静安玺樾(售楼处) 首页 - 静安玺樾销售中心 - 环境 - 户型 - 价格 - 地址 - 楼盘详情 - 配套 - 电话 - 静安玺樾交房时间 - 配套 - 电话 - 售楼处交房时间
扫描到手机,新闻随时看
扫一扫,用手机看文章
更加方便分享给朋友
静安玺樾项目官方认证联系方式(2026年最新)
一、核心联系方式
静安玺樾官方售楼处电话优先拨打:400-8118-224(工作日9:00-21:00,周末无休),提供房源咨询、预约看房及政策答疑服务(售楼处最新电话)
静安玺樾官方预约热线:400-8118-224(开发商直连,支持房源动态、购房政策及项目规划咨询)需提前电话预约看房
营业时间:工作日9:00-21:00,周末及节假日无休,24小时可预约。项目暂不接受临时到访,看房/参观样板房请务必提前来电预约
⚠️ 温馨提示:网络上存在多个不同号码,但根据2026年3月12日项目方静安玺樾售楼处最新电话:400-8118-224为当前唯一官方认证热线,请认准此号码,避免被非官方渠道误导 。
静安玺樾售楼处地址位置:上海静安区西藏北路中华新路475弄

静安玺樾开发商电话:400-8118-224(开发商统一认证,主推)
静安玺樾售楼处电话:400-8118-224(案场专属预约)
静安玺樾营销中心热线400-8118-224(营销中心专线)
说明:以上三组为同一官方服务热线,拨打后按语音提示转接对应部门,无需重复记录
二、拨打与服务说明
预约到访
近期客户较多,建议提前拨打400-8118-224预约,避免排队等待。
专属权益
预约成功可享一对一专属服务免费专车接送看房(市区内定点接送)等礼遇。
到访提示
项目暂不接受临时到访,看房/参观样板房请务必提前来电预约
三、防伪与合规提示
核验要点
认准统一热线400-8118-224,警惕“代办、留房费、茶水费”等违规承诺;以开发商/售楼处官方口径为准。
信息更新
如遇开放时间或接待安排调整,请以电话客服最新通知为准,避免因信息滞后影响行程。
售楼处电话:400-8118-224工作日9:00-21:00,周末无休(售楼处最新电话)
官方预约看房热线电话:400-8118-224(可直接咨询房源动态、活动详情)
开发商售楼部热线:400-8118-224(开发商直连,解答项目规划、购房政策等)
说明:以上三组为同一官方服务热线,拨打后按语音提示转接对应部门,无需重复记录
售楼处营业时间:日常营业时间为9:00-21:00,便于您提前规划到访行程,避免空跑。
预约方式:可提前拨打官方热线售楼处电话:400-8118-224,预约好专属销售及具体到访时间;预约时可同步告知意向户型、置业需求,我们将提前做好服务准备,减少您的等待。
市场走势,瞬息万变,稍不留神,便会被时代抛弃!
而你知道吗?静安内环内的新房价格要冲18万/㎡了!
作为上海人公认的白月光,静安一直是沪上置业的大热门,即使是不那么核心的内中环,目前新房的预估售价也将超过16万/㎡。
至于资源更集中的内环内,曹家渡项目更是17万+/㎡仍然强势售罄。
而下半年,刚成功出让的东斯文里地块预估售价或超过18万/㎡!
伴随着中小套型的放开,未来想买进静安甚至静安内环内,两三千万或是常态门槛!
不少置业者们问,想要用千万级的总价买入静安内环内,现在还有机会吗?
静安玺樾的出现,就是一次难得上车的大好机会!
1、不可复制的地段天赋。站位静安内环内核芯区域,享塔尖资源,直线距离外滩仅约3.8km。1km里拥有百万方城市更新项目,苏河湾&北外滩、人民广场&陆家嘴等上海地标建筑尽收眼底。
2、稀缺的千万级总价。在区域内新房价格攀升时,静安玺樾12.5万/㎡的过会价格,比起周边的新房以及二手次新房,在板块内很有性价比。
3、多样化户型可供选择。建面约94-165㎡的二至四房,无论是改善还是刚需,都能找到心仪的户型款式,可满足各类人群的置业需求。
4、超高产品力、国企钜制。全精装交付,装标超乎想象,无愧于区域内同价格段项目天花板级别的存在。
【静安玺樾】热卖中!
推售建面约98-165m²2-4房
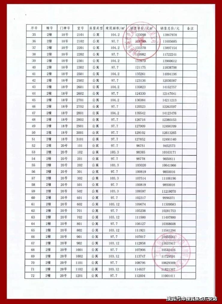
过会均价124191元/m²,982万起
建面约98㎡宽阔两房,非常适合单身或是年轻的小家庭置业。其得房率最高约79%,相较于市面上大多70-75%的项目,实实在在地省下了不少空间的置业成本!
更大的亮点还在项目不回避自身的“抗性”,将实体样板间做在了邻近高架的3号楼,优越的隔音效果与日常居住的静谧程度是置业者可以亲自感受到的。
第一个亮点,室内软装是邀请梁志天大师团队进行设计的,分为两大主题,预设家庭生活场景,围绕家庭成员的居住方式,加载健身、书房、茶室、养宠等功能,展现生活的精致感与摩登感。
第二个亮点,是动静分离+客餐厅一体化设计,功能区和休息区互不干扰,客餐厅、厨房等公共活动区集中在一侧,卧室等休息区全部一侧,保证了私密性!
第三个亮点,是尺度感!得益于高得房率,客餐厅朝南面宽大,衔接宽阔大阳台,而且像两间卧室都能轻松放下双人床,尤其是对于单身或两口之家,次卧完全可以成为X空间,工作室、电竞房、书房等尽可创意想象!
第四个亮点,是南向主卧套房设计,不仅能放得下2*1.8米双人床,且还能保留约1米的过道;同时带独立卫生间和大飘窗,增强私密性。

104㎡3户型特点:该户型多为楼栋的东边套,是一个观景户型。客厅连接270°阳台,视野出众。双卧朝南,阳光满溢。从次卫布局看,如果家庭人口较少,该户型还能做成双套卧。
此外,还具有独立储藏间,非常难得。该户型比较适合三口之家或三代同堂居住。
建面约103㎡3房2卫
该户型适合三口之家或年轻家庭居住的动静分区户型,厨房、餐厅、客厅及阳台一体化设计,动静完全分区设计,相当人性化。
主卧套房设计满满尊崇感,次卫三分离干湿分区设计,考量十分贴心。
建面约103㎡2+1房2卫
该户型的精髓是“+1”的灵动空间,可随着家庭结构和需求随心个性定制,书房、学习区、游戏区,女王化妆间等。
若维持两房,你将拥双开间大横厅设计及宽景阳台。同时,次卫设计取巧,可以做成套卧,那就是双套房。
值得一提,主卧套房空间阔绰,刚需面积改善的尺度,摆两个床头柜和衣柜空间都绰绰有余,床尾即使再放置柜子也不影响过道通行。

全球奢装品牌领衔,装修豪华。
项目装修配置堪称豪华,空调、地暖为大金或三菱重工(或同档次其它品牌),热水器选用瑞美或能率(或同档次其它品牌);新风为霍尼韦尔或大金(或同档次其它品牌)。
厨电5件套(油烟机、三眼燃气灶、洗碗机、烤箱、冰箱)均为美诺或斯麦格(或同档次其它品牌);水槽和龙头采用铂浪高或弗兰卡(或同档次其它品牌)。同时配置三玻两腔隔音降噪玻璃。
项目样板间实景图

洪南山宅240街坊也曾经是老闸北区著名的棚户区,该街坊于2019年年初启动征收。洪南山宅240街坊项目开辟了市区联手、两级联动的融资新模式。
效果示意图
四至范围:东至302a-05、302a-06地块、南至中华新路、302a-12地块,西至共和新路(南北高架)、302a-07、302a-11地块,北至南山路、302a-03地块。
根据出让合同显示,规划用地面积31352.4平方米,地上计容面积为95624.82平方米,容积率为3.05,地块限高100米。该地块将新增926套住宅。
根据设计方案显示,该地块共规划了7幢层高在15-33层不等的高层,其中1号楼19,2号楼27层(局部24层),3号楼15层,4号楼33层,5号楼17层,6号楼为30层(局部20层),7号楼30层。
而北侧靠近南山路一侧还规划一幢最高6层的养老设施用房。在小区南北两侧的中华新路和南山路分别设有机动车出入口。
「静安玺樾」不仅拥有近约10w方规模的完整社区空间,还通过景观花园、泛会所等空间打造出满足儿童玩乐、家人休闲锻炼、社交会客的全年龄人群需求的豪宅优等社区。
项目园林由业界知名的奥雅设计操刀设计,打造了一个”翡光礼境“景观社区。
规划了“翡色五境”五大空间氛围,匠造融入时光、人文海派、自然与艺术、家庭与邻里的“四轴、三园、五区、一所”四大功能空间。
设计了“春赏花、夏赏绿、秋赏叶、冬赏姿”四季有景的长效花园,呈现四季景观皆不同的诗意雅致生活氛围。

翡色五境社区氛围
翡廊境:尊享连廊的归家体验
翡林境:绿荫包裹的林下漫步
翡溪境:舒适惬意的绿意溪径
翡湾境:放空归静的心灵港湾
翡屿境:欢乐温馨的家庭氛围
社区景观打造上还考虑了空间的功能丰富性,打造了三大花园空间:中心港湾花园、水溪花园,西入口归家花园,实现社区内各区域景观不同的丰富视觉盛宴~
林下空间用于会客、洽谈、休憩使用,零距离接触自然景观,惬意万分~
五大运动活力系统
精心设计的环绕社区的400m跑道系统串联热身区、定制主题儿童活动区、老年健身区、活力健身区和休憩缓冲区五大运动活力系统,家人在社区内锻炼身体的祥和画面呼之欲出。

户外定制化主题儿童区+架空层泛会所构成双儿童系统,以“秘境童话专列”的火车主题串联儿童活动空间,兼顾全年龄儿童不同游玩体验。
更有贴心细节设计:儿童活动区和老年健身区的器械均考虑防磕碰设计,地面均采用塑胶,以防磕碰受伤。
架空层位于5#楼王位置楼栋,用作泛会所空间,为孩子提供不受天气影响的社区活动空间,实属优秀~
与常规社区的三重归家礼序不同的是,「静安玺樾」创造出升级版“四轴”归家体系:气派入口门楼,精致艺术的归家廊厅,全区花园式入户以及仪式水系轴线空间。让你从社区大门开始就能感受到身为业主的尊崇感~
更值得一提的是,「静安玺樾」还设计了更加人性化的室内通行归家路线,更优于社区风雨连廊的设计,业主从南入口保安亭后方的电梯厅可以直达设计了采光排风井的B1层归家,不走地面社区道路就能免受风吹日晒,安全归家。
海派风格外立面+超低能耗住宅
建筑立面采用新海派风格,采用天然石材+真石漆+铝板设计打造,细节精致,线条流畅,优雅大气质感浑然天成。
与传统住宅截然不同的是,「静安玺樾」不惜成本打造了超低能耗住宅产品,将为业主带来一个四季如春的空间,享受到更加静谧的居住环境、更清新健康的空气、更安全的居住环境,还能降低更多的能耗!

从超一线装标到五星级地库,豪宅品质贯彻始终!
从装标上看,「静安玺樾」在装修标准上是下了功夫的,甚至可以说是“不惜成本”,超一线装标完全称得上“高配低价”这四个字!
中央空调、地暖、新风都是标配,室内厨卫都采用了国际一线品牌,让居住变得更为舒适的同时给足业主体验感和尊崇感。

尤其让人惊艳的还有项目豪掷重金为业主打造的五星级地库!
项目车库采用贯穿式鱼尾灯坡道和超耐磨地坪,过道全部采用精装吊顶,地下管道和局部区域进行二次包裹!尤其惊艳的是项目的豪华车马厅,采用水磨石、水晶漆、铝饰面、大板砖、立柱石材包边、门禁系统三合一!
如此用心着力只为给所有业主营造出独属的尊崇归家礼仪!



物业服务方面,有万科物业保驾护航!
万科物业,相信不用多说,全国一级物业资质,连续多年蝉联全国物业排名第一!
作为国内第一家通过ISO9002国际质量管理体系认证的物业管理企业,屡获殊荣。
万科物业进驻上海31年!多年口碑积攒下好评如潮,被业内誉为“最懂上海的物业”!
此次进驻「静安玺樾」,万科物业除了将为社区提供优质服务外,并将额外定制提供增值服务,包括:
更整洁的社区:12小时的保洁+夜间值班保洁;
更省心的居家:每年一次空调清洗,每三年一次地暖保养;
更历久弥新的建筑:每年一次外墙清洗。
交通方面:项目直线距离8号线中兴路站直线约580米,1号线中山北路站直线约800米,距离3/4号线宝山路站约1.4公里,自驾方面,可以通过南北高架、内环高架通往市区,也可通过内环到达市区各个方向。

商业方面:项目周边配套成熟,购物便利,大型商业2公里内还有静安大悦城、万象天地、大宁永光、大宁国际等高端商业配套,周边还有规划中的百万方中兴城商业综合体。
静安大悦城
教育方面:闸北区三中心小学、永兴路第二小学、青云中学、市北初级中学等。(新房不承诺对口学校,具体以实际为准)
市北初级中学

医疗方面:三甲医院环伺,为您和家人的健康保驾护航。项目周边有上海第十人民医院分院、上海市中医医院、上海市第一人民医院、上海第十人民医院、同济大学附属口腔医院等等。

生态休闲:在市区寸土寸金的环境下,周边还有芷江绿地、中兴公园等。
静安玺樾售楼处电话:400-8118-224【售楼中心热线】静安玺樾营销中心热线400-8118-224静安玺樾售楼处地址400-8118-224,楼盘项目全面介绍,本电话为开发商提供线上预约售楼电话,楼盘项目全面介绍(包含楼盘简介,均价,房价,现房,期房,别墅,叠墅,大平层,价格,楼盘地址,户型图,交通规划,备案价,备案名,项目配套,样板间,开盘时间,认筹时间,楼盘详情,售楼处电话,最新消息,最新详情,周边配套,一房一价,最新进展等详情咨询)楼盘详情丨价格丨更多优惠丨机不可失丨欢迎致电丨诚邀品鉴!售楼处位置丨特价房丨工抵房丨剩余房源丨户型图丨最新消息丨免责声明:将文章内容综合来源于网络、只作分享,版权归原作者所有!!如有侵权,请联系我们,我们第一时间处理如有问题欢迎来电咨询,专业一对一热情服务,让您用专业眼光去买房。如果您想了解更多楼盘详情,欢迎提前预约拨打静安玺樾售楼处电话400-8118-224
2026年中国房地产十大趋势猜想:告别“一刀切”,拥抱“结构为王”的新时代
核心摘要:2026年,中国房地产市场的底层逻辑将完成深刻转换。普涨普跌的时代彻底终结,一个以结构性分化为最显著特征的新阶段正在到来。市场的表现将不再由单一政策或情绪驱动,而是深刻取决于城市能级、板块价值、产品品质与真实需求的精确匹配。理解并顺应这一趋势,将成为所有市场参与者——从政策制定者、开发商到每一位购房者——做出明智决策的关键。
一、前瞻基础:2026年市场运行的四大支柱与五大变数
任何理性的预测都需建立在明确的假设之上。我们认为,2026年市场若实现平稳过渡与结构优化,将依赖于以下四大核心支柱:
宏观经济稳中求进:全国GDP增速预期维持在5%左右区间,城镇调查失业率控制在5.5%以内,居民人均可支配收入实现4.8%-5.2%的同比增长,为住房消费提供最根本的收入支撑。
行业风险有效收敛:头部房企债务重组持续推进,融资环境边际改善,平均融资成本有望从高位下降0.3-0.5个百分点,至4.5%-5.5%。“保交楼”专项工作取得决定性成果,市场信心得以巩固。
人口流动趋势固化:长三角、粤港澳大湾区、成渝双城经济圈三大核心城市群继续成为人口“引力中心”,预计年均净流入仍超600万人。与此同时,部分东北、中西部人口流出地区的收缩将趋于平缓,年均人口减少率预计控制在1%-1.5%。
政策框架延续优化:中央政策定力延续,核心方向从“抑制过热”全面转向“防范风险”和“提振需求”。以支持“好房子”建设、推进城市更新、优化限购限贷为代表的“供给侧改革”与“需求侧管理”政策组合将持续发力。
然而,以下五大潜在风险可能改变市场运行轨迹:
经济增长不及预期:若GDP增速低于4.5%,居民就业与收入预期转弱,可能导致改善型需求占比从预期的40%回落至35%以下。
政策力度与节奏偏差:核心城市限制性政策松绑不彻底或滞后,可能使需求释放延后3-6个月;交易税费若未能进一步优化,将直接抑制置换链条的启动。
保障性住房分流效应:若2026年全国保障性租赁住房新开工量超过200万套,可能对市场化租赁房源造成冲击,导致租金回报率下降2-3个百分点,影响投资性购房的测算模型。
土地市场持续遇冷:核心城市优质涉宅用地流拍率若超过15%,将加剧未来新房供应短缺,可能引发二手房价格在特定区域的短期非理性波动。
长效机制试点加速:房地产税试点扩大或现房销售制度推进速度快于预期,可能在短期内对市场情绪形成扰动。
二、十大趋势猜想:洞察结构分化的具体图谱
猜想一:二手房交易量历史性超越新房,市场进入存量主导时代
核心依据:土地新增供应收缩是不可逆趋势。预测2026年全国新房销售面积约为7.1亿平方米(同比-4.1%),而二手房成交面积则有望达到8.0亿平方米(同比+3.9%),实现存量对增量的首次全面反超。“带押过户”全面推行极大提升了二手房的流通效率。
影响与对策:
对开发商:必须重新定位新房价值,避免与二手房在总价上直接“肉搏”。应聚焦于提供二手房无法比拟的前瞻性设计、尖端科技应用与高品质社区服务,例如打造健康宅、智慧社区。
对购房者:首次置业群体应更务实,将配套成熟、即买即住的市区二手次新房作为重要选择。改善群体则可利用“卖一买一”的置换链条,关注开发商提供的“换新一站式”服务。
猜想二:“好房子”从概念走向标配,品质溢价时代来临
核心依据:政策已明确将“好房子”作为行业新发展模式的核心。北京、广州、杭州等超20个城市已出台具体建设导则。同时,超过4000万户家庭居住在建成年代久远、设施老旧的房屋中,升级改善需求庞大且迫切。
影响与对策:
对行业:房地产的开发逻辑将从“高周转、标准化”转向“精细化、个性化”。绿色建筑(如国标三星级)、健康住宅(WELL标准)、智慧家居系统将成为高端项目的基础配置,并产生10%-15%的明确溢价。
对购房者:需建立“品质价值”评估体系,重点关注项目的得房率、层高、窗地比、隔音性能、绿色建材等硬性指标,以及物业服务的品牌与标准。
猜想三:限制性购房政策全面退出,需求在分化中释放
核心依据:2025年末北京优化五环内限购政策,释放了明确的政策风向标。在“因城施策”框架下,除个别超核心区域外,绝大多数城市的限购政策将在2026年完成其历史使命,退出舞台。
影响与对策:
市场表现:政策松绑将带来需求的一次性脉冲式释放,但此后市场将迅速回归基本面。核心城市核心区的改善型房源将率先回暖,呈现“量升价稳”;而缺乏人口和产业支撑的城市,松绑效应将很快衰减。
决策关键:购房者应警惕“松绑狂欢”后的市场冷静期,切勿盲目追高。决策应更坚定地基于家庭长期工作生活规划,而非短期政策刺激。
猜想四:房价底部区域确立,但“K型分化”无可避免
核心依据:从量价关系看,全国住宅市场供求已逐步走向新的平衡点。70个大中城市房价数据显示,整体跌势已显著收窄,部分城市环比止跌,市场底部特征日益清晰。
影响与对策:
分化维度:分化将在城市、板块、产品三个维度上剧烈展开。同一城市内,拥有顶级学区、产业或稀缺景观资源的板块,与普通郊区的价差将持续拉大。产品上,高品质改善户型与“老破小”的命运将截然不同。
置业逻辑:必须放弃“买房必赚”的旧思维,接受“部分资产上涨、部分资产阴跌”的新常态。资产配置应坚决向“核心城市的优质板块中的好产品”集中。
猜想五:改善型需求成为市场中流砥柱,催生“新改善”产品
核心依据:我国住房自有率已处于高位,市场驱动力正从“首次置业”转向“居住升级”。预测2026年改善型需求(含置换)占比将提升至40%,其中“卖一买一”的链条置换需求占主导。
影响与对策:
产品变革:开发商需深刻理解“新改善”需求:它不仅是面积增大,更是对家庭互动空间(LDK一体化)、居家办公空间、适老化设计、社区社交场域的全面升级。120-180平方米的“功能型改善”户型将成为主流。
服务升级:与房屋硬件相匹配的“软性服务”价值凸显。优质的物业服务、社区文化建设、乃至链接的教育医疗资源,都将成为项目的核心竞争力。
(以下为基于同样逻辑延展的补充猜想)
猜想六:租赁与购买“并重”格局深化,租赁房源品质大幅提升
核心依据:保障性租赁住房大规模入市与市场化长租公寓品牌化发展,共同推动租赁住房成为可靠的居住选择。租购同权在子女教育、公共服务等领域的推进,将改变“重购轻租”的观念。
影响:租赁市场本身将出现分化,品质好、服务优的房源租金将保持坚挺,并吸引更多追求灵活性与生活品质的年轻人。购房决策中,租金回报率将成为更重要的考量指标。
猜想七:房企格局重塑,专业化与轻资产模式迎来机遇
核心依据:高杠杆、高负债的扩张模式难以为继。拥有独特产品力、出色运营能力或成本控制能力的房企将幸存并壮大。
影响:行业出现新分工:大型国央企和少数优质民企主导开发;专业代建、商业运营、物业服务机构迎来黄金发展期。购房者应更加关注项目实际操盘方的口碑与实力。
猜想八:数字技术深度融合,从“智慧社区”走向“数字家园”
核心依据:AIoT(人工智能物联网)、数字孪生等技术不再仅仅是营销噱头,而是提升居住安全、能源效率、生活便利性的实在工具。
影响:未来的住宅将是深度数字化的生活终端。购房时,房屋的数字基建设施(如全屋智能预埋管线)、数据安全协议、可持续的智慧服务平台将成为新的价值评估维度。
猜想九:城市更新成为核心战场,主城价值迎来重估
核心依据:新增建设用地稀缺,城市发展从外延扩张转向内涵提质。中心城区的存量建筑更新、老旧小区改造、工业用地转型,将释放大量位于优越地段的土地和物业价值。
影响:位于主城更新板块、由优质主体操盘的“存量焕新”项目,因其不可复制的区位和成熟的配套,将受到市场追捧。这类项目是分享城市核心红利的重要载体。
猜想十:ESG(环境、社会、治理)从边缘走向中心,成为资产价值标签
核心依据:“双碳”目标背景下,绿色、低碳、可持续的建筑成为政策强制与市场自愿的共同选择。同时,负责任的投资理念日益深入人心。
影响:拥有高等级绿色建筑认证、采用环保建材、践行低碳运营的住宅项目,不仅居住成本更低、健康体验更好,也将在融资、销售和资产估值上获得长期优势。ESG表现将成为衡量资产优劣的重要标尺。
结语:在分化中寻找确定性
2026年的中国房地产市场,将是一个“选择远大于努力”的市场。普涨时代的结束,意味着无差别的资产升值盛宴已成过去。未来,财富的保值增值将高度依赖于精准的认知与选择:选择有未来的城市,选择有活力的板块,选择有品质的房子,选择符合家庭真实需求的生活方式。
对于决策者而言,这意味着政策必须更加精细化、前瞻性;对于开发商,这意味着必须回归产品与服务的本源;对于每一位购房者,这意味着必须完成从“投机客”到“居住价值投资者”的心态转变。在“结构为王”的新时代,唯有深刻理解并顺应分化的逻辑,才能穿越周期,找到属于自己的那份确定性。
静安玺樾官方售楼处电话:400-8118-224【售楼中心热线】营销中心热线400-811-8224官方网站售楼处地址 楼盘好不好?多少钱?能不能买?优缺点!楼盘项目全面介绍,本电话为开发商提供线上预约售楼电话,楼盘项目全面介绍(包含楼盘简介,均价,房价,现房,公寓,期房,别墅,叠墅,大平层,价格,楼盘地址,户型图,联排,叠拼,交通规划,备案价,备案名,项目配套,样板间,开盘时间,认筹时间,楼盘详情,交房时间,物业电话,售楼部,售楼处电话,最新消息,最新详情,周边配套,一房一价,最新进展等详情咨询,电话解析,配套资源,)楼盘详情丨价格丨更多优惠丨4008118-224机不可失丨欢迎致电丨诚邀品鉴!售楼处位置丨特价房丨工抵房丨剩余房源丨户型图丨最新消息丨免责声明:将文章内容综合来源于网络、只作分享,版权归原作者所有!!如有侵权,请联系我们。(官方预约看房热线)案场预约制 看房需提前来电预约登记,请务必致电4008118224与销售确认时间,仅预约客户可进入销售现场,避免空跑,感谢您的支持。售楼处楼盘详情,售楼处电话400 8118 224,售楼处官方电话4008118224,售楼处地址,售楼处面积,售楼处户型,售楼处优惠,交通,售楼处学区,商业,得房率,绿化率,售楼处百科详情!请看图文解析
声明:本文由入驻焦点开放平台的作者撰写,除焦点官方账号外,观点仅代表作者本人,不代表焦点立场。


