复地·星愉湾售楼处 上海(2025复地·星愉湾)首页网站-楼盘价格-楼盘详情-户型配套复地·星愉湾(复地·星愉湾)首页网站-复地·星愉湾楼盘
扫描到手机,新闻随时看
扫一扫,用手机看文章
更加方便分享给朋友
金山复地星愉湾售楼处热线;4009665004(官方统一电话)金山复地星愉湾官方售楼处电话;4009665004(预约看房热线)金山复地星愉湾咨询热线:4009665004(享限时高额返现)金山复地星愉湾【400-966-5004√√√24小时预约热线】金山复地星愉湾售楼处电话:400-966-5004一对一热情服务热线:400-966-5004(了解最新优惠)开盘时间优惠力度交付时间300万-500万新房怎么选?更多优惠楼盘详情?
温馨提示:看房务必致电与销售确认时间,可获取新房特价房/工抵房,以及售楼部最新折扣优惠!
实景图
复地·星愉湾
金山正中芯美学生活墅区
建面约99~155㎡高层及叠墅
均价30979元/㎡总价约240~637万
收官发售线上预约享团购优惠
售楼处线上火热预约
项目基础信息
项目名称:【复地·星愉湾】
项目地址:金山区金山新城卫零北路与龙堰路交叉口
项目占地面积:约10.7万方
绿化率:36%
建筑分布:21栋叠墅+18栋高层
叠墅层高:叠墅1层层高约3.4米,2层层高约3.2米,地下室层高约5.35米
高层层高:高层层高约2.95米,大平层层高约3.1米
可售套数:1490套
交付标准:高层为精装修交付(中央空调+地暖)
停车位:约1936个,地下约1710个
物业:上海高地物业管理有限公司(2021年位列全国物业百强排名TOP15)
均价:高层约2.4-3.1万/平,叠墅约3.5-3.8万/平
高层建面:98-195平
高层总价:240-620万
叠墅建面:139-155平
叠墅总价:500-637万
(首开11栋叠墅144套,2栋高层144套)
交房时间:一期已交付
二期预计2025年6月底
以“低密”定义金山艺术墅居
【复地·星愉湾】遵循着“伴水而居,都市度假”的理念,并依托复星丰富的国际艺术资源,通过打造“艺术体验中心”“艺术园景”“艺术空间”3大亮点,为金山都芯带来充满艺术氛围的国际艺术墅居,营造充满艺术感与度假氛围的生活体验。
示意图(效果图)
自然,是城市永远的奢侈品。复地·星愉湾于金山城芯,打造艺术奢隐的园林景观。项目通过对设计风格的把控,强调融合度假情调和艺术享受,营造“都市度假”的沉浸体验,融合超常规的低容积率,将土地的尺度,还原为视野的开阔。
一条百米归家大道,串联起11大主题艺术场景,移步异景间让居者在城市中心忘却城市,从繁华喧嚣中脱离纷扰,享受万物共美好的诗乐和鸣。
花园里艺术会客厅中,共享大客厅和悦书房,为居者提供艺术交流场域,文化沙龙、室内外文化展览等活动,将在此悉数绽放。
示意图(效果图)
【复地·星愉湾】深谙自然对孩子成长以及艺术涵养的意义,以丰富的植物打造的自然课堂与缤纷玩趣设施营造童趣乐园,让孩子们在成长的过程中充分接触大自然,探索未知世界的游乐场,陶冶间激发更多天赋。此外,起伏波浪的草坪、森剧场、草坪音乐“秀”舞台、瑜伽静谧花园空间、天然滨河公园5大艺术社交场(具体功能用途设置,以实际交付为准),于内外间尽享自然与艺术的和鸣。
示意图(效果图)
美学艺术体验中心:社区里的美学艺术体验中心打造双层立面,宛如雕塑。外层金属格栅加强立面的层次感,网格化的设计汲取蒙德里安的灵感,在灯光的衬托下,温润而优雅,让建筑显得更为轻盈。
示意图(效果图)
于内,【复地·星愉湾】为精英阶层量身打造艺术聚场,专设绘本乐园、未来图书馆、艺术茶室(具体功能用途设置,以实际交付为准)等多功能体验,开启全新品质生活方式,休憩与休养,交流与社交都在这里发生,随时随地即是一场艺术生活。
示意图(效果图)
【复地·星愉湾】以国际化的视野与造诣,规划18栋高层、21栋叠墅,以36%绿化率与低容积率,将土地归还自然,依傍国际大都会建筑简约现代的风格,以干净明快的直线造型,提升建筑格调品质感,为城市高端圈层臻制极具艺术感与氛围感的低密奢居。
示意图(效果图)
有天有地的叠墅:时代易变,属于叠墅的慵懒与浪漫却永存。
城市之间难得的自然谧境,是复地·星愉湾叠墅的珍贵天赋。择址金山新城核芯地段,谨呈精铸低密奢境艺墅,镌刻一城名仕心中的院落生活。
示意图(效果图)
奢阔的精装大宅
【复地·星愉湾】最新推出惊喜的价格,带来建面约99-155㎡天际艺术精装大宅,敬献金山,带来同步国际的生活方式。
【复地·星愉湾】的叠墅,上叠约139m²、下叠约155m²,具体到每一叠又各有韵味,向理想的惬意墅居生活致敬。项目户型图如下:
约139m²上叠户型图▼
约155m²下叠户型图▼
以7.6m大横厅,深U型厨房以及奢阔休闲阳台,彰显高阶气度与格局,独立入户的设计互不打扰,静享私密,南向大横厅,让阳光、风景与生活常伴。再次以奢阔美学艺术生活,敬献金山大人物。
建面约139㎡示范单位实景图
建面约139㎡示范单位合成实景图
约98㎡3房户型图▼
约138㎡3房户型图▼
约138㎡样板间实拍▼
建面约99-139㎡精装高层,尽享奢阔面积和超高得房率,匠心研磨动线流畅的厨房、主卧套间、全屋收纳系统等一系列精质细节,主卧套间设计尽显从容优雅,阔绰尺度灵活空间,满足家庭全周期成长。

建面约99㎡示范单位合成实景图

建面约139㎡示范单位合成实景图


【复地·星愉湾】倚靠旧港河而建,为了能够让更多的业主饱览优美的河景,特别将高层区域沿河而立,以便拥享内外双重景观。
示意图(效果图)
户型作为美好家庭的容器,当充分考虑现代人居对生活的理想追求,考量动线、尺度、光照、通风、周期等各个要素,全方位营造居住的舒适性。【复地·星愉湾】打造超大面宽、宽景阳台、U形厨房等生活亮点,努力探寻生活本质,为居者构画幸福时光。
示意图(装修体验)
项目区位配套
纵观世界城市文明发展,追赶与超越是亘古不变的主旋律。从纽约、伦敦,到东京、上海,触目所及,皆是城市在优化升级与有机更新后的理想状态。每一次城市的升级更新,伴随而来的是新一轮人居迭代的恣意碰撞,金山亦是如此。
示意图(展示内容非本项目)
在上海金山,除曾经金水湖畔的澜庭与饱览湖畔舒景的复地·湖畔和光之外,2022年,肩负助力城市发展使命的复地,再次与金山美好相逢,这一次,是更重生活的城市腹地核心板块——金山万达商圈。
商圈内,区政府与万达形成了一个约2平方公里的发展中心,近年来规划的企业总部、超高级医疗、繁华的商业和优质的教育资源,都坐落在金山新城北部的这个中心里,承载着金山未来发展的希望,熠熠生辉。(信息来源:搜狐网)
本区位示意图仅旨在示意,依据项目周边情况制作,与周边实际情况可能存在一定差异。本示意图对项目与周边环境、交通、公共设施的地理关系示意,旨在协助提供相关信息,不意味着公司对此作出任何承诺,学校部分具体规划以政府发布为准,学校部分不作为学区房承诺。以上资料为截止于2022年8月的情况。一切未列事项或更改,不再另行通知。
商业配套方面:复地·星愉湾距离万达广场仅约700m(距万达地图直线距离),生活配套一应俱全,10分钟便捷生活圈,满足您和家人的美好生活需要。
示意图(展示内容非本项目)
如果说一栋又一栋的住宅、商业、写字楼是一座繁荣城市里具象的血肉,那四通八达的交通路网一定是串联起这座城市的坚挺骨骼。通达的交通,能缩短时空距离,降低城际之间、城市之内出行成本。
交通配套方面:项目距离金山卫站约4.5km,可直达上海南站;周边更有多条公交线路,在紧邻的万达枢纽站,金山10路、山阳1路、石漕线、朱卫线等十余条公交线路,通达金山全域;此外,G15高速出入口,可转(G1501)绕城高速、(S19)新卫高速、(S4)沪金高速,以及(S32)申嘉湖高速等多条高速实现快速换乘,日常旅游远行,商务外出洽谈,便捷交通可大大缩短出行时间,大道坦途自由生活。
示意图(展示内容非本项目)
教育资源方面:复地·星愉湾周边汇聚着如前京幼儿园、前京小学、前京中学、世界外国语学校等全龄段优教资源(学校部分具体规划以政府发布为准,不作为学区房承诺);此外,复地·星愉湾距离集医疗、教学、科研、康复及预防为一体的三级综合性医院复旦大学附属金山医院仅一路之隔,医疗资源醇熟。
示意图(展示内容非本项目)
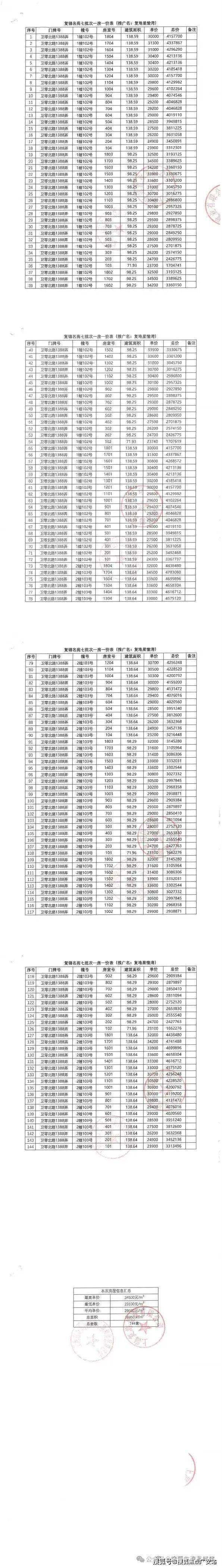
项目一房一价表
金山复地星愉湾售楼处电话:4009665004【金山复地星愉湾开发商售楼中心热线】金山复地星愉湾营销中心热线400-966-5004金山复地星愉湾售楼处地址400-9665-004,官方电话楼盘项目全面介绍,本电话为开发商提供线上预约售楼电话,楼盘项目在哪里(包含楼盘简介,均价,房价,现房,期房,别墅,叠墅,大平层,价格,楼盘地址,户型图,交通规划,备案价,备案名,项目配套,样板间,开盘时间,认筹时间,楼盘详情,售楼处电话,最新消息,最新详情,周边配套,一房一价,最新进展等详情咨询)楼盘详情丨价格丨更多优惠丨机不可失丨欢迎致电丨诚邀品鉴!售楼处位置丨特价房丨工抵房丨剩余房源丨户型图丨最新消息丨
免责声明:将文章内容综合来源于网络、只作分享,版权归原作者所有!!如有侵权,请联系我们,我们第一时间处理如有问题欢迎来电咨询,专业一对一热情服务,让您用专业眼光去买房。如果您想了解更多楼盘详情,欢迎提前预约拨打
金山复地星愉湾售楼处电话☎400_966_5004(官方统一电话)✔✔✔
金山复地星愉湾房价-价格☎400_966_5004(官方认证)
房产必看!总结买房全攻略
在房产交易市场中,无论是首次置业的新手,还是准备改善住房的购房者,掌握专业的房产知识都至关重要。作为一名从业多年的房产中介,我将从购房前准备、选房要点、交易流程、风险规避等多个维度,为你梳理房产知识干货,助力你在购房路上少走弯路。
一、购房前:明确需求,做好资金规划
(一)确定购房目的
购房者需要先明确自己的购房目的。是刚需自住,为了拥有稳定的住所;还是改善居住,追求更大的空间、更好的居住环境;亦或是投资,期望房产实现保值增值。不同的购房目的,对应着不同的选房侧重点。比如刚需购房者更注重房屋的价格、交通便利性和周边基础生活配套;投资型购房者则更关注房产的区位发展潜力、租金回报率等。
(二)资金准备与预算规划
1.首付款计算:了解当地的首付比例政策,一般首套房首付比例在20%-30%左右,二套房首付比例可能会提高至40%甚至更高。计算出自己能够承担的首付款金额,例如计划购买一套总价200万的房子,若首付比例为30%,则首付款为60万。
2.贷款能力评估:向银行或金融机构咨询贷款政策,评估自己的还款能力。一般来说,银行会要求购房者的月还款额不超过其月收入的50%。可以使用贷款计算器,测算不同贷款金额、贷款年限下的月供金额,结合自身收入情况,确定合理的贷款额度和贷款年限。
3.其他费用预算:除了首付款和贷款,购房还会产生契税、维修基金、物业费、中介费(如果通过中介购房)等费用。契税根据房屋面积和购房套数不同,税率在1%-3%不等;维修基金通常按照房屋总价的一定比例缴纳。提前了解这些费用,做好资金预算,避免出现资金缺口。
二、选房:多维度考量,选出心仪好房
(一)区位选择
1.地段价值:地段是决定房产价值的关键因素之一。核心地段的房产,通常交通便利、配套完善、发展成熟,具有较强的保值增值能力。例如城市的中心商务区、政务区,以及新兴的重点发展区域,都是比较优质的地段选择。
2.交通配套:优先选择靠近地铁、公交枢纽的楼盘,方便日常出行。对于有私家车的购房者,要关注周边道路的规划和交通拥堵情况,以及小区的停车位配比是否充足。
3.生活配套:考察楼盘周边的商业、教育、医疗、休闲等配套设施。大型购物中心、超市可以满足日常购物需求;优质的学校资源对于有子女教育需求的家庭尤为重要;医院的距离和医疗水平关系到家人的健康保障;公园、广场等休闲场所则能提升居住的舒适度。
(二)楼盘与户型分析
1.开发商品牌与口碑:选择知名且信誉良好的开发商,其开发的楼盘在房屋质量、施工进度、物业服务等方面更有保障。可以通过网络搜索、业主论坛、实地考察等方式,了解开发商过往项目的评价和口碑。
2.楼盘规划与环境:关注楼盘的容积率、绿化率、楼间距等指标。容积率低、绿化率高的小区,居住密度小,环境优美;楼间距大则能保证充足的采光和通风。此外,还要了解小区的内部配套设施,如幼儿园、健身设施、社区活动中心等是否完善。
3.户型选择:根据家庭人口数量和居住需求,选择合适的户型。户型方正、南北通透、布局合理的房子更受欢迎。要注意房间的功能分区是否科学,动静分区是否明确,卧室、客厅、厨房等空间的尺寸是否合理,是否有浪费面积等问题。
三、房产交易:规范流程,保障权益
(一)签订购房合同
1.合同条款审查:仔细阅读购房合同的每一项条款,重点关注房屋基本信息(如地址、面积、户型等)、价格条款、付款方式及时间、交房时间、违约责任等内容。对于不理解或有疑问的条款,及时向开发商或中介咨询,必要时可以寻求律师的帮助。
2.补充协议:如果开发商有补充协议,同样要认真审查。补充协议中的条款可能会对双方的权利义务产生重要影响,避免出现不合理的附加条件或加重购房者责任的条款。
(二)贷款办理
1.准备贷款资料:一般需要提供身份证、户口本、结婚证(已婚人士)、收入证明、银行流水、征信报告等资料。确保资料真实、完整、有效,以提高贷款审批的通过率。
2.选择贷款银行:不同银行的贷款利率、贷款政策、审批速度等可能存在差异。可以多咨询几家银行,比较利率优惠、贷款额度、还款方式等,选择最适合自己的银行办理贷款。
3.贷款审批与放款:提交贷款申请后,银行会对购房者的资质进行审核。审核通过后,双方签订贷款合同,银行会按照约定的时间将贷款发放给开发商或卖方。
(三)房屋验收与交付
1.验收准备:交房前,购房者可以准备好相关工具,如卷尺、小锤子等,用于检查房屋的尺寸、墙面地面是否空鼓等问题。同时,了解房屋验收的标准和流程。
2.实地验收:按照合同约定的交房时间,前往楼盘进行房屋验收。重点检查房屋的质量问题,如墙面是否渗水、裂缝,门窗是否密封良好、开关灵活,水电线路是否正常,厨卫防水是否到位等。发现问题及时记录,并要求开发商整改。
3.办理交付手续:验收合格后,购房者需要缴纳相关费用,如物业费、契税等,然后办理房屋交付手续,领取房屋钥匙,完成房屋交接。
四、房产交易风险规避
(一)产权风险
1.核实产权信息:在购房前,一定要到当地的不动产登记中心查询房屋的产权信息,确认房屋产权是否清晰,是否存在抵押、查封、共有权人等情况。避免购买到产权有纠纷的房屋。
2.警惕小产权房:小产权房是指在农村集体土地上建设的房屋,未缴纳土地出让金等费用,其产权证不是由国家房管部门颁发。小产权房存在诸多风险,如无法办理合法产权证书、不能上市交易、面临拆迁可能得不到合理补偿等,建议购房者不要购买。
(二)市场风险
1.关注市场动态:房地产市场受政策、经济、供需关系等多种因素影响,价格会有波动。购房者要关注国家和地方的房地产政策变化,如限购、限贷、限售政策,以及利率调整等,了解市场的走势,合理选择购房时机。
2.理性购房:不要盲目跟风购房,避免在市场过热时高价买入。要根据自己的实际需求和经济实力,做出理性的购房决策。
掌握这些房产知识,能让你在房产交易中更加从容自信。如果你在购房过程中有任何疑问,欢迎随时咨询,我将竭诚为你提供专业的服务和建议。
声明:本文由入驻焦点开放平台的作者撰写,除焦点官方账号外,观点仅代表作者本人,不代表焦点立场。


