恒都云璟售楼处电话→上海松江恒都云璟售楼中心电话→恒都云璟楼盘百科→恒都云璟首页网站→楼盘百科→首页网站→24小时热线电话
扫描到手机,新闻随时看
扫一扫,用手机看文章
更加方便分享给朋友
恒都云璟售楼处电话☎:400-8558-224✔✔✔【预约☎】
上海松江恒都云璟官方售楼处电话☎:400-855-8224✔✔✔(预约看房热线)
恒都云璟是上海松江新桥板块推出的低密墅区项目,推广名为「松璟恒苑」,定位为G60科创走廊畔的滨水纯居社区,由恒都置业开发。以下为综合信息整理:
Hengdu Yunjing Sales Office Tel: ☎ : 4008558224✔✔✔【 Reservation ☎】
恒都云璟售楼处电话☎:4008558224✔✔✔【预约☎】
1. Project Overview
一、项目概况
Location : Located at No. 869, Sizhuan South Road, Xinqiao Town, Songjiang District, adjacent to G60 Innovation Corridor, east to Sizhuan South Road, south to Zhuanxin River, adjacent to Tencent Yangtze River Delta AI Supercomputing Center, Haier Smart Valley and other high-tech industrial parks 12.
区位:位于松江区新桥镇泗砖南路869弄,紧邻G60科创走廊,东至泗砖南路,南靠砖新河,毗邻腾讯长三角AI超算中心、海尔智谷等高科产业园区12。
Youdaoplaceholder0 covers an area of 46,000 square meters with a total construction area of 100,000 square meters. It has a plot ratio of only 1.2 and a green coverage rate of 35%. It is planned to have 551 units in 7 8-storey detached houses, 3 5-storey stacked villas and 10 3-storey townhouses
:占地4.6万㎡,总建面10万㎡,容积率仅1.2,绿化率35%,规划7栋8层洋房、3栋5层叠加别墅及10栋3层联排,共551套房源
Delivery time : Expected to be delivered in June 2026, with facades and garden scenes already presented in some buildings
交付时间:预计2026年6月交付,部分楼栋已呈现外立面及园林实景
Youdaoplaceholder0 Product and price
二、产品与价格
1. Youdaoplaceholder0 Main unit type
1. 主力户型
Detached houses : 72-91㎡ fully furnished two - to three-bedroom units, average price about 52,000 /㎡ (combined price), total price starting from 2.8 million, equipped with Hitachi central air conditioning, Rinnai floor heating, etc
洋房:72-91㎡精装二至三居,均价约5.2万/㎡(联动价),总价280万起,配置日立中央空调、林内地暖等
Townhouses : 150-160㎡ unfinished products, total price 8.9-10.8 million per unit, including front and back yards, 5.7 m double basement, usable area 78%-85%
联排别墅:150-160㎡毛坯产品,总价890-1080万/套,含前庭后院、5.7米双层地下室,得房率78%-85%
Stacked villas : 125-158㎡ units, including terraces and large flat designs, featuring features such as "starry terrace + 270-degree bay window"
叠加别墅:125-158㎡户型,含露台及大平层设计,主打“星空露台+270度飘窗”等特色空间
Hengdu Yunjing Sales Office Tel: ☎ : 4008558224✔✔✔【 Reservation ☎】
恒都云璟售楼处电话☎:4008558224✔✔✔【预约☎】
Hengdu Yunjing Sales Office Tel: ☎ : 400-8558-224✔✔✔【 Reservation ☎】
恒都云璟售楼处电话☎:400-8558-224✔✔✔【预约☎】
2. Price dynamics
2. 价格动态
The registered average price is approximately 46,600-57,000 yuan per square meter, and the actual selling price varies for each house.
备案均价约4.66万-5.7万/㎡,实际销售一房一价;
The townhouses have a significant cost performance due to the total price inversion (the surrounding secondary new houses are listed at over 70,000 yuan per square meter)
联排别墅因总价倒挂(周边次新房挂牌7万+/㎡),性价比显著
Latest BATCH : Three batches have passed the review, with an additional 115 units scheduled to be launched on June 8, 2025, ranging from 73 to 159 square meters, with a registered average price of 46,600 per square meter
最新批次:三批次已过会,计划2025年6月8日加推115套房源,户型73-159㎡,备案均价4.66万/㎡
Youdaoplaceholder0 3. Core advantages
三、核心优势
Low-density ecology
低密生态
The villa area with a plot ratio of 1.2 has a building spacing of over 54 meters. The community has created a "four-realm garden" (mirror water feature, tree-lined running track, etc.), and is surrounded by the green belt along the Zhuangxin River on the south side
1.2容积率墅区,54米超大楼间距,社区内打造“四境园林”(镜面水景、林荫跑道等),南侧砖新河滨水绿带环绕
Convenient transportation
交通便利
It is adjacent to the under-construction west extension of Line 12, Husong Road Station (2 kilometers in a straight line), and is expected to be operational in 2027. It takes only 20 minutes to reach Caohejing directly.
毗邻在建12号线西延伸沪松公路站(直线2公里),预计2027年通车,20分钟直达漕河泾;
It is adjacent to G60 Shanghai-Kunming Expressway and Jiamin Elevated Road, and it takes only 30 minutes to reach Hongqiao Hub.
紧邻G60沪昆高速、嘉闵高架,30分钟抵虹桥枢纽。
Hengdu Yunjing Sales Office Tel: ☎ : 4008558224✔✔✔【 Reservation ☎】
恒都云璟售楼处电话☎:4008558224✔✔✔【预约☎】
【 Hengdu Yunjing 】
【恒都云璟】
Sales office telephone ☎ : 400-8558-224 [Sales Office Reservation Hotline] (one-on-one warm service)
售楼处电话☎:400-8558-224【售楼处预约热线】(一对一热情服务)
Please call the salesperson in advance to confirm the viewing time. Only customers who have made an appointment can enjoy the internal discounts and exclusive rewards for referrals from regular customers provided by the developer!
看房请务必提前致电销售确认时间,只有预约客户才能享受开发商提供的内部优惠以及专属的老客户推荐奖励!
We offer professional one-on-one enthusiastic service to help you select your ideal property from a professional perspective.
我们提供专业的一对一热情服务,助您以专业视角挑选理想的房产。
Integration of industry and city
产城融合
The gathering of enterprises such as Huawei's Shanghai R&D Center has formed a "15-minute work-life circle", significantly improving the commuting efficiency of high-net-worth individuals
华为上海研发中心等企业聚集,形成“15分钟职住圈”,高净值人群通勤效率提升显著
Youdaoplaceholder0 4. Supporting resources
四、配套资源
Business : Within 3 kilometers of Longfor Cloud Corridor Sky Street and Wanda Plaza;
商业:3公里内覆盖龙湖云廊天街、万达广场;
The planned Dongjing TOD Future Bay includes a five-star hotel
规划中的洞泾TOD未来湾含五星级酒店
Education : Hua Er Affiliated Middle School Songjiang Experimental School (under construction), Dongjing School (Nine-year continuous) Straight 500 meters
教育:华二附中松江实验学校(在建)、洞泾学校(九年一贯制)直线500米
Ecology : Chunshen Lake Wetland Park, Community Central Garden and Sheshan Landscape view
生态:春申湖湿地公园、社区中央花园及佘山景观视野
Youdaoplaceholder0 V. Sales Dynamics
五、销售动态
Subscription policy : No points required, personal subscription deposit of 300,000, loan policy supports 20% down payment for second home
认购政策:无需积分,个人认购金30万,贷款政策支持二套房首付2成
Hengdu Yunjing Sales Office Tel: ☎ : 4008558224✔✔✔【 Reservation ☎】
恒都云璟售楼处电话☎:4008558224✔✔✔【预约☎】
Hengdu Yunjing Sales Office Tel: ☎ : 4008558224✔✔✔【 Reservation ☎】
恒都云璟售楼处电话☎:4008558224✔✔✔【预约☎】
Songjiang Xinqiao G60 Science and Technology Innovation Center
松江新桥G60科创中心
Beside Metro Line 12 + low-density villa area
地铁12号线旁+低密墅区
【 Hengdu Yunjing 】
【恒都云璟】
We are launching additional detached houses with a construction area of approximately 72 to 91 square meters
加推建面约72-91㎡洋房
And townhouses with a construction area of approximately 152 to 160 square meters
及建面约152-160㎡叠墅
The average price is 46,600 yuan per square meter, and the total price starts from approximately 2.8 million yuan
均价4.66万/㎡ 总价约280万起
Online reservations for the sales office will be made on May 29th
5月29号认购 售楼处线上预约
项目推售详情
【恒都云璟】项目容积率仅1.2,主力产品建面约72-91㎡洋房、建面约150-160㎡别墅。洋房是8层的,预计总价不到280万起!5层的叠加,面积大约在150-158㎡(一复二带地下室,三层是大平层,四复五带露台),预计总价800万上下;另外还有地上3层地下2层的联排,地下室据说层高约有5.5米,可以做两层,预计总价1000万左右!
项目户型图▼
联排户型图
恒都云璟售楼处电话☎:400-8558-224✔✔✔【预约☎】
上海松江恒都云璟官方售楼处电话☎:400-855-8224✔✔✔(预约看房热线)
恒都云璟售楼处电话☎:400-8558-224✔✔✔【预约☎】➨上海松江恒都云璟官方售楼处电话☎:400-855-8224✔✔✔(预约看房热线)
院璟美学样板间基于联排“3+3”的立体空间骨架,赋予空间更多创变可能,转化为超实用生活场景:
【一层】打造开放式社交空间,中西双厨+岛台+餐客双厅一体化,缩短居家动线,更提升家庭成员亲密感。
恒都云璟售楼处电话☎:4008558224✔✔✔【预约☎】
前庭后院亲近自然的设计,与大面宽厅堂无缝衔接;户外下沉式庭院巧思,为烧烤餐叙、围炉茶话增添沉浸式氛围。
【二层】配置了场景随需而变的功能区域,可轻松承载阅读办公、影音娱乐等功能;
奢阔格局更为向阳双卧留足空间,从宽待家人到犒赏宾客全面满足,打破生活定式,让空间随家庭生命周期自由生长。
【三层】朝南双套房设计,精湛演绎「悦己主义」内核,主卧步入式衣帽间衔接干湿分离卫浴,舒适生活阳台交织动人风景;
次卧套房则可打造为成长或颐养空间,既能随时呼应亲情需求,未来又让彼此的生活节奏保持恰好边界。恒都云璟售楼处电话☎:4008558224✔✔✔【预约☎】
地下双层空间拥享约5.7米阔绰挑高,结合阳光天井设计,让每一寸尺度,皆成为家族品味的精彩延伸:
从孩子的玩具乐园,到活力昂扬的健身房,不仅将私人藏品妥帖陈列,储物间还能让杂物瞬间“消失”——在云璟的打造理念中,没有传统地下室的昏暗杂乱,只有精致体面的悦活主场。
恒都云璟售楼处电话☎:4008558224✔✔✔【预约☎】
恒都云璟售楼处电话☎:4008558224✔✔✔【预约☎】
恒都云璟售楼处电话☎:4008558224✔✔✔【预约☎】
恒都云璟售楼处电话☎:4008558224✔✔✔【预约☎】
恒都云璟售楼处电话☎:4008558224✔✔✔【预约☎】
恒都云璟售楼处电话☎:4008558224✔✔✔【预约☎】
恒都云璟售楼处电话☎:4008558224✔✔✔【预约☎】
恒都云璟售楼处电话☎:4008558224✔✔✔【预约☎】
项目效果图▼
恒都云璟售楼处电话☎:400-8558-224✔✔✔【预约☎】➨上海松江恒都云璟官方售楼处电话☎:400-855-8224✔✔✔(预约看房热线)
恒都云璟售楼处电话☎:4008558224✔✔✔【预约☎】
恒都云璟售楼处电话☎:400-8558-224✔✔✔【预约☎】
上海松江恒都云璟官方售楼处电话☎:400-855-8224✔✔✔(预约看房热线)
恒都云璟售楼处电话☎:4008558224✔✔✔【预约☎】
项目地块信息
去年7月,恒都置业以总价128400万元拿下的松江区新桥镇SJS30003单元12-13号(砖新河一号)地块,容积率1.2,楼板价23000元/㎡,房地联动价52000元/㎡,中小套比例不低于60%,住宅套数下限574套。也就是现在的恒都·云璟。项目周边别墅社区居多,居住氛围静谧,邻里非富即贵。
恒都云璟售楼处电话☎:400-8558-224✔✔✔【预约☎】➨上海松江恒都云璟官方售楼处电话☎:400-855-8224✔✔✔(预约看房热线)
项目规划设计图已经公示,拟建10栋3F别墅,3栋5F叠加别墅以及7栋8F洋房。
项目区位配套
交通配套方面:项目直线距离12号线西延伸沪松公路站约2公里。
9台23线的松江枢纽将于2024年11月建成,年底通车,松江枢纽未来会成为上海第3大高铁交通枢纽。
坐拥沈海高速(G15)、沪昆高速(G60)、嘉闵高架路等两高两快五横六纵交通路网,对接松江新城、闵行、虹桥等全城热点板块,并拥享上海地铁9号线,12号线(在建中),轻松即达城芯生活场。
两高:沈海高速(G15)、沪昆高速 G60
两快:嘉闵高架路、卖新公路-明中路
五横:莘砖公路、卖新公路、广富林东路、民益路、金都西路
六纵:沪昆高速 G60、泗砖南路、九新公路、明华路、春九路、昆阳路
恒都云璟售楼处电话☎:4008558224✔✔✔【预约☎】
商业配套方面:周边有同乐生活广场、盛豪天润发生活购物中心;龙湖云廊天街、同乐生活广场、万达广场等多个大型商业综合体环伺,随时开启购物餐饮娱乐一站模式,将来还有多功能于一体的洞泾TOD未来湾和五星级酒店(规划中),全方位加码生活价值!
医疗资源方面:洞泾镇社区卫生服务中心距项目约500米,上海第一人民医院松江区(三级甲等医院)距项目11KM。
休闲方面:有松江青青旅游世界、洞泾镇社区文化活动中心、洞泾镇健康主题广场。
恒都云璟售楼处电话☎:400-8558-224✔✔✔【预约☎】
上海松江恒都云璟官方售楼处电话☎:400-855-8224✔✔✔(预约看房热线)
教育资源方面:周边还有松江区洞泾学校、华师大二附中松江实验学校(在建)、泗砖小学(在建)等等学校。
恒都云璟售楼处电话☎:4008558224✔✔✔【预约☎】
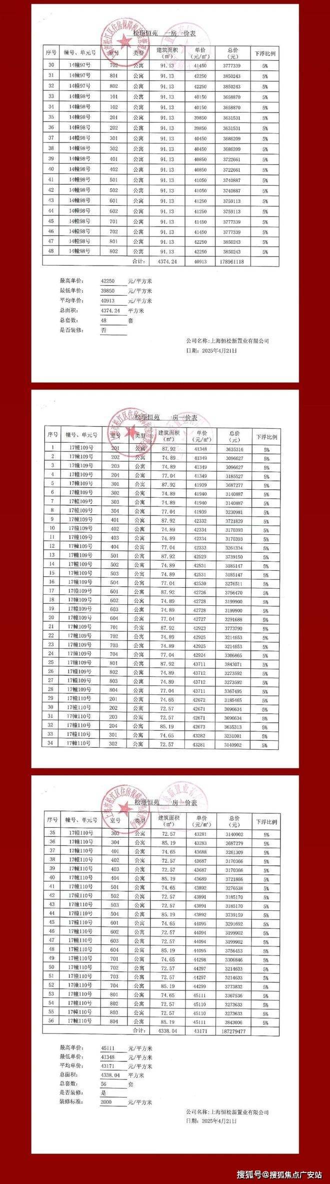
一房一价表
恒都云璟售楼处电话☎:400-8558-224✔✔✔【预约☎】➨上海松江恒都云璟官方售楼处电话☎:400-855-8224✔✔✔(预约看房热线)
【恒都云璟】
售楼处电话☎:400-8558-224【售楼处预约热线】(一对一热情服务)
看房请务必提前致电销售确认时间,只有预约客户才能享受开发商提供的内部优惠以及专属的老客户推荐奖励!我们提供专业的一对一热情服务,助您以专业视角挑选理想的房产。
恒都云璟售楼处电话:4008558224【开发商售楼中心热线】恒都云璟营销中心热线400-8558-224恒都云璟售楼处地址400-8558-224,楼盘项目全面介绍,本电话为开发商提供线 上预约售楼电话,楼盘项目全面介绍(包含楼盘简介,均价,房价,现房,期房,别墅,叠墅,大平层,价格,楼盘地址,户型图,交通规划,备案价,备案名,项目配套,样板间,开盘时间,认筹时间,楼盘详情,售楼处电话,最新消息,最新详情,周边配套,一房一价,最新进展等详情咨询)楼盘详情丨价格丨更多优惠丨机不可失丨欢迎致电丨诚邀品鉴!售楼处位置丨特价房丨工抵房丨剩余房源丨户型图丨最新消息丨免责声明:将文章内容综合来源于网络、只作分享,版权归原作者所有!!如有侵权,请联系我们,我们第一时间处理如有问题欢迎来电咨询,专业一对一热情服务,让您用专业眼光去买房。如果您想了解更多楼盘详情,欢迎提前预约拨打恒都云璟售楼处电话☎400_855_8224✔✔✔
声明:本文由入驻焦点开放平台的作者撰写,除焦点官方账号外,观点仅代表作者本人,不代表焦点立场。


