中企·云萃森林(营销中心)首页网站-中企·云萃森林销售中心(售楼处)-云萃森林楼盘欢迎您-地址-价格-户型-小区环境-楼盘详情-交房时间-周边配套-售楼处电话
扫描到手机,新闻随时看
扫一扫,用手机看文章
更加方便分享给朋友
🔥中企云萃森林🔥
中企云萃森林售楼处电话☎️400-8657-114【售楼中心】【已认证】
中企云萃森林营销中心电话☎️400-8657-114【营销中心】【已认证】
中企云萃森林开发商电话☎️400-8657-114【开发商】【已认证】
售楼中心〢预约尊享1V1品鉴礼遇〢匠心钜制-恭迎品鉴〢
免责声明:【本文所用信息图片来源于网络,如侵权请联系本网站及时删除】
看房请务必提前致电销售确认时间,只有预约客户才能享受开发商提供的内部优惠以及专属的老客户推荐奖励!我们提供专业的一对一热情服务,助您以专业视角挑选理想的房产。

2025年2月起,三林滨江已有一个项目六开六捷,均价约11.8万/㎡。
而同样板块,相距不过1km的【中企云萃森林】,2023年拿证的均价仅约10.5万/㎡。
一方面,2年不到,板块新房均价直升1万+/㎡,这是三林滨江板块价值和潜力的体现。
上海【中企云萃森林】
售楼处电话☎:400-8657-114【售楼处预约热线】(一对一热情服务)
如有问题欢迎来电咨询,预约来电尊享购房优惠,可预约案场内部销售人员,专业一对一热情服务,让您用专业眼光去买房。
基本信息
项目名称:中企云萃森林(备案名:云林名邸)开发商:上海淞泽置业有限公司(中华企业集团与世博土控联合体开发,2021年10月以121.96亿元竞得)位置:上海市浦东新区钟晓路257弄、258弄(三林滨江核心区,前滩南板块)规模:
占地:约10万平方米(150亩)
总建面:约19.42万平方米(含地下)
容积率:2.0(低密宜居)
绿化率:35%
楼栋:16-18层小高层,共16栋
总户数:约547户(另有资料显示约1179户,以官方为准)
产权:70年
物业费:7.8元/㎡/月(中星集团物业)
交房:预计2025年12月31日(精装交付)
★上海中企云萃森林官方售楼处电话:400-865-7114「预约看房专线」中企云萃森林营销中心预约热线/售楼电话:400-8657-114√√(官网已认证)
产品规划
主力户型(精装交付):
户型建面(㎡)结构亮点总价(万)A户型85-902室2厅1卫双开间朝南,5.8米宽景阳台747-860B户型98-1053室2厅2卫三开间朝南,6.5米宽景阳台,主卧套房923-1020C户型123-1254室2厅2卫四开间朝南,横厅设计,主卧套房1100-1280D户型143-1454室2厅2卫南北通透,双阳台,主卧配独立露台1300-1450G/H户型1754-5室2厅3卫四开间朝南,9.2米巨幕阳台,双主卧套房1580-1840
产品亮点:
层高:标准层3.0-3.1米,部分户型3.2米
得房率:约78%-82%(高于市场平均)
精装标准:约5000元/㎡,配备:
中央空调+地暖+新风系统三大件
厨房:西门子/方太厨具,定制橱柜
卫浴:科勒/杜拉维特品牌,智能马桶
全屋智能系统+人脸识别门锁
价格信息(2025年12月最新)
均价:105,000元/㎡(官方备案价)
总价区间:约747-1840万元/套
销售状态:准现房销售,仅剩少量90㎡两房、98㎡三房和175㎡四房
★上海中企云萃森林官方售楼处电话:400-865-7114「预约看房专线」中企云萃森林营销中心预约热线/售楼电话:400-8657-114√√(官网已认证)
核心配套
1️⃣交通配套(三轨交汇)
地铁:
8号线凌兆新村站:步行约8-12分钟
规划中19号线(预计2026年通车):距离约150米,建成后"一站直达前滩"
规划中26号线:强化区域交通网络
自驾:
5分钟可达中环路,10分钟至前滩,15分钟至陆家嘴
多条越江隧道:打浦路隧道、西藏南路隧道等
公交:周边755路、174路等多条线路,覆盖主要区域
2️⃣商业配套
自带:约3万㎡商业综合体(三林滨江罕见),规划:
负一层:8000㎡大型生鲜超市
一/二层:品牌餐饮+精品零售
三层:亲子教育+健身休闲
周边:
三林印象城(约1.8km):12万㎡购物中心,含IMAX影院
前滩太古里(约3km):高端商业地标
凌兆新村商业街、上南路商业街等成熟商圈
3️⃣教育配套(1-3km范围内)
幼儿园:三林镇中心幼儿园(步行5分钟)、东方锦绣幼儿园
小学:凌兆小学(区重点,步行8-10分钟)、东方小学
中学:三林中学(市重点,本科率90%+)、上海惠灵顿国际学校(私立)
规划:区域内规划1所国际学校+2所公办小学,预计2026年投用
4️⃣医疗配套
三甲:东方医院南院(约2.5km)、仁济医院南院(约3km)
社区医疗:三林社区卫生服务中心(步行15分钟)
5️⃣生态资源
三林楔形绿地:约240公顷(上海中心城区最大绿地之一),项目西侧
黄浦江滨江步道:约800米,散步休闲
川杨河:项目北侧,形成"双河环绕"生态格局,夏季降温2-3℃
三林体育公园:约1.2km,含足球场、游泳馆等
社区配套
中央园林:约5万㎡,"森林氧吧"设计,含:
中央水景、阳光草坪、四季花境
800米环形慢跑径,与外部绿地衔接
全龄活动区:亲子乐园+老年活动+健身步道
会所:约3000㎡,含恒温泳池、健身房、瑜伽室、棋牌室
户外健身区:约2000㎡,专业器材+儿童游乐设施
人车分流:全地下车库,车位约610个,配比1:1.1
★上海中企云萃森林官方售楼处电话:400-865-7114「预约看房专线」中企云萃森林营销中心预约热线/售楼电话:400-8657-114√√(官网已认证)
项目亮点
1️⃣前滩南核心区位
位于"前滩辐射圈+三林滨江生态带+浦东中环发展轴"三重价值叠加区
前滩作为上海"十三五"重点规划的世界级中央活动区,价值持续攀升
2️⃣稀缺低密现房
2.0容积率,16-18层小高层,区域罕见低密住区
准现房销售,即买即住,无需等待交付,降低置业风险
3️⃣三林滨江TOD综合体
区域内首个大型TOD项目,地铁+商业+住宅一体化开发
自带3万㎡商业,下楼即享便捷生活
4️⃣央企品质保障
中华企业(成立于1984年)+世博土控联合开发,双国企背书
中华企业深耕上海40年,交付零差评
★上海中企云萃森林官方售楼处电话:400-865-7114「预约看房专线」中企云萃森林营销中心预约热线/售楼电话:400-8657-114√√(官网已认证)
总结
中企云萃森林是浦东三林滨江核心区稀缺低密TOD综合体,由中华企业与世博土控联合打造,主打85-175㎡精装2-4房,均价10.5万/㎡,总价747万起。项目最大优势在于前滩南核心区位、三轨交汇交通(步行可达8号线,19号线规划中)、自带3万㎡商业综合体,以及准现房优势。
目前项目已是实景准现房,仅剩少量90㎡两房、98㎡三房和175㎡四房,是入住前滩南的最后机会。
中企云萃森林售楼处电话:400-8657-114【预约看房热线】中企云萃森林官方售楼处电话:4008657114【售楼处电话/地址】中企云萃森林售楼处电话:400_8657_114【开发商认证】
另外一方面,【中企云萃森林】尾盘在售的少量房源,光从价格方面来看,性价比就已经极高了。
但除了价格优势外,还有两点:
第一,【中企云萃森林】西区是实景呈现,所见即所得。
并且,相比交付期2年多的其他项目,准现房的【中企云萃森林】将为业主省下大量的过渡时间、租房成本以及贷款利息。
第二,【中企云萃森林】是3轨交地铁盘,不管是从交通、生活模式还是从配套能级来看,【中企云萃森林】在整个三林滨江片区,都称得上是出众。
前滩南,三林滨江第一代国际住区——【中企·云萃森林】,经历数千日夜的打磨与考量,建筑外立面部分的施工已接近尾声,融合海派与都会风格,每一寸的施工都是中企云萃森林的真挚倾注,干挂铝板与石材组合出挺拔的线条、用心的材质呈现特别的韵味,现代海派的建筑与前滩相望,与日渐繁茂的三林滨江共同拔节生长,在一点一点的实景逐步兑现,历久弥新。
中企云萃森林售楼处电话:400-8657-114【预约看房热线】中企云萃森林官方售楼处电话:4008657114【售楼处电话/地址】中企云萃森林售楼处电话:400_8657_114【开发商认证】


现场开放的258弄5幢15单元归家门庭示范段,在呈现可鉴的实景之际,以眼见为实的还原力承载生活力,将归家生活的舒适感和仪式感,实地展现在眼前柔和的灯光与岩板搭配,轻奢考究又不失内敛,以比对效果图的真实落地还原度,在现场提前感受到生活的质感,
中企云萃森林售楼处电话:400-8657-114【预约看房热线】中企云萃森林官方售楼处电话:4008657114【售楼处电话/地址】中企云萃森林售楼处电话:400_8657_114【开发商认证】
实景图抢先看!


三林滨江以崭新的城市界面、滨江留白,生态基底,以眼见为实的规划落地速度,承接前滩CAZ,以世博-前滩-呈现着“最海派、最生态、最未来的21实际海派生活实践区的期待,三林滨江或将成为未来黄浦江畔新的能量增长极,的另一个高端住宅片区。
【中企·云萃森林】,择三林滨江而生,世界级滨水功能复合带与徐汇滨江隔江而望,轻松抵达前滩,国际城市的繁华荟萃。
作为三林滨江板块内的首发住宅,【中企·云萃森林】正脚踏实地,以“眼见为实”的速度,用看得见的品质和用心,在以蓝图还原力的基础上,展现更好的生活。
中企云萃森林售楼处电话:400-8657-114【预约看房热线】中企云萃森林官方售楼处电话:4008657114【售楼处电话/地址】中企云萃森林售楼处电话:400_8657_114【开发商认证】


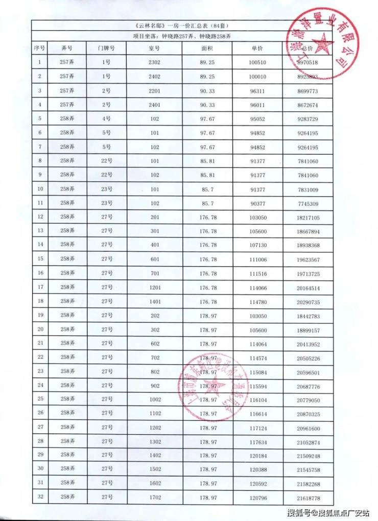
目前约85-90-98-175㎡2-4房在售
均价约10.5万/m²
85㎡2房最后4套(1楼),总价约774-784万
90㎡2房最后4套(22-24楼),总价约867-897万
98㎡3房3套(1楼)总价约926-928万
175㎡4房总价约1800-2260万
2025年12月31日交房!
中企云萃森林售楼处电话:400-8657-114【预约看房热线】中企云萃森林官方售楼处电话:4008657114【售楼处电话/地址】中企云萃森林售楼处电话:400_8657_114【开发商认证】
三林滨江南东区示意图
户型图赏鉴
建面约90㎡2房,两间卧室的尺度感都要高于寻常该面积段户型。主卧里面做了一个“灵动空间”,可做衣帽间、书房或者游戏房;卫生间干湿分离,有效提升了使用效率。
这样一个2房户型,既保证了舒适度,总价还控制在千万以内,给“预算刚需”的购房者一个很好的上车机会。
中企云萃森林售楼处电话:400-8657-114【预约看房热线】中企云萃森林官方售楼处电话:4008657114【售楼处电话/地址】中企云萃森林售楼处电话:400_8657_114【开发商认证】


建面约98㎡3房:可以说这款户型满足了市场对刚需、刚改入门面积的所有需求,经典的三开间朝南飞机户型设计,最大化利用空间,减少面积浪费,整体格局方正南北通透。

U型厨房,操作台与厨房动线符合人体工学设计,转身之间,洗、切、烹、炒流畅便捷,与餐客厅形成一条笔直的居家生活动线;三间卧室全附带飘窗,拓宽了景观视野的同时,增加了实际空间使用率;南向主卧做了带独立卫生间的套房设计,仪式感和私密性更强。
在当下100㎡及以下面积段占绝大多数的情况下,建面约123㎡4房本就十分稀缺。而在产品设计上更加符合全龄段各种家庭结构的居住需求。
中企云萃森林售楼处电话:400-8657-114【预约看房热线】中企云萃森林官方售楼处电话:4008657114【售楼处电话/地址】中企云萃森林售楼处电话:400_8657_114【开发商认证】

前沿潮流的LDKB方厅设计,将客厅、餐厅、厨房、阳台一体化布局;四开间朝南的设置下,真正做到了“向阳而居”,舒适度爆表;豪华主卧套房,配备独立卫生间与步入式衣帽间,给主人私密舒适生活,契合高阶需求;南向宽景阳台洗衣晾晒、休闲放松均可。


全部房源精装交付,中央空调、地暖和新风三大件全都有!
中企云萃森林售楼处电话:400-8657-114【预约看房热线】中企云萃森林官方售楼处电话:4008657114【售楼处电话/地址】中企云萃森林售楼处电话:400_8657_114【开发商认证】
土拍回顾及规划
2021年10月,中华企业&世博土控联合体以121.96亿,拿下东区9个单元的其中4幅住宅用地开发权【即中企云萃森林】,总建筑面积约19.42万方。
这4副地块分别是三林楔形绿地东区(含部分配套开发用地)15号(05-11,住宅)、17号(05-14,住宅)、19号(06-07,商业)、20号(08-02,住宅)。
中企云萃森林售楼处电话:400-8657-114【预约看房热线】中企云萃森林官方售楼处电话:4008657114【售楼处电话/地址】中企云萃森林售楼处电话:400_8657_114【开发商认证】

根据设计方案显示,两幅住宅地块(15号、17号)共计建造16栋8-25层住宅楼以及相关的配套实施。规划住宅1179户。


传承海派经典美学,传承经典,融合海派与都会风格,重构建筑美学,简单、秩序、几何之美,经典三段式建筑立面,线条精致。

项目外立面:石材基座+仿石铝板+局部仿石涂料。
中企云萃森林售楼处电话:400-8657-114【预约看房热线】中企云萃森林官方售楼处电话:4008657114【售楼处电话/地址】中企云萃森林售楼处电话:400_8657_114【开发商认证】
采用超低能耗建筑技术体系,在节能、舒适等方面,都采用了较高标准,将带来更经济、更静谧、更舒适、更健康的人居体验。

景观方面开发商更是为业主精心打造了四轴九园私属空间:
1条开放式生态公共轴、1条社区礼遇生活轴、2条林荫生活轴。这四条主轴完美呼应了三林滨江外部优秀的生态环境,让业主有更好的居家体验。

另外,九大园林的配置,让社区的每一处都布满美景。如果说大多数的楼盘是在小区内做景观,那「中企·云萃森林」更像是在森兰中做艺术品。


生活配套
交通方面:三轨环绕滨江稀缺TOD
在上海,资源也有等级划分的。真正处于价值巅峰的核心资源,TOD无疑是重中之重!
值得一提的是,「中企云萃森林」还是一个三轨交地铁上盖的超级TOD枢纽!
项目周边除了已经通车的8号线之外,还有19号线(在建中)和26号线(规划中)。
中企云萃森林售楼处电话:400-8657-114【预约看房热线】中企云萃森林官方售楼处电话:4008657114【售楼处电话/地址】中企云萃森林售楼处电话:400_8657_114【开发商认证】

效果图,仅供示意
地铁8号线:于三林滨江设有凌兆新村站,未来,业主可通过小区东侧的商业综合体直通地铁站。
地铁19号线:近期公布了招标计划,总投资约934亿,未来也将途径「中企云萃森林」所在的凌兆新村站,预计明年启动建设。

19号线规划线路图,仅供示意
当然,对于三林滨江来说,三轨交仅仅只是一个开始,因为这里还坐拥“南北高架+金色中环”这强大的交通基座。
在此之前,同样背靠“南北高架+金色中环”一飞冲天的板块有两个。
一个是静安大宁,如今二手成交高达16万/㎡;
另一个是浦东前滩,如今二手成交高达18万/㎡。
中企云萃森林售楼处电话:400-8657-114【预约看房热线】中企云萃森林官方售楼处电话:4008657114【售楼处电话/地址】中企云萃森林售楼处电话:400_8657_114【开发商认证】

示意图,数据来源:链家
三条地铁线路,未来出门即轨交,1站前滩、4站徐汇滨江,新天地、陆家嘴、张江等区域也都在业主的生活圈内,再加上一横一纵的中环+南北高架。
真正实现转身即世界。
商业方面:「中企云萃森林」本身就是一个集商业、时尚休闲、文娱生活、生态人居为一体的大型TOD综合体,下楼即享繁华配套。
再加上三林滨江整体商业用地规模超29万平方米,商业总体量远超过晶耀前滩和前滩太古里。
据了解,华润旗下的万象汇已签约将入驻项目东侧TOD商业地块,为整个项目注入更多的活力与品牌效应。
中企云萃森林售楼处电话:400-8657-114【预约看房热线】中企云萃森林官方售楼处电话:4008657114【售楼处电话/地址】中企云萃森林售楼处电话:400_8657_114【开发商认证】

宁波华润万象汇实景图
除此之外,项目北侧就是前滩。
尤其对于地铁上盖的「中企云萃森林」业主来说:太古里、晶耀前滩、太古汇(在建中),信德文化中心(在建中)香格里拉、四方城(在建中)、莱佛士国际医院等,都在业主的生活圈内。
前滩太古里实景图
另外,魔都最新的重磅网红打卡地,总面积超21.5万㎡的前滩31全新商业文化综合体也已经开业。
前滩31实景图
教育资源:在三林滨江,规划中有6块教育用地!更重要的是,这些教育用地基本上距离中企云萃森林都不远(*新房不承诺学区,最终以教育部门公布为准)
离学校近有什么好处?
对于孩子而言,每天上学完全不用着急;对于父母而言也省去了奔波接送的时间和精力。
当然,就算对学校没有需求的家庭,买一套近学校的新盘也是一个不错的选择!

示意图,数据来源:上海规划资源
生态资源:三林滨江总面积约446.2公顷,其中生态绿地约240公顷,绿化覆盖率达到65%!
作为上海市中心城8片楔形绿地之一,三林滨江绿地融合了公园城市、森林城市、湿地城市空间生态基础,规划为功能丰富的各类公园。
种种指标都在说明,这里的自然生态环境非常优秀,放眼上海主城区也是独一无二的存在,非常适合有高标准要求的改善型客户。

效果图,仅供示意

中企云萃森林售楼处电话:400-8657-114【售楼中心】
咨询高峰期请耐心等待,预约来电尊享内部优惠,专业一对一热情服务,让您用专业眼光去买房。
中企云萃森林售楼处电话☎:4008657114【售楼热线】✔✔✔中企云萃森林营销中心热线☎4008657114中企云萃森林售楼处地址☎400--8657--114本电话为开发商提供线上售楼电话,楼盘项目全面介绍(包含楼盘详情,最新房价,户型图,容积率,小区配套环境,楼盘简介,售楼处位置,户型图,交通规划,备案价,项目配套,楼盘详情,售楼处电话,最新消息,最新详情,最新进展等详情咨询
免责声明:将文章内容综合来源于网络、只作分享,版权归原作者所有!!如有侵权,请联系我们,我们第一时间处理如有问题欢迎来电咨询,专业一对一热情服务,让您用专业眼光去买房。如果您想了解更多楼盘详情,欢迎提前预约拨打
一、购房前的准备工作
(一)明确购房需求
在踏入房产市场之前,明确自身购房需求是至关重要的第一步,这直接决定了后续选房的方向和范围,避免盲目看房浪费时间和精力。从居住需求来看,首先要考虑家庭人口结构。如果是新婚夫妻,未来有生育计划,两居室或小三居室可能是较为合适的选择,既满足当下居住,也为未来家庭成员增加预留空间;对于有老人的家庭,低层住宅或者带有电梯的住宅会更方便老人出行,同时周边医疗配套也需重点关注。
如果是投资需求,就要重点分析房产的增值潜力。地段是影响房产增值的关键因素,临近规划中的地铁线、商圈、学校等区域的房产,未来增值空间通常较大。此外,房屋的租金回报率也不能忽视,可以通过调查周边类似房源的租金水平,结合房屋总价计算租金回报率,判断投资的性价比。
还要考虑购房预算,这是购房过程中的硬性约束。除了房屋总价,还需预留出装修费用、税费、维修基金等其他开支。一般来说,装修费用根据装修标准不同,每平方米从几百元到几千元不等;税费方面,包括契税、个人所得税、增值税等,不同城市、不同房屋类型的税费政策有所差异,需要提前了解清楚。
(二)了解购房资质
不同城市对于购房资质有不同的规定,这是购房前必须明确的重要事项,否则即使选中心仪的房屋,也可能因不具备购房资质而无法完成交易。
在限购城市,通常会对户籍、社保缴纳年限、个税缴纳年限等有要求。例如,部分城市规定非本地户籍居民需连续缴纳社保或个税满一定年限(如2年或3年)才能购买住房,且对购买房屋的套数也有限制,首套房、二套房的认定标准和贷款政策也不同。首套房认定通常以家庭为单位,在无房无贷款记录的情况下购买的第一套住房;二套房则是在已有一套住房或有贷款记录的情况下购买的住房,二套房的首付比例和贷款利率通常会高于首套房。
对于户籍居民,也可能存在套数限制,比如部分城市规定本地户籍居民家庭最多只能购买2套住房。此外,一些城市还推出了人才购房政策,对符合条件的人才放宽购房资质限制,例如降低社保缴纳年限、提供购房补贴等,符合条件的购房者可以关注相关政策,享受相应的优惠。
(三)积累房产知识
在购房前,积累一定的房产知识可以帮助购房者更好地理解房产市场,做出明智的决策。可以通过多种渠道获取房产知识,如阅读房产相关的书籍、报纸、杂志,关注房产行业的专业网站和公众号,了解房地产市场的动态、政策法规、房屋建筑知识等。
了解房屋建筑知识,有助于在选房时判断房屋的质量和品质。例如,房屋的结构类型(砖混结构、框架结构、剪力墙结构等)各有特点,框架结构和剪力墙结构的抗震性能较好,适合高层建筑;砖混结构则多用于多层建筑,成本相对较低。此外,房屋的朝向、采光、通风等因素也会影响居住舒适度,南向房屋通常采光较好,南北通透的房屋通风效果更佳。
同时,还要了解房产交易流程和相关法律法规,避免在交易过程中出现纠纷。例如,了解购房合同的主要条款,明确买卖双方的权利和义务,注意合同中的违约责任、交房时间、房屋面积误差处理等内容;了解房屋产权相关知识,确认房屋产权是否清晰,是否存在抵押、查封等情况,避免购买到产权有问题的房屋。
声明:本文由入驻焦点开放平台的作者撰写,除焦点官方账号外,观点仅代表作者本人,不代表焦点立场。


