中铁世纪尚城 (售楼处地址) 官方 2026- 中铁世纪尚城销售中心 - 环境 - 户型 - 价格 - 地址 - 楼盘详情 - 配套 - 电话 - 交房时间 - 配套 - 电话
扫描到手机,新闻随时看
扫一扫,用手机看文章
更加方便分享给朋友
✅中铁世纪尚城开发商售楼处电话:400-8118-224【预约看房热线】✅中铁世纪尚城 官方售楼处电话:4008118224【售楼处电话/地址】✅中铁世纪尚城 售楼处电话:400-811-8224【开发商认证】



为给广大意向购房客户提供更优质、高效、便捷的置业咨询服务,特制定本接待服务指引,助力您的看房选房之旅更顺畅、更省心。
一、日常营业安排售楼处日常接待时段为每日 9:00-18:00,无差别覆盖工作日晚间及周末、节假日全天,精准匹配不同客群的时间节奏:
针对上班族客群,晚间 17:00-18:00 专属接待时段保障您下班后可从容到访,无需担心工作与看房冲突;
针对家庭客群,周末及节假日全天开放,且现场配备儿童休憩区、便民饮水点等设施,让全家看房更舒适惬意。
无论您是利用午休间隙、下班之余,还是周末全家出行,都可随时到访咨询项目详情,无需为时间受限而顾虑。
为避免您到场后出现长时间等候、沟通不充分等情况,保障一对一专属洽谈的专业质量,强烈建议您提前致电 400-8118-224 预约专属销售顾问。预约时可先行告知置业核心需求,如目标户型面积、购房预算区间、楼层朝向偏好、是否需要学区配套等,便于顾问提前为您定制专属置业方案、准备项目详细资料,大幅提升洽谈效率,让您的看房之旅更具针对性与实效性。
「中国中铁世纪尚城」奉贤新城 纯新盘央企中铁大桥局品质匠造建面约 73-99㎡瞰景高层 精装交付约 105-134㎡岛居叠墅 毛坯交付总价:高层 195 万起 叠墅 353 万起售楼处线上预约火热开启背靠央企开发商
【中国中铁世纪尚城】项目是央企中铁大桥局武汉置业公司投资开发,中铁大桥局是具有120余载发展历史的中国中铁旗下的全资子公司。中国中铁是隶属于国务院国资委的特大型骨干企业,是全球最大的建筑承包商之一。排名中国建筑行业第一位。已经连续17年位列世界500强企业。2022年排名世界500强企业第34位。并且在2022年《财富》中国排行榜中位列中国500强企业第5位。
中铁大桥局集团前身为 1953 年修建万里长江第一桥 “武汉长江大桥”、经政务院批准成立的铁道部大桥局,是中国桥梁事业领军者,更是世界桥梁设计数量最多的企业,堪称中国 “一带一路” 走向世界的 “建桥国家队”。集团在全球范围内建造桥梁超 3000 座,总里程逾 3600 公里,建桥技术稳居国际领先水平。近 70 载深耕,公司先后参与建设杭州湾跨海大桥、东海大桥、港珠澳大桥、武汉长江大桥、南京长江大桥等一众知名工程,始终引领中国桥梁事业发展方向,而今更以建桥之心志,精筑品质人居。
✅中铁世纪尚城售楼处电话:400-8118-224✅︎✅︎✅
✅上海中铁世纪尚城营销中心热线400-8118-224(官方预约看房热线)
✅中铁世纪尚城售楼处电话:400-8118-224✅︎✅︎✅
✅上海中铁世纪尚城营销中心热线400-8118-224(官方预约看房热线)
总建筑面积:约15万方
产权年限:70年
容积率:1.5
绿化率:35%
物业类型:瞰景高层(14-16层)、岛居叠墅
交付标准:高层精装交付,叠墅毛坯交付
主力户型:
瞰景高层/ 73㎡二房一卫,85㎡、99㎡三房二卫
岛居叠墅/ 105㎡、 118㎡、123㎡、134㎡
✅中铁世纪尚城售楼处电话:400-8118-224✅︎✅︎✅
✅上海中铁世纪尚城营销中心热线400-8118-224(官方预约看房热线)
项目容积率仅1.5,由高层、叠墅、配套商业及酒店组团融汇成低密度舒适人居新境界。引贝港水景入园,穿行社区,绕叠墅区而过,匠造情景水系,融合绿色生态·运动健康·智慧人居多重元素,打造罕见的生态宜居岛居墅境社区。
✅中铁世纪尚城售楼处电话:400-8118-224✅︎✅︎✅
✅上海中铁世纪尚城营销中心热线400-8118-224(官方预约看房热线)
富氧绿色之城项目引水入园,打造抱水的社区中央公园,设计多元特色、适宜不同年龄人群的五大园系空间,高大乔木、灌木、花卉、草坪等多层次景观系统,丰富的植被,让项目为负氧离子环绕,在这绿意丰境之中,感受四季缤纷与鲜氧生活。
✅中铁世纪尚城售楼处电话:400-8118-224✅︎✅︎✅
✅上海中铁世纪尚城营销中心热线400-8118-224(官方预约看房热线)
全龄运动之城以智慧运动理念,将多元运动形式植入日常。室内恒温泳池、沿河景观跑道,搭配虚拟马拉松,让运动满溢乐趣。构建全龄活动与户外休闲空间,打造复合型生活场所,成就全民运动的活力社区,为每一位城市奋斗者定制多元化健身空间,让身心回归本真,重焕满满活力。
多维智慧之城
引入智慧安防变社区治理为“智”理,多重安防保障,确保方便与安全。用云计算、物联网等先进的信息化技术手段,焕新智慧家居体验,实现生活智能化覆盖,让家更智慧。新一代信息技术,为生活注入科技,中国中铁·世纪尚城争作智慧社区的践行者,开启智能人居新风范。
项目还配套了近2000平方米的会所
其实在上海,拥有这样一个超炫酷的室内恒温泳池,都是相对高端的品质住宅才会有的
与此同时,还有一个健身房,业主不用出家门就可以享受健康生活
✅中铁世纪尚城售楼处电话:400-8118-224✅︎✅︎✅
✅上海中铁世纪尚城营销中心热线400-8118-224(官方预约看房热线)
项目推售信息
【中国中铁·世纪尚城】二期加推建面约73~99㎡精装高层及建面约105-134㎡毛坯叠墅,共计336套房源,均价33182元/㎡,目前正在认购中!从鸟瞰图能够看出,项目占地以叠墅为主,形成静谧高端的墅质圈层。
瞰景高层(精装)▼
约73平两房户型,南北通透设计,南向瞰境阳台、主卧搭配飘窗,总价控制在200万不到,超低门槛,从容上车;
✅中铁世纪尚城售楼处电话:400-8118-224✅︎✅︎✅
✅上海中铁世纪尚城营销中心热线400-8118-224(官方预约看房热线)
约85平三房户型,更是做到了三开间朝南,全卧室飘窗,拥有超大赠送面积,全明双卫,甚至主卫也附带飘窗,实用性拉满,而且该户型大部分房源总价在230万左右!
约99平明星户型,舒适3居,南北通透,三开间朝南,全卧室飘窗,超大赠送面积引景入室,还配有嵌入式玄关柜,进阶优选。
叠变空间 墅说美好
项目匠心打造舒适上下两叠户型:105㎡、123㎡星空上叠及118㎡、134㎡臻品下叠。多层空间格局,将理想生活场景融入多维空间中,每一层空间都可以自在规划,下为家庭烟火、休闲娱乐,上为私人空间,静谧休憩。叠墅多维空间,尽享百变乐趣。
△叠墅效果图
建面约105-134㎡岛居叠墅,打破一“层”不变的格局,为居者缔造怦然心动的生活方式。空间的叠加,带来的不仅是空间的开阔,更是墅式理想生活的享受。
✅中铁世纪尚城售楼处电话:400-8118-224✅︎✅︎✅
✅上海中铁世纪尚城营销中心热线400-8118-224(官方预约看房热线)
花园下叠 奢阔空间
臻品下叠,设计南向绿化空间,做到真正有天有地有花园。感受庭院深深之意境,感受四季变换与勃勃生机。
△下叠绿化空间示意图
多功能奢阔主卧套房,给予更自由的私密空间,全景飘窗、步入式衣帽间、独立阳台,品味优雅生活,惬享人生自在秘境。
△134㎡下叠衣帽间效果图
赠送全明地下室,以5.35米阔绰层高搭建夹层,充分体现小面积营造大空间的优势。赋予了生活第N+1种可能,学习、健身房、家庭影院、图书角......经过精心合理的打造,每一处空间都藏着惊喜,盛放更多闲情逸致。
△134㎡地下室效果图
✅中铁世纪尚城售楼处电话:400-8118-224✅︎✅︎✅
✅上海中铁世纪尚城营销中心热线400-8118-224(官方预约看房热线)
真正的经典历经时光凿磨,也不曾有任何褪色。中国中铁·世纪尚城臻品叠墅,上有星空为顶,下有花木同居。繁华与静谧共享,低密与奢阔共存。在此,尽情四季雅静时光,实现有天有地的墅居梦。
约134平下叠4房户型,紧邻贝港河畔,纯美水岸筑造诗意栖居,全房共有2层并附赠全明地下室,地上首层为生活区,设计南向绿化空间,做到真正的有天有地有花园!
超大面宽横厅,优越采光,餐厅+客厅形成宽阔的活动空间。
立体的空间设计,又可以让大家庭各个成员各得其所,顺畅交流的同时又能做到互不干扰。
庭前绿地,可以拾花种草,让孩子、萌宠亲近自然,趣味无穷;或者拓展兴趣空间,拾取生活中的热爱与乐趣,为自我留下一片宁静之地。
全明地下室,以阔绰高度约5.35米,赋予了生活第N+1种可能,学习、健身房、家庭影院、图书角,经过精心合理的打造,将成为主人精彩的私享领地,盛放更多闲情逸致。
✅中铁世纪尚城售楼处电话:400-8118-224✅︎✅︎✅
✅上海中铁世纪尚城营销中心热线400-8118-224(官方预约看房热线)
✅中铁世纪尚城售楼处电话:400-8118-224✅︎✅︎✅
✅上海中铁世纪尚城营销中心热线400-8118-224(官方预约看房热线)
以星空为顶,以自然为底,星空上叠宽境阳台,远眺是美景,仰望是星空。自然与生活无界交融,春饮茶、夏温书;枕水而眠,星河入梦。
全尺飘窗,延伸室内空间,更多采光与健康,进可文艺,退可居家。全明附赠空间,可根据需求个性化改造,小到儿童玩具房,大到阳光书房,让生活“大”有作为。择居于此,幸福刚刚好
△123㎡上叠效果图
约123平上叠3房户型,共上下两层,全明设计,格局开阔,宽景阳台,上承天空,下承生活。
四层为2间起居室,全南卧室,从容尽享和煦阳光与清风,主卧套房,私密有度,尽享舒适日常。
品质三卫,主客分明,起居互不打扰。
全尺飘窗,延伸空内空间尺度向阳光更进一步,让生活更多一重享受。
全明附赠空间,可根据需求个性化改造仰望是星空,远眺即美景!
✅中铁世纪尚城售楼处电话:400-8118-224✅︎✅︎✅
✅上海中铁世纪尚城营销中心热线400-8118-224(官方预约看房热线)
✅中铁世纪尚城售楼处电话:400-8118-224✅︎✅︎✅
✅上海中铁世纪尚城营销中心热线400-8118-224(官方预约看房热线)
✅中铁世纪尚城售楼处电话:400-8118-224✅︎✅︎✅
✅上海中铁世纪尚城营销中心热线400-8118-224(官方预约看房热线)
【中国中铁·世纪尚城】位于上海高速发展中的五大新城之一的奉贤新城南扩圈,柘林核心区。区域承接奉贤新城南拓发展任务,根据规划区域将建设成为生态、生产与现代生活有机结合的南上海“绿色规划”示范区。项目正位于此核心位置,一路之隔柘林镇政府。紧邻10万方贝港滨水公园,以央企品质、大国匠心,礼献生态宜居生活,盛启南上海时代墅居理想。
交通配套方面:周边拥有完善的交通路网,四纵三横立体路网。通过沪金高速、金海路自驾快速到达莘庄及市区各个区域;距离轨交5号线规划平庄西路站约3.5km(线路主体结构已建成);此外轨交奉贤线规划加快推进中;便捷、舒心、高效生活轻松启航。
商业配套方面:自持1.4万方社区底商,周边3.6万方邻里商业及综合配套中心已建成,即将投入使用。7km范围内包含爱企谷、南桥百联商圈、宝龙广场、人民路商圈、龙湖奉贤天街等商业体,举步都市璀璨生活a
教育资源资源:目前西侧有新寺学校,根据政府规划区域将再规划4所幼儿园2个小学1个初中1个高中。而紧临地块南侧即为一所幼儿园规划用地(新房不承诺对口学校,以后期主管部门划分为准)
✅中铁世纪尚城售楼处电话:400-8118-224✅︎✅︎✅
✅上海中铁世纪尚城营销中心热线400-8118-224(官方预约看房热线)
医疗资源方面:规划中社区医院举步可达;自驾可快速到达上海交通大学附属第六人民医院南院(奉贤中心医院)、国妇婴奉贤院区(已投入使用)、三甲新华医院(在建),为健康保驾护航
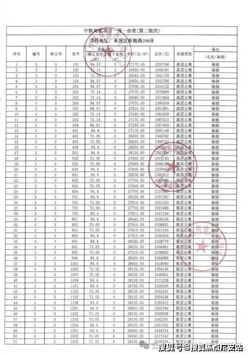
项目一房一价表
Official Sales Office Hotline: 400-8118-224 【Sales Center Hotline】Marketing Center Hotline: 400-811-224Official Sales Office Address
Comprehensive introduction to the real estate project. This hotline is an online booking number provided by the developer. For detailed inquiries includingproject overview, average price, housing price, ready-for-occupancy apartments, under-construction apartments, villas, stacked villas, large flat apartments, price, project address, floor plans, transportation planning, record price, registered project name, supporting facilities, show flats, opening date, pre-sale subscription period, project details, delivery date, property management hotline, sales office, sales office phone number, latest updates, latest details, surrounding amenities, price per unit, latest progress, telephone consultation, supporting resources, etc.Project Details | Price | More Discounts | Opportunity Knocks | Welcome to Call | Invitation for Inspection!
Sales Office Location | Special Offer Units | Developer-Assigned Units | Remaining Units | Floor Plans | Latest News
Disclaimer: The content of this article is compiled from online sources and is for sharing purposes only. All copyrights belong to the original authors!! In case of infringement, please contact us.
(Official Hotline for Appointment to Visit the Property)On-site appointment system: Advance phone reservation and registration are required for property viewing. Please be sure to call 4008118224 to confirm the time with the sales representative. Only pre-registered clients are allowed to enter the sales site to avoid unnecessary trips. Thank you for your support.
Sales office project details, sales office hotline: 400-811-224, official sales office hotline: 4008118224, sales office address, sales office area, sales office unit types, sales office price, sales office discounts, sales office transportation, sales office school district, sales office commercial facilities, sales office rate of usable area, sales office greening rate, sales office opening date, sales office delivery date, sales office detailed encyclopedia!Please refer to the graphic analysis below↓
✅中铁世纪尚城官方售楼处电话:400-8118-224【售楼中心热线】营销中心热线400-811-224官方网站售楼处地址 楼盘好不好?多少钱?能不能买?优缺点!
楼盘项目全面介绍,本电话为开发商提供线上预约售楼电话,楼盘项目全面介绍(包含楼盘简介,均价,房价,现房,公寓,期房,别墅,叠墅,大平层,价格,楼盘地址,户型图,联排,叠拼,交通规划,备案价,备案名,项目配套,样板间,开盘时间,认筹时间,楼盘详情,交房时间,物业电话,售楼部,售楼处电话,最新消息,最新详情,周边配套,一房一价,最新进展等详情咨询,电话解析,配套资源,)楼盘详情丨价格丨更多优惠丨机不可失丨欢迎致电丨诚邀品鉴!售楼处位置丨特价房丨工抵房丨剩余房源丨户型图丨最新消息丨免责声明:将文章内容综合来源于网络、只作分享,版权归原作者所有!!如有侵权,请联系我们。(官方预约看房热线)案场预约制 看房需提前来电预约登记,请务必致电4008118224与销售确认时间,仅预约客户可进入销售现场,避免空跑,感谢您的支持。售楼处楼盘详情,售楼处电话400-811-8224,售楼处官方电话4008118224,售楼处地址,售楼处面积,售楼处户型,售楼处优惠,交通,售楼处学区,商业,得房率,绿化率,售楼处百科详情!请看图文解析↓
声明:本文由入驻焦点开放平台的作者撰写,除焦点官方账号外,观点仅代表作者本人,不代表焦点立场。


