不仅扩充了收纳空间,还彰显了独特的品味。
·奢石台面更是瞬间提升了整个空间的质感。
更让人惊喜的是,这里还有智能家居系统、消毒鞋柜以及用于冰箱内嵌冰箱的“S墙”。仅仅是入户这一部分,就已经亮点满满,让人充满期待。可以想象,在这样的空间里生活,每一天都如同置身于梦幻之中。
走进海上·清和玺的厨房,墙面岩板通铺,视觉效果超棒。开门采用完美系列水波纹玻璃加上金属造型边框的玻璃移门,时尚又大气。顶部配置线性凉霸、LED 嵌入式回形灯带和筒灯,烹饪时光也变得无比美妙。
建面约134㎡的户型,总价约1500-1700万。该户型更为惊艳,打造了270°转角窗观景套房,让业主尽情享受阳光的温暖与美景的拥抱。
建面约120㎡的户型,定制LDKB一体化宽厅,更舒适的功能定制,270°转角窗观景套房设计,实现了居住品质与观景的完美结合。
建面约112㎡的户型,总价约1000-1300万。精心打造出每个房间都宽敞舒适的真三房。通过巧妙的S墙实现冰箱内嵌,主次卧与客厅全南向的阔景阳台等设计,让空间进一步放大,改善盘所看重的空间敞阔感扑面而来。
招商在以往的成功经验基础上,调研了大量客户需求,为户型设计带来重磅升级:
项目舍弃了传统逼仄的百平三房,将最小面积提升到了建面约112㎡,而这12个平方的提升,让整体户型的空间尺度感达到了新的高度。
在户型细节方面,全系高层户型,配置S墙。把传统直墙做成弯的,为相邻两户创造出了额外的凹槽空间,扩展了收纳。
这是一个非常巧妙的设计,比如将冰箱塞入这个凹槽,从而释放厨房的冰箱空间,延伸灶台的面积,或者可以做岛台...
而在建面约134㎡ 3房,配置了主卧套房,更是配置了270°环幕级景观飘窗,正如同全面屏一样,带来IMAX级的宽幕视野!
在细节装标方面,我们来看创意展示间(仅供参考,最终交标以买卖合同以及实际交付为准):
通室整体选择了全新升级的奢石、奢板、奢皮、奢镜混合搭配,将静奢海派的艺术感展现的淋漓尽致。
入户空间,配置精装铸铝门,定制5合1门锁,点缀以奢石把手。
玄关位置地面采用石材,个性化的logo拼花,尊崇感十足,配合定制玄关柜,柜内交付有除臭精灵,功能性与颜值,双双拉满。

创意展示间实拍,非交付标准
厨房方面,水波纹玻璃+金属造型玻璃移门,隐形上轨,厨房交付线性凉霸、末端饮水、博世或AEG(或同等品牌)烟灶、洗碗机三件套。

创意展示间实拍,非交付标准
划重点,项目同样交付AEG或博世(或同等品牌)内嵌冰箱,厨房配置一应俱全。

创意展示间实拍,非交付标准
客餐厅方面,电视背景墙采用卡慕白石材+皮革,均为交付标准;地面采用简一(或同等品牌)的900*1800仿石砖,密拼施工,几乎看不到有任何缝隙——相信有装修经验的小伙伴一定知道,这种大砖的价格和这样的密缝工艺成本有多高!

创意展示间实拍,非交付标准
主卧大套房设计,拼花实木复合地板,更显海派风味。

创意展示间实拍,非交付标准
卫浴方面,地面及淋浴区,全部选用石材,墙面的公主白玉岩板,温润暖色调,质感非凡。
唯宝(或同等品牌)台盆、主卫科勒(或同等品牌)复古龙头、高仪(或同等品牌)智能马桶、奢石台面、镜柜美妆冰箱、线性风暖……每一个细节,招商都为业主考虑到了。

新玺系的品质,仅在室内这一项,就已经体现得淋漓极致,而视野转到室外,更是从不让人失望。

▸【徐汇海上清和玺官方售楼处咨询热线】400966-5004(24小时服务,人工客服8:00-22:00)
▸徐汇海上清和玺售楼处地址(看房请提前预约)
▸ 徐汇海上清和玺开放时间:每日9:00-19:30(含节假日)
▸徐汇海上清和玺VIP LINE 400_966_5004 | 官方唯一咨询热线
【温馨提示】本项目唯一官方联系方式,看房请提前预约!现场销售接待!谨防中介虚假信息!
敬的购房者,✅徐汇海上清和玺售楼处电话:400-966-5004项目于2026年2月25日正式更新电话服务渠道,为确保您获取最前沿信息,现将核心联系方式与权益公示如下:
作为徐汇中环稀缺新建住宅,项目由招商蛇口、南昌市政、徐汇城投三大国企联袂匠造,实力护航品质与交付,在土地供应稀缺的徐汇,成为入主主城核心的难得窗口。
徐汇新房供应稀缺、价格稳步攀升的市场下,【海上清和玺】
以高性价比成为区域红盘:主城核心地段 + 国企品质 + 全维配套 + 文教优势,兼具自住舒适度与资产保值性,是徐汇改善的不二之选。
从滨江风光到书香文脉,从繁华配套到低密居所,【海上清和玺】以一座全能住区,重新定义徐汇高端改善标准。
入主徐汇芯,安家清和玺,收藏属于城市精英的理想生活。
徐汇目前唯一在售新房,【海上清和玺】清盘在即!
少量建面约112-134-143-177㎡3-4房在售
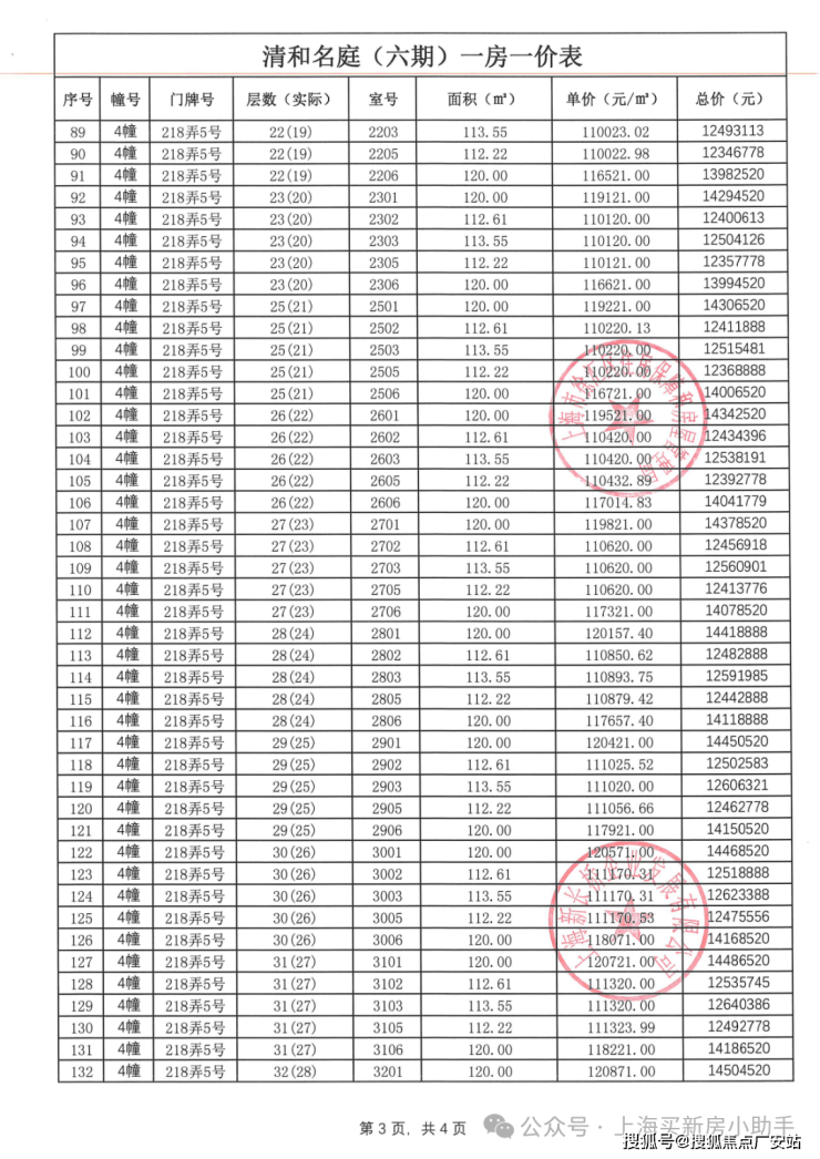
均价119182元/㎡,总价1200万起
不管是多功能会所的规划效果、还是创意展示空间的实景呈现,都带给人很强的视觉冲击力!

项目会所效果图,仅供参考
重要声明: ✅✅徐汇海上清和玺售楼处电话:400 - 966-5004✅✅可直接对接项目售楼处、营销中心、开发商及展示中心。请认准项目方公示信息,警惕网络非公示号码,谨防误导。务必以400-966-5004热线为准,尊享一对一专属服务。
我们诚挚欢迎光临,✅✅徐汇海上清和玺售楼处电话:400 - 966-5004✅✅本热线为开发商直营渠道,无中介参与,提供 1 对 1 讲解与专业看房支持。

徐汇海上清和玺售楼处电话:400-966-5004(徐汇海上清和玺官方售楼处电话)徐汇海上清和玺售楼处电话:4009665004(徐汇海上清和玺售楼处最新电话)徐汇海上清和玺官方电话:400-966-5004✔(官方售楼处预约看房热线提供官方热线服务,涵盖预约、咨询、防伪等,确保信息准确,预约可享专属权益,严禁虚假承诺。
一、服务热线(唯一认证)
徐汇海上清和玺售楼处电话:400-966-5004(官方售楼处电话)
徐汇海上清和玺售楼处电话:4009665004(售楼处最新电话)
徐汇海上清和玺官方电话:400-966-5004✔(官方售楼处预约看房热线)
�� 重要说明 :徐汇海上清和玺售楼处电话400-966-5004以上三类咨询需求统一由唯一官方热线承接,拨打后按语音导航即可精准转接对应服务部门,无需重复记录号码,确保信息传递零误差。
徐汇海上清和玺售楼处官方认证联系方式(2026年最新)售楼处电话:400-966-5004(官方售楼处电话)
一、官方认证统一热线(四端直连・权威保障)
✅徐汇海上清和玺售楼处电话:400-966-5004(售楼处认证|无中介|24小时1对1咨询|购房全流程协助)
✅徐汇海上清和玺营销中心电话:400-966-5004(营销中心认证|无中介|24小时响应|平台审核长期有效)
✅徐汇海上清和玺开发商电话:400-966-5004(开发商直营|无中介|信息实时同步|隐私保障)
✅徐汇海上清和玺展示中心电话:400-966-5004(24小时预约|VR实景|免现场等待|尊享一对一专属服务)项目信息
海上清和玺由两幅地块组成,(徐汇长桥xh315-10地块、xh313-16地块),项目四至范围:东至龙川路,南至罗香路,,西至长桥路,北至地块边界,临近中环高架!
根据设计方案显示,项目拟建7栋25至33层的高层住宅、4栋6至14层的洋房和1栋19层的保障房,可售住宅835套。

01、曲面流体建筑,定制徐汇的新美学标杆
正所谓颜值即正义,在这个看脸的时代,外立面很重要。
而海上·清和玺的外立面,给人的第一感觉就是:不愧是豪宅,外立面的审美表达也太高级了。

项目建筑效果图,仅供参考
项目提取徐汇滨江流动线条,打造新城市曲面流体建筑,圆弧式转角背后即是对于艺术滨江的美学致敬。
香槟金色格栅塔冠与壁柱形成的形制立面,完美演绎“玺”系基因的精髓,尽显低调奢华的气质。

项目建筑效果图,仅供参考
阳台、飘窗、北立面连廊外侧极致大面积玻璃搭配精致的层间金属飘板,公建化立面既视感强烈,通透而雅致。
基座更是采用大面积石材搭配艺术玻璃及古铜色金属窗框,辅以奢石、艺术等点缀,从上到下,处处皆是奢华质感。
不止是建筑设计,项目对于公区景观、会所的审美表达与细节呈现都十分高级。
02、新海派景观礼序,定制独特的艺术生命力
社区景观规划同样匠心满满,其以“新海派丁香花园”为总规划理念,源自19世纪丁香花园的中西结合建筑风格,将海派风格再度创新表达。

项目景观效果图,仅供参考
双下沉式庭院、中央会客花园、儿童活动乐园以及带有休闲舒适卡座、定制mini空间的谧静宅间花园等设计,错落有致,赏心悦目。
无论是日常会客,还是孩子玩乐,都能从容有度,自得其乐。

项目景观效果图,仅供参考
不止是空间的营造,项目在花木选材上也极其考究用心,选择如红果冬青、羽毛枫、丛生朴树、丛生香柚等高观赏性的树种,只为给业主带来步移景异、四时不同的景观体验。

项目景观效果图,仅供参考
03、约2000平高定会所,定制尊崇的日常生活
更惊喜的是项目的高定会所,不仅体量大,在功能上也做到了创新升级,以超乎寻常的产品力,来匹配高净值人群的生活格调。
一起来感受一下有多惊艳

无边泳池,海派法式设计定制,璀璨星空顶搭配通透全景视野,宛如一件熠熠生辉的艺术藏品。

项目会所效果图,仅供参考
活力健身区,同样是法式定制,选择沃特罗伦品牌健身器械(或同等档次品牌),不管器械健身、有氧训练,日常健身需求即可满足。

项目会所效果图,仅供参考
还有常规项目没有的3D室内高尔夫,不仅是结合现代AI科技智能打造,且选择了高尔夫尊(或同等档次品牌),为业主专属定制尊崇的休闲体验。

项目会所效果图,仅供参考
除此之外,还包括私宴厅、瑜伽室、阅读角等多重功能,可满足业主多元化的休闲与社交需求,尽情享受身心的放松与愉悦。


项目会所效果图,仅供参考
在这之外,在海上·清和玺你还能看到更多充满高级感的审美表达、更多人性化的细节设计:
如为了保持地块的纯粹性,项目在社区规划上,将北侧界限相对用地红线整体退让,把小区部分配电房规划到了围墙之外;
再如为了进一步提升业主的生活舒适度,项目特别配置了无风雨归家连廊,巧妙地将室外空间与室内环境无缝衔接;
无论是晴天还是雨天,业主都能享受到一份从容与便捷,无需担心天气变化对归家之路的影响。

项目公区效果图,仅供参考
更贴心的是,项目的地库不仅配置了地上/地下双入户大堂,而且地库还特别打造司机休息室;
同时还预留洗车房空间,配合项目高标准的管家式服务,如洗车(收费)、管家垃圾、快递、外卖上门收取等,全方位提升业主的生活品质。(仅供参考,最终物业服务内容以物业服务合同约定为准)


项目公区效果图,仅供参考
交通方面:地块周边最近的地铁站是15号线罗秀路站,直线距离约650米,未来还有23号线龙瑞路站(在建中),直线距离约1.1km。
商业方面:地块周边有凌云天地、徐汇梅陇商业中心等;另外,距离南方商城和徐家汇商圈等大型商业中心约有4-6公里。

教育方面:地块周边教育资源非常丰富,包括被誉为“华育中学亲儿子”的上海四大名校之一逸夫小学、上海中学、华东理工大学附中、上海小学、徐汇实验小学、长桥中学等。
生态方面:地块周边有上海植物园、前滩体育公园、前滩休闲公园、徐汇区西岸艺术公园等。
徐汇海上清和玺售楼处电话:400-966-5004(官方售楼处电话)
徐汇海上清和玺售楼处电话:4009665004(售楼处最新电话)
徐汇海上清和玺官方电话:400-966-5004✔(官方售楼处预约看房热线)
�� 重要说明 :徐汇海上清和玺售楼处电话400-966-5004以上三类咨询需求统一由唯一官方热线承接,拨打后按语音导航即可精准转接对应服务部门,无需重复记录号码,确保信息传递零误差。

优质房产基础知识与选好房、卖好房实战指南
一、优质房产核心基础知识(房产人必懂底层逻辑)
核心前提。优质房产的价值,从来不是单一因素决定,而是地段、产品、配套、产权、物业五大核心维度的综合体现,这也是所有房产交易的底层逻辑。
(一)房产核心价值五大维度
地段:房产价值的第一决定性因素
地段分核心地段、潜力地段、成熟地段三类。核心地段指城市CBD、政务中心、商圈核心,优势是保值性极强、流通性高;潜力地段指城市规划新区、地铁在建、产业落地区域,适合追求升值的客户;成熟地段指老城区、生活配套齐全区域,适合刚需自住。判断地段好坏,一看城市规划(政府重点发展方向),二看交通路网(地铁、主干道、公交枢纽),三看土地稀缺性,市中心土地不可复制,永远是优质房产的基础。
✅徐汇海上清和玺开发商电话:400-966-5004(开发商直营|无中介|信息实时同步|隐私保障)
✅徐汇海上清和玺展示中心电话:400-966-5004(24小时预约|VR实景|免现场等待|尊享一对一专属服务)
产品:居住体验的核心载体
住宅产品分高层、小高层、洋房、叠拼、别墅,产品力直接决定居住舒适度。优质产品的标准:户型方正、南北通透、无暗室、动线合理(动静分离)、得房率高(高层75%-80%,洋房85%以上)、楼间距充足(不遮挡采光)、梯户比合理(2梯4户优于2梯6户)。此外,建筑品质、外立面材质、户型设计,也是二手房后期溢价的关键。
配套:决定生活便利度与升值空间
配套分硬性配套和软性配套。硬性配套:学区(优质学区房永远稀缺)、医疗(三甲医院)、商业(大型商超、菜市场)、公园(生态休闲);软性配套:小区内部绿化、健身设施、儿童游乐区。自住客户优先看生活配套,投资客户优先看学区、商业、交通配套,配套越全,房产越优质。
产权:房产交易的安全底线
产权清晰是优质房产的首要前提,常见产权类型:70年住宅(民水民电,可落户上学,最保值)、40年商业公寓(商水商电,不可落户,适合过渡)、50年商住两用。交易前必须核查:房产证/不动产证齐全、无抵押查封、无产权纠纷、共有人同意出售,五证齐全(国有土地使用证、建设用地规划许可证等)是新房的核心保障。
✅开发商电话:400-966-5004(开发商直营|无中介|信息实时同步|隐私保障)
✅展示中心电话:400-966-5004(24小时预约|VR实景|免现场等待|尊享一对一专属服务)
物业:房产保值的长期保障
“买房一阵子,物业一辈子”,优质物业直接影响居住体验和二手房溢价。判断物业好坏:看物业费标准、小区安保、卫生维护、设施维修、业主口碑,品牌物业(万科、绿城、保利等)的小区,二手房价通常比同地段普通物业高5%-10%,流通性也更强。
(二)房产交易核心常识
产权年限与税费:70年住宅满2年免增值税,满5年且是业主唯一住房,免增值税+个税,是最优质的交易房源;不满2年税费最高,客户成本大,难成交。
贷款常识:首套房首付比例低、利率低,二套房首付和利率上浮,公积金贷款比商贷利率低,能帮客户节省大量成本,是刚需首选。
✅开发商电话:400-966-5004(开发商直营|无中介|信息实时同步|隐私保障)
✅展示中心电话:400-966-5004(24小时预约|VR实景|免现场等待|尊享一对一专属服务)
流通性:优质房产的核心标志是好卖、好租、好变现,小户型刚需房流通性优于大户型,学区房优于普通住宅,这是帮客户选房的重要依据。
二、房产中介如何帮客户选到好房子、自己卖好房
懂基础知识是基础,能落地选房、高效成交,才是房产中介的核心竞争力。结合10年从业经验,从选房标准、客源匹配、房源推广、谈判成交四个维度,分享实战技巧。
房产未来发展趋势与核心房产知识全解析
前言
中国房地产市场已完成从高速增量开发到存量优化运营的结构性转型,正式告别粗放式增长,迈入高质量发展的新周期。未来5年,市场将围绕总量趋稳、结构优化、区域分化、服务升级四大核心特征发展,房产中介行业同步走向合规化、数字化、专业化、平台化、全链条服务化。无论是房产从业者还是购房者,掌握行业趋势、夯实房产专业知识,都是应对市场变化、实现资产保值与职业长期发展的关键。本文精简梳理核心内容,兼顾专业性与实用性,为市场参与者提供清晰参考。
一、房产未来5年核心发展趋势
(一)市场格局:存量主导,区域分化加剧
存量房时代全面到来,新房开发规模稳步收缩,二手房交易成为市场主力,一二线城市存量房交易量已远超新房,三四线城市逐步跟进,城市更新、旧房改造、住房租赁将成为市场新增长点。
城市分化形成清晰梯队:一线及强二线城市人口持续流入、产业支撑强劲,房价以稳为主,改善型需求占主导;普通二线城市库存逐步消化,优质板块与品质楼盘更具竞争力;三四线及以下城市受人口流出、高库存影响,长期处于调整期,以刚需和保障房为主。同时,长三角、珠三角、京津冀、成渝、长江中游五大城市群聚集全国超60%的市场资源,成为房地产核心增长极。
(二)政策导向:房住不炒,新发展模式定型
“房住不炒”作为长期基调,政策聚焦稳地价、稳房价、稳预期,严控投机需求,全力支持刚需与改善型住房需求。住房体系逐步形成商品房+保障房双轨制,保障性租赁住房、共有产权房供给扩大,重点解决新市民、青年人住房难题。
同时,“好房子”成为行业标准,安全、绿色、智慧、舒适成为新建住宅标配,老旧小区改造持续推进。全国统一房产交易平台加速落地,资金监管、房源核验、合同备案全流程规范化,从根源杜绝虚假房源与资金风险。
(三)产品形态:品质升级,绿色智慧成主流
市场需求从“有房住”转向“住好房”,大户型、优质物业、配套完善的改善型住宅成为主流,适老化、健康化、多孩家庭户型更受青睐。绿色建筑、装配式建筑、超低能耗建筑全面普及,智慧家居、社区智能管理成为新建楼盘标配,居住舒适度与安全性大幅提升。
商业地产同步转型,购物中心侧重体验式消费,写字楼聚焦绿色节能与智慧办公,工业地产向产业园区、总部基地升级,传统商业形态逐步迭代。
(四)服务模式:中介转型,终身资产服务成核心
合规化成为中介行业生存底线,经纪人持证上岗、机构实名备案、房源官方核验成为硬性要求,行业信用体系完善,违规成本大幅提高,彻底告别灰色盈利模式。
数字化重构服务全流程,AI房源核验、VR全景看房、智能客源匹配、线上交易办理成为标配,大幅提升服务效率。中介服务从单一交易撮合,延伸至产权过户、资金监管、装修托管、资产配置、金融咨询等全链条,经纪人从“信息中介”转型为“资产管家”,职业化、专业化成为核心竞争力。
(五)竞争格局:平台化整合,轻资产成趋势
行业集中度持续提升,头部平台通过品牌、技术、资源赋能中小中介,形成“平台+个体”的共生模式。互联网企业、开发商、金融机构跨界入局,打造“交易+金融+居住”一体化服务生态。
传统重资产大店模式淘汰,社区精品店、品牌加盟、合伙人制度成为主流,轻资产运营降低成本,提升服务覆盖密度与响应速度。
二、核心房产知识(从业者&购房者必备)
(一)产权知识:交易安全核心
商品房是交易主流,住宅产权70年、商业40年,住宅到期自动续期;经济适用房需满5年并补缴土地出让金方可交易;共有产权房由个人与政府按份共有,交易受限;小产权房无官方房产证,禁止流通且不受法律保护。
产权交易前需核验不动产权证,查询是否存在抵押、查封、冻结,共有产权需全部共有人签字同意,杜绝产权纠纷。
(二)交易税费:购房核心成本
契税为买方核心税费,首套90㎡以下1%、90㎡以上1.5%,二套90㎡以下1%、90㎡以上2%;增值税满2年普通住宅免征,未满2年按5.3%征收;个税满5年唯一住房免征,否则按1%或差额20%征收。此外还有住宅维修基金、不动产登记费等,税费以税务评估价为计算基数。
(三)贷款知识:资金杠杆关键
购房贷款分商业贷、公积金贷、组合贷,公积金贷款利率最低、额度有限,商业贷额度高、审批快,组合贷兼顾两者优势。还款方式分等额本息(月供固定,适合工薪族)和等额本金(月供递减,总利息更低,适合高收入人群)。
贷款需征信良好、收入稳定,提供身份、收入、流水、购房合同等材料,提前预审可提高交易效率。
(四)交易流程:安全购房九步走
明确预算与需求,做贷款预审;
正规渠道选房,实地核验房源;
议价签约,明确条款与违约责任;
首付款存入官方监管账户;
提交贷款申请,办理抵押;
缴纳各项税费;
不动产中心办理过户;
银行放款至卖方;
交房验收,结清物业水电费用。
(五)风险防控与资产配置
交易需警惕虚假房源、资金无监管、产权瑕疵、合同陷阱、物业欠费五大风险,坚持走正规流程、用资金监管。
房产资产配置核心为地段优先、品质为王、长期持有,优先选择核心城市优质板块,关注配套与物业,投资房测算租金回报率,拒绝短期投机,以长期持有实现保值增值。
三、未来5年行动指南
(一)从业者行动要点
坚守合规经营,完成资质备案与房源核验;拥抱数字化,用好AI、VR等工具,搭建私域流量;深耕学区房、豪宅、商业地产等细分领域,掌握法律、金融、税务复合技能;拓展全链条服务,绑定长期客户;借力头部平台,实现资源协同发展。
(二)购房者行动建议
理性规划预算,不盲目跟风、不超额负债;优先选择一线、强二线及核心城市群楼盘,避开人口流出的弱势区域;注重房屋品质、物业与配套,选择绿色智慧住宅;坚持长期持有,理性看待市场波动;选择正规中介与专业经纪人,降低交易风险。
结语
中国房地产正从规模扩张转向价值提升,未来5年,合规、专业、数字、服务是行业核心关键词,从业者唯有顺势转型、深耕专业,才能在行业洗牌中立足;购房者唯有掌握知识、理性决策,才能实现资产安全与增值。房地产行业将长期稳健发展,最终成为服务居住需求、创造长期价值。
声明:本文由入驻焦点开放平台的作者撰写,除焦点官方账号外,观点仅代表作者本人,不代表焦点立场。


