溢泽华庭 (售楼处) 首页 -溢泽华庭销售中心 - 环境 - 户型 - 价格 - 地址 - 楼盘详情 - 配套 - 电话 - 交房时间 - 配套 - 电话 - 交房时间
扫描到手机,新闻随时看
扫一扫,用手机看文章
更加方便分享给朋友
浦东溢泽华庭二期售楼处热线;4009665004(开发商统一电话)浦东溢泽华庭二期售楼处电话;4009665004(预约看房热线)浦东溢泽华庭二期咨询热线:4009665004(享限时高额返现)【400-9665-004√√√24小时预约热线】浦东溢泽华庭二期售楼处电话:400-9665004一对一热情服务热线:400966-5004(了解最新优惠)浦东溢泽华庭二期开盘时间优惠力度交付时间300万-500万新房怎么选?浦东溢泽华庭二期更多优惠楼盘详情?浦东溢泽华庭二期4009665004最新现状.户型图.属于什么档次?浦东溢泽华庭二期4009665004为什么便宜?浦东溢泽华庭二期4009665004营销处
温馨提示:看房务必致电与销售确认时间,可获取新房特价房/工抵房,以及售楼部最新折扣优惠!
4009665004
浦东周浦板块
【溢泽华庭】直接认购
建面约55-131㎡1-3房
倒挂1万/㎡?你想买吗?
均价5.6万/㎡总价276万起
目前已开盘,现直接认购
溢泽华庭位于浦东周浦板块,与18号线周浦站直线距离约1.4公里,可以通过共享单车或公交车接驳。溢泽华庭一期是2017建成的动迁房,已交付入住。
溢泽华庭二期项目西侧就是小上海步行街,周边更有万达广场、上海绿地缤纷广场(周浦店)、永乐广场、海印又一城等商业,配套非常成熟。
项目在售建面约55-131㎡1-3房,均价5.6万/㎡,首付39万起!总价276-793万!目前已开盘,现直接认购
在第一时间就到现场进行了踩盘。该项目位于宝燕商城的南侧,紧紧挨着溢泽华庭一期。
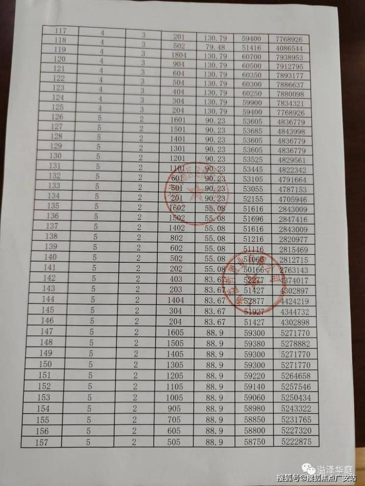
示意图,仅供参考

据了解,项目由6栋16-20F的高层住宅组成,为原拆原建的回迁安置房小区,动迁户已经完成了签约。此次名单中的185套房源,便是完成签约后的剩余房源。
从当初的文件来看,大约是在2018年年底左右开始动工的。整个小区由2幢20层住宅、2幢18层住宅、1幢16层住宅、6幢5层住宅、1座4层商场、1座开关站、1座生活垃圾压缩站、3座独立门卫、1座地下机动车库(含人防)构成。

现在,从现场的施工情况来看,整个小区已经处于一个准现房的状态。建筑的外立面和玻璃窗也都已经弄得差不多了,但是小区内部绿化还在施工建造中。
项目大体是2梯4户的设计。毕竟是动迁房小区,社区虽然和近几年的商品房社区还是有一定差距的,但是与隔壁的一期相比还是强上不少的。
有意思的是,在二期里面,东门位置就是浦东新区的文物保护点——怡蘐小筑!
相传是一位朱姓人家的老宅,是近现代重要史迹及代表性建筑中的传统民居。
前后二进院落,共有房12间,占地面积559.75平方米,建筑面积455.9平方米,坐北朝南。钢筋混凝土结构,硬山灰瓦顶。门面为欧式风格,门廊雕饰精美,入内是一大院子和第一进面阔3间二层大厅,第二进正房面阔3间,西厢房面阔2间,东面为直上二楼木楼梯,具中西合壁风格。
2017年1月25日,怡蘐小筑被浦东文广影视局公布为浦东新区文物保护点,未来会派什么用处还不得而知。
而这位朱姓人家,也喜欢种牡丹,在溢泽华庭一期西门位置,就有过百年牡丹,算是周浦一处小有名气的打卡点。
说实话,这个地方,关岳路康沈路,是周浦老镇的核心地段。小上海步行街就在关岳路南边,这可以说是周浦老镇以前最为繁华的地段了,不过现在已经没落了!现在随着万达广场、绿地缤纷广场、印象生活广场等商业的崛起,日常生活的大部分需求都能得到满足。
项目距离18号线周浦站直线距离大约1.3公里,步行要2公里与地铁盘感觉上还是相差比较远的。
此外项目周边还有周浦小学文康路校区、上海市傅雷中学等学校以及周浦医院等配套。项目2公里范围内有周浦文化公园、周浦体育中心(在建)等配套。
总的来说,周浦老镇这个地方以前是个非常繁华的地方,但是现在,路窄、商业能级低,周边还有棚户,但现在给人的感觉就是“市井”气息太浓了。
最后我们来看看购房者比价关心的价格,此次溢泽华庭二期的备案价格为5.6万/㎡。与项目一期的二手房挂牌价相比其实差不多。
根据链家网络上的数据显示,溢泽华庭一期一套建面约75㎡的2房,总价约410万,挂牌均价约为55190元/㎡。仅比二期的挂牌均价略低一点。

项目周边多是一些像周东公寓、周东二村等老旧小区,挂牌均价大多都在4.5万+/㎡左右;而再南侧一点的莫奈庄园、印象春城这类房龄稍微新一点的小区,价格大多在6万+/㎡。
考虑到这些项目的房龄都偏大,价格比较起来可能有失偏颇。如果参照物挪到小上海步行街的地方,像绿地东上海、东原印柒雅的二手价格可以看到6.6万/㎡,或者6.7万/㎡,倒挂可以看到约1万/㎡!

浦东周浦【溢泽华庭】建面约55-131㎡1-3房,均价5.6万/㎡!
浦东溢泽华庭二期售楼处电话:4009665004【浦东溢泽华庭二期开发商售楼中心热线】浦东溢泽华庭二期营销中心热线400-9665-004浦东溢泽华庭二期售楼处地址4009665-004,售楼处电话楼盘项目全面介绍,业主评论?浦东溢泽华庭二期4009665004真实评价?是学区房吗?都是住什么人?400 966 5004发布浦东溢泽华庭二期 新 优缺点 400 9665 004利弊?本电话为开发商提供线上预约售楼电话,浦东溢泽华庭二期400/966/5004楼盘项目在哪里
浦东溢泽华庭二期(包含楼盘简介,浦东溢泽华庭二期均价,房价,浦东溢泽华庭二期现房,期房,别墅,叠墅,大平层,价格,楼盘地址,浦东溢泽华庭二期户型图,交通规划,备案价,备案名,浦东溢泽华庭二期400 9665 004项目配套,样板间,浦东溢泽华庭二期开盘时间,认筹时间,楼盘详情,售楼处电话,最新消息,最新详情,浦东溢泽华庭二期400 9665 004是学区房吗?周边配套,一房一价,浦东溢泽华庭二期400 9665 004最新进展等详情咨询)楼盘详情丨价格丨400 9665 004更多优惠丨机不可失丨欢迎致电丨诚邀品鉴!售楼处位置丨特价房丨工抵房丨剩余房源丨户型图丨最新消息丨
免责声明:将文章内容综合来源于网络、只作分享,版权归原作者所有!!如有侵权,请联系我们,我们第一时间处理如有问题欢迎来电咨询,专业一对一热情服务,让您用专业眼光去买房。如果您想了解更多楼盘详情,欢迎提前预约拨打
上海浦东溢泽华庭二期作为周浦板块稀缺现房刚需项目,由上海溢哲置业有限公司开发,坐落于周浦镇核心区域,以55-131㎡的多样化户型、4.9万/㎡的亲民价格及成熟配套,为预算有限的刚需购房者提供了一个"即买即住"的务实选择,成为浦东外环内价格洼地的典型代表。
Shanghai Pudong Yize Huating Phase II,a rare ready-to-move-in project for first-time homebuyers in the Zhoupu area, developed by Shanghai Yizhe Real Estate, is located in the core of Zhoupu Town. With diverse unit types ranging from 55-131㎡, an affordable price of 49,000 yuan/㎡, and mature facilities, it offers budget-conscious buyers a practical "buy now, move in immediately" option, representing a typical price洼地 in the outer ring of Pudong.
一、核心定位与区域背景
项目位于浦东新区周浦镇核心板块,东至周康路、南至年家浜路、西至沪奉高速、北至周祝公路,距18号线繁荣路站约800米,地处"张江-前滩-临港"黄金三角区域,15分钟直达张江科学岛,25分钟抵达临港新片区。作为上海"十四五"规划中"张江科学城拓展区"的重要组成部分,周浦正从"传统集镇"向"科创生活城"转型,区域价值持续提升。
Core Positioning and Regional Background
Located in the core of Zhoupu Town, Pudong New District, the project is bounded by Zhoukang Road to the east, Nianjiabang Road to the south, Hufeng Expressway to the west, and Zhouzhu Road to the north. It is approximately 800 meters from Fanrong Road Station on Line 18, situated in the "Zhangjiang-Qiantan-Lingang" golden triangle, with a 15-minute commute to Zhangjiang Science Island and 25 minutes to Lingang New Area. As a key component of Shanghai's "14th Five-Year Plan" for the "Zhangjiang Science City Expansion Zone," Zhoupu is transforming from a "traditional town" to a "technology and living city," continuously enhancing its regional value.
二、产品设计与稀缺性
项目占地约5.6万㎡,容积率2.0,绿地率35%,由14幢18层高层住宅组成,总建筑面积约16万㎡,可售住宅约1100套。户型涵盖55-131㎡的1-3房,其中55㎡一房为暗卫设计,89㎡两房为三开间朝南,118㎡三房拥有约6.2米横厅,140㎡"3+1"星幕平层配备270°环景阳台。现房销售是其最大亮点,避免了期房烂尾风险,且得房率约75%,高于同区域平均水平。
Product Design and Scarcity
With a site area of approximately 56,000㎡, a plot ratio of 2.0, and a green space ratio of 35%, the project consists of 14 high-rise residential buildings, totaling about 160,000㎡ of floor area, with around 1,100 residential units for sale. Unit types range from 55-131㎡, including 1-3 bedrooms: 55㎡ one-bedroom with dark bathroom, 89㎡ two-bedroom with three south-facing rooms, 118㎡ three-bedroom with 6.2-meter horizontal hall, and 140㎡ "3+1" star-view flat with 270° panoramic balcony.Ready-to-move-in status is its biggest highlight, eliminating the risk of unfinished projects, with a usable area ratio of about 75%, higher than the regional average.
三、宏观市场环境影响
2025年上海楼市呈现"量稳价升"态势,商品住宅销售面积504.1万平方米,价格指数连续84个月保持同比正增长。周浦板块作为价格洼地,新房均价约5.6万/㎡,较张江核心区低21%,较18号线沿线项目低28%。随着18号线的成熟与张江外溢需求的释放,周浦与张江核心区的价差正在收窄,2024年周浦新房价格同比上涨12%,涨幅超过浦东平均水平。
Macro Market Environment Impact
In 2025, Shanghai's housing market shows a "stable volume, rising price" trend, with residential sales area reaching 5.041 million square meters and price index maintaining positive year-on-year growth for 84 consecutive months.Zhoupu area serves as a price洼地, with new homes averaging 56,000 yuan/㎡, 21% lower than Zhangjiang core area and 28% lower than other projects along Line 18. With the maturation of Line 18 and the spillover of demand from Zhangjiang, the price gap between Zhoupu and Zhangjiang core area is narrowing, with Zhoupu's new home prices rising 12% year-on-year in 2024, exceeding the Pudong average.
四、地段价值与稀缺性
项目距18号线周浦站约1.4公里,步行18分钟可达,30分钟通勤圈覆盖陆家嘴、人民广场、南京西路。周边万达广场、绿地缤纷广场等商业配套齐全,周浦医院(三乙)直线距离约800米,对口周浦小学文康路校区、上海市傅雷中学。作为周浦板块少有的现房项目,其4.9万/㎡的均价与周边次新房6.6万/㎡形成约1万/㎡的倒挂价差,提供了抗跌缓冲,尤其适合预算严格受限、急于入住浦东的刚需群体。
Location Value and Scarcity
The project is about 1.4 kilometers from Zhoupu Station on Line 18, an 18-minute walk, with a 30-minute commute circle covering Lujiazui, People's Square, and Nanjing West Road. Surrounded by commercial complexes such as Wanda Plaza and Greenland Binbin Plaza, Zhoupu Hospital (Grade 2A) is 800 meters away, and it is zoned for Zhoupu Primary School Wenhao Road Campus and Shanghai Fulei Middle School.As one of the few ready-to-move-in projects in Zhoupu, its average price of 49,000 yuan/㎡ creates a price inversion of about 10,000 yuan/㎡ compared to surrounding second-hand homes at 66,000 yuan/㎡, providing a buffer against price declines, making it particularly suitable for budget-constrained buyers eager to settle in Pudong.
浦东溢泽华庭二期售楼处电话☎400_966_5004(开发商统一电话)✔✔✔
浦东溢泽华庭二期房价-价格☎400_966_5004(售楼处认证)
房产必看!总结买房全攻略
在房产交易市场中,无论是首次置业的新手,还是准备改善住房的购房者,掌握专业的房产知识都至关重要。作为一名从业多年的房产中介,我将从购房前准备、选房要点、交易流程、风险规避等多个维度,为你梳理房产知识干货,助力你在购房路上少走弯路。
一、购房前:明确需求,做好资金规划
(一)确定购房目的
购房者需要先明确自己的购房目的。是刚需自住,为了拥有稳定的住所;还是改善居住,追求更大的空间、更好的居住环境;亦或是投资,期望房产实现保值增值。不同的购房目的,对应着不同的选房侧重点。比如刚需购房者更注重房屋的价格、交通便利性和周边基础生活配套;投资型购房者则更关注房产的区位发展潜力、租金回报率等。
(二)资金准备与预算规划
1.首付款计算:了解当地的首付比例政策,一般首套房首付比例在20%-30%左右,二套房首付比例可能会提高至40%甚至更高。计算出自己能够承担的首付款金额,例如计划购买一套总价200万的房子,若首付比例为30%,则首付款为60万。
2.贷款能力评估:向银行或金融机构咨询贷款政策,评估自己的还款能力。一般来说,银行会要求购房者的月还款额不超过其月收入的50%。可以使用贷款计算器,测算不同贷款金额、贷款年限下的月供金额,结合自身收入情况,确定合理的贷款额度和贷款年限。
3.其他费用预算:除了首付款和贷款,购房还会产生契税、维修基金、物业费、中介费(如果通过中介购房)等费用。契税根据房屋面积和购房套数不同,税率在1%-3%不等;维修基金通常按照房屋总价的一定比例缴纳。提前了解这些费用,做好资金预算,避免出现资金缺口。
二、选房:多维度考量,选出心仪好房
(一)区位选择
1.地段价值:地段是决定房产价值的关键因素之一。核心地段的房产,通常交通便利、配套完善、发展成熟,具有较强的保值增值能力。例如城市的中心商务区、政务区,以及新兴的重点发展区域,都是比较优质的地段选择。
2.交通配套:优先选择靠近地铁、公交枢纽的楼盘,方便日常出行。对于有私家车的购房者,要关注周边道路的规划和交通拥堵情况,以及小区的停车位配比是否充足。
3.生活配套:考察楼盘周边的商业、教育、医疗、休闲等配套设施。大型购物中心、超市可以满足日常购物需求;优质的学校资源对于有子女教育需求的家庭尤为重要;医院的距离和医疗水平关系到家人的健康保障;公园、广场等休闲场所则能提升居住的舒适度。
(二)楼盘与户型分析
1.开发商品牌与口碑:选择知名且信誉良好的开发商,其开发的楼盘在房屋质量、施工进度、物业服务等方面更有保障。可以通过网络搜索、业主论坛、实地考察等方式,了解开发商过往项目的评价和口碑。
2.楼盘规划与环境:关注楼盘的容积率、绿化率、楼间距等指标。容积率低、绿化率高的小区,居住密度小,环境优美;楼间距大则能保证充足的采光和通风。此外,还要了解小区的内部配套设施,如幼儿园、健身设施、社区活动中心等是否完善。
3.户型选择:根据家庭人口数量和居住需求,选择合适的户型。户型方正、南北通透、布局合理的房子更受欢迎。要注意房间的功能分区是否科学,动静分区是否明确,卧室、客厅、厨房等空间的尺寸是否合理,是否有浪费面积等问题。
三、房产交易:规范流程,保障权益
(一)签订购房合同
1.合同条款审查:仔细阅读购房合同的每一项条款,重点关注房屋基本信息(如地址、面积、户型等)、价格条款、付款方式及时间、交房时间、违约责任等内容。对于不理解或有疑问的条款,及时向开发商或中介咨询,必要时可以寻求律师的帮助。
2.补充协议:如果开发商有补充协议,同样要认真审查。补充协议中的条款可能会对双方的权利义务产生重要影响,避免出现不合理的附加条件或加重购房者责任的条款。
(二)贷款办理
1.准备贷款资料:一般需要提供身份证、户口本、结婚证(已婚人士)、收入证明、银行流水、征信报告等资料。确保资料真实、完整、有效,以提高贷款审批的通过率。
2.选择贷款银行:不同银行的贷款利率、贷款政策、审批速度等可能存在差异。可以多咨询几家银行,比较利率优惠、贷款额度、还款方式等,选择最适合自己的银行办理贷款。
3.贷款审批与放款:提交贷款申请后,银行会对购房者的资质进行审核。审核通过后,双方签订贷款合同,银行会按照约定的时间将贷款发放给开发商或卖方。
(三)房屋验收与交付
1.验收准备:交房前,购房者可以准备好相关工具,如卷尺、小锤子等,用于检查房屋的尺寸、墙面地面是否空鼓等问题。同时,了解房屋验收的标准和流程。
2.实地验收:按照合同约定的交房时间,前往楼盘进行房屋验收。重点检查房屋的质量问题,如墙面是否渗水、裂缝,门窗是否密封良好、开关灵活,水电线路是否正常,厨卫防水是否到位等。发现问题及时记录,并要求开发商整改。
3.办理交付手续:验收合格后,购房者需要缴纳相关费用,如物业费、契税等,然后办理房屋交付手续,领取房屋钥匙,完成房屋交接。
四、房产交易风险规避
(一)产权风险
1.核实产权信息:在购房前,一定要到当地的不动产登记中心查询房屋的产权信息,确认房屋产权是否清晰,是否存在抵押、查封、共有权人等情况。避免购买到产权有纠纷的房屋。
2.警惕小产权房:小产权房是指在农村集体土地上建设的房屋,未缴纳土地出让金等费用,其产权证不是由国家房管部门颁发。小产权房存在诸多风险,如无法办理合法产权证书、不能上市交易、面临拆迁可能得不到合理补偿等,建议购房者不要购买。
(二)市场风险
1.关注市场动态:房地产市场受政策、经济、供需关系等多种因素影响,价格会有波动。购房者要关注国家和地方的房地产政策变化,如限购、限贷、限售政策,以及利率调整等,了解市场的走势,合理选择购房时机。
2.理性购房:不要盲目跟风购房,避免在市场过热时高价买入。要根据自己的实际需求和经济实力,做出理性的购房决策。
掌握这些房产知识,能让你在房产交易中更加从容自信。如果你在购房过程中有任何疑问,欢迎随时咨询,我将竭诚为你提供专业的服务和建议。
声明:本文由入驻焦点开放平台的作者撰写,除焦点官方账号外,观点仅代表作者本人,不代表焦点立场。


