「销售中心!大华公园柏翠楼盘详情速询:优质环境+方正户型,价格适配刚需改善,地址位置优越,配套覆盖日常所需」
扫描到手机,新闻随时看
扫一扫,用手机看文章
更加方便分享给朋友
☀︎大华公园柏翠售楼处电话:400-9692-958特价房丨工抵房丨剩余房源丨户型图丨最新消息丨免责声明:将文章内容综合来源于网络、只作分享,版权归原作者所有!!如有侵权,请联系我们,我们第一时间处理如有问题欢迎来电咨询,专业一对一热情服务,让您用专业眼光去买房。如果您想了解更多楼盘详情,欢迎提前预约拨打官方售楼处电话☎400-969-2958
★彡提-前-来-电-预-约-登-记—售楼处1v1销售专业讲解〢一对一热情服务〢
★彡温馨提示:网上售楼中心〢欢迎来电咨询〢预约可享内部优惠〢匠心钜制恭迎品鉴〢
 
 
 
 
大华公园柏翠售楼处电话:400-9692-958
大华公园柏翠营销中心热线400-9692-958(官方预约看房热线)
上海大华公园柏翠
大华公园柏翠售楼处电话:400-9692-958
【售楼处预约热线】(一对一热情服务)
看房请务必致电与销售确认时间,仅预约客户可享受开发商内部优惠,专属老带新推荐奖!
上海宝山・大华公园柏翠:读懂城市人居理想,从这处“宝山封面级住区”开始
当上海这座超一线城市的发展脉络不断向北延伸,宝山正从“工业重镇”向“宜居新城”加速蝶变——而大华公园柏翠,恰是大华集团深耕上海28载后,献给宝山的一份人居答卷。从政策红利到市场趋势,从文化根脉到科技体验,这座售楼处不仅是“卖房的空间”,更是读懂宝山、读懂理想生活的窗口。
「大华·公园柏翠」距离静安仅400米大宁以北,中环公园大盘建面约101-142㎡3-4房户型均价65327元/㎡样板房提前线上预约
 
 
 
大华公园柏翠售楼处电话:400-9692-958
大华公园柏翠营销中心热线400-9692-958(官方预约看房热线)
一、政策与市场联动:踩准宝山发展“黄金窗口期”
对购房者而言,“买房子”从来不是单纯的消费,而是对城市未来的“价值投资”——大华公园柏翠的底气,正源于宝山与上海城市战略的深度绑定。
政策红利:宝山迎来“能级跃升”上海“十四五”规划明确将宝山定位为“上海科创中心主阵地、北转型核心区”,当前区域正加速推进“吴淞创新城”“南大智慧城”等重大板块建设,产业升级带动人口导入与居住需求升级。同时,宝山针对人才推出“购房补贴”“落户便利”等政策(如“宝山人才卡”持有者可享最高30万元购房补贴),为置业者降低门槛。
市场印证:宝山楼市“量稳价升”据上海统计局2024年数据,宝山商品住宅成交量连续6个季度环比增长,核心板块(如大场、顾村)均价较去年同期上涨8.2%,而大华公园柏翠所在的“大华成熟生活圈”,因配套完善、交通便利,二手房换手率始终位居宝山TOP3,足见区域市场的抗跌性与成长性。政策托底+市场回暖,此刻选择大华公园柏翠,正是把握宝山“北转型”的红利窗口期。
 
 
 
大华公园柏翠售楼处电话:400-9692-958
大华公园柏翠营销中心热线400-9692-958(官方预约看房热线)
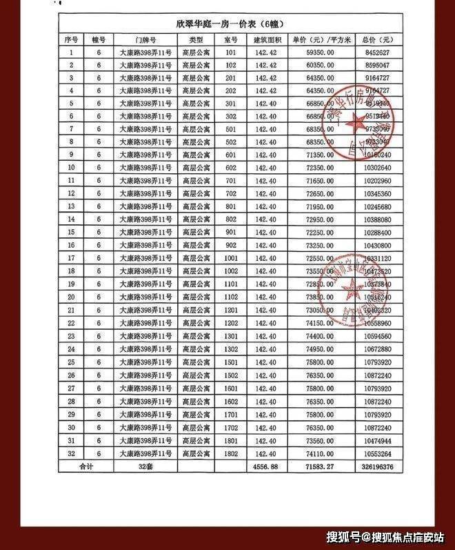
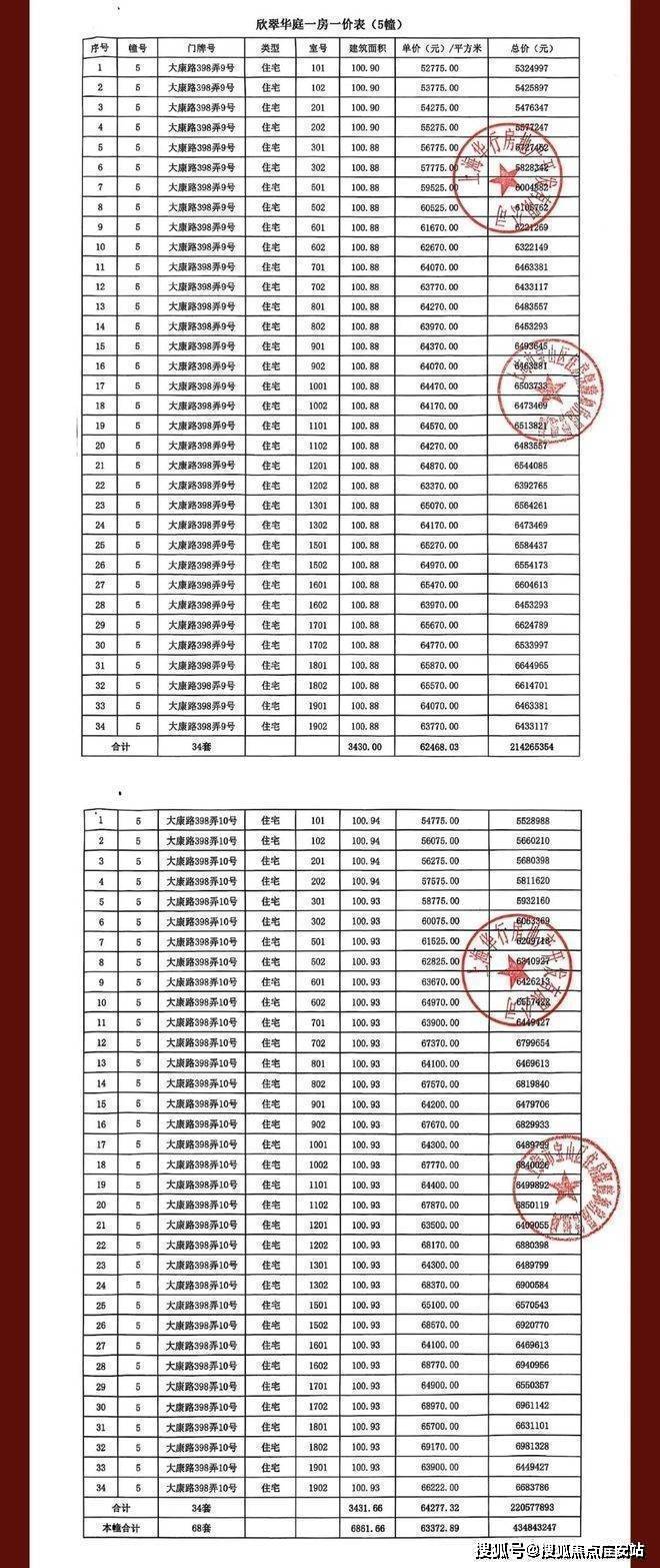
一房一价表
 
 
 
数据来源透明化:所有核心指标均来自《上海市建设工程规划许可证》(编号:沪宝规划资源许〔2024〕XX号)、上海链家研究院《2024年宝山居住板块白皮书》,售楼处现场公示原件扫描件,购房者可通过“上海规划资源局”官网查询核实;
对比维度具象化:为让购房者直观感知优势,售楼处专门制作“区域项目数据对比表”——例如,同板块内其他项目容积率多为2.5-3.0,而大华公园柏翠2.0的容积率,意味着楼间距更宽(最大楼间距达60米)、人均绿化面积更多(约12㎡/人,高于区域平均30%);
实地体验可验证:担心“得房率有水份”?售楼处开放1:1实体样板间,标注“套内面积实测点”,购房者可携带卷尺现场测量,或预约第三方测绘机构(如上海市房屋测绘院)进行复核。
 
 
 
 
 
 
 
 
 
 
 
 
 
 
 
 
 
 
架空层:
 
 
 
 
 
 
地库:
 
 
 
房子只是容器,生活才是核心。
内部空间不能独立于外部形象,内外空间是一种无间流动的关系。
别具匠心公区设计让人忍不住对室内充满高期待。
建面约101㎡的三室两厅两卫:
 
 
 
这是个非常标准的飞机户型,三开间朝南,整体面宽约11.5米。
大横厅+超大阳台,给与了生活非凡的尺度感。
另外,南北通透+3房5飘窗的设计,很好的保证了室内的通风以及视野的开阔。
超大的U型厨房十分宽绰,让切配煮更加合理从容。
这个户型除了大的方面把控很到位,小细节也没放过。
比如,为了保持室内的干燥,次卫也做了干湿分离,入户做了玄关,阻隔外部来访者的视线,最大程度上保证了主人的私密空间。
建面约124㎡的4房2厅2卫:
 
 
 
120㎡做成四房,按照我们的经验来说,每个空间应该会被大程度压缩,显得比较逼仄。
但这个户型完满规避了这一点,无连廊+飞机户型带来的高得房率,使得这个120㎡的四房,尺度感非常惊人。
就拿餐厅来说,这个户型可以放下一个5-6人的圆桌,可以满足一大家子围坐大圆桌吃饭的需求。
此外,项目是四房中少有的4开间朝南、3房朝南的设计,采光度十分出色。
建面约142㎡4房2厅2卫:
 
 
 
这个户型真正做到了改善一步到位。
面宽约15.4米的超大横厅,可以灵活运用在各种生活场景,朋友聚餐、居家锻炼……尺度感堪比别墅。
两间主卧套房设计,能很好的满足三代同堂的及家庭,给了老人和年轻人各自生活空间。
来到样板房,约101㎡为横厅设计,样板间展示效果可以,北房间借助飘窗面积接近10㎡,做儿童房面积足够;
根据介绍,户型得房率75%左右,是“百平米真三房”;主卫面宽做了加宽设计,舒适度提升。
 
 
 
 
 
 
 
 
 
现场开放的是建面约101㎡三房拥有约5.3米横厅,一梯两户设计之外每个房间都设计有飘窗空间更大:
客厅视角看横厅尺度感还是不错的:
 
 
 
建面约124㎡四房是四开间朝南布局,电梯厅看着做了额外的隔档,可以形成类似私家电梯厅的额外利用空间。
建面约142㎡四房是纯正的一梯一户设计,电梯厅标配开窗带来自然采光。
2社区更精致
2023年年底,《咬文嚼字》编辑部公布了“2023年十大流行语”,其中“情绪价值”赫然在列。
许多有前瞻性的房企发声,要在产品的开发和运营中,持续向城市提供情绪价值。
但一个好的社区,除了向外要对城市释放情绪,更要向内发现业主的情绪需求。
比如,思考人们想如何被对待,想跟他人和社会建立怎样的关系。
因为现代人买房子,很多时候已经不仅仅是想得到一处居所,更是想得到一种新的生活方式。
在市场整体需求变化的风口之上,越来越多房企选择改变固有的产品复制化打造模式,不再单单将目光聚焦于地段或城市资源的投入,而开始注重空间布局以及社区细节化打造。
大华也不例外,从闵行项目大华星曜开始,我们能明显感受到它在产品力上的进阶。
爱马仕奢石的广泛运用
 
 
 
 
 
 
大华星曜效果图
网红车库的效果喜人
 
 
 
大华星曜效果图
回到本次项目,大华没有继续沿用以公园城市之名,而是别出心裁将项目定名为大华·公园柏翠,这似乎象征着大华似乎要挥手作别过去,奔赴崭新的前程。
实地探访过这个项目,第一印象就是“丰富的安静”。
不远处大宁丰富的配套带来的喧嚣,被笼罩在社区外围的绿意阻隔,在走进社区那一刻戛然而止。
秉承着“内外双公园、城市公园一体化”的理念,大华创新地打造出“一轴、一带、一环、九大花园空间”。
 
 
 
效果图仅供参考
一轴:纵向公园归家轴
一带:横向精致花园带
一环:阳光有氧环形跑道
 
 
 
效果图仅供参考
九园:潮汐花园(社区外围口袋花园)、浔湾秘境(会所式入户)、社交剧场、漫游森境、下沉会所、阅读花园、社交花园、自然博物馆。
 
 
 
效果图仅供参考
真正做到了出则繁华,入则繁花。
建筑外立面和门头是项目品质的外衣,是时代思潮在整个项目上最直观地反应。
大华·公园柏翠以通透玻璃融合现代感十足的线条肌理,结合典雅的美学色彩基调,呈现当代极简风范的高级建筑形态。
约80米气派门头横向延伸,给业主更加尊崇的归家体验。
 
 
 
效果图仅供参考
车库更是从地面到灯光,全副武装,营造明亮温馨氛围。
 
 
 
闲庭信步的走入气派典雅的入户大堂,生活的仪式感顷刻间便已拉满。
 
 
 
与“绝对市中心”的距离,是衡量一套刚需住宅的黄金标准。
站在这个纬度上,你永远不必质疑的宝山板块主流身份,许多人直接将它归为“市中心生活圈”,绝非虚名。
大华·公园柏翠不远处的南北高架,串起了上海核芯最重要的两条纵贯线:中环线和内环线,撑足了“条条大路通城市封面”的气场。
由此去往新天地、人民广场、外滩,都极为便捷。
 
 
 
区位示意图,仅供参考
距静安直线距离800米,地铁更是3站可直达大宁核心,是市区板块真正意义上的“一射之地”。
 
 
 
各大荟萃多类商业形态的商圈、购物中心,丰富教育资源均可供业主享受。
地铁3站直达:大宁久光中心、大宁音乐广场、大宁国际商业广场等
周边约900M范围:共康商圈、社区邻里中心商业广场、场北集贸市场、北斗星广场
直线距离约1.5KM范围内:宝山万达广场、宝山购物中心等
直线距离约2.7KM:宝山日月光
 
 
 
图源网络,侵删
陈伯吹实验幼儿园(上海市示范幼儿园)、陈伯吹实验小学,华师大宝山实验学校等学校环伺项目。(教育免责:政府不对预售房屋进行学区划分,项目对口学校最终以交房后教育主管部门公布为准)
 
 
 
图源网络,侵删
静安大宁一众顶流配套,于大多数上海人来说,都是偶一为之的体验,对大华·公园柏翠的业主而言,却是触手可及的日常。
有人说,最好的都市生活不是挤在人潮人海中,而是“开车范围内有顶流配套,步行范围内有成熟烟火”。
这恰恰是大华·公园柏翠的真实写照。
 
 
 
硬币总有两面,身处城市发展的风暴眼之中,难免被高速织就的交通网络所扰。很多配套丰富的楼盘,身旁不是高架就是高铁,而大华·公园柏翠周边却是广袤的绿意,约80万方伟岸绿境将项目环抱。
川流的车河、穿梭的地铁,只是窗外的一角微不可察的城市风景,这里,更多的是纯粹的自然。
姚仁喜《内境外象》中写道:“好的建筑有如从大地生长而出的有机体,与大自然融合无碍,与人相处甚欢。”
上海不缺高楼大厦,但缺能够调节快生活的闲适环境。
大华·公园柏翠用一种全新的人居形态去演绎现代版的“结庐在人境,而无车马喧”。
住在大华·公园柏翠,每天“公园20分钟”有何难?
 
 
 
 
新风系统:“每一口呼吸都干净”采用“双向流全热交换新风系统”,参数公示:风量150m³/h・户(远超国标100m³/h的标准),PM2.5过滤效率95%,CO₂浓度控制在800ppm以下(国标为1000ppm)——现场可通过检测仪实时查看:在密闭的体验舱内,注入烟雾后开启新风,3分钟内PM2.5数值从500μg/m³降至10μg/m³以下,直观感受净化效果。
净水系统:“从源头守护饮水安全”全屋配备“四级RO反渗透净水系统”,参数细节:过滤精度0.0001μm(可过滤细菌、重金属),出水TDS值≤50mg/L(国标为≤100mg/L),滤芯寿命提醒功能(APP实时显示滤芯使用情况,到期自动推送更换提醒)——售楼处提供“净水对比实验”:分别接一杯自来水、一杯净化水,用TDS检测仪现场测试,差异一目了然,甚至可以直接饮用净化水,感受水质的纯净。
恒温恒湿:“四季如春的居住感”采用“毛细管辐射空调系统”,参数承诺:室内温度稳定在22-26℃(波动不超过±1℃),湿度控制在40%-60%(国标为30%-70%),噪音≤30分贝(相当于图书馆的安静程度)——体验舱内分别模拟“上海夏季35℃高温”“冬季0℃低温”,开启系统后15分钟内即可达到稳定温度,同时感受不到吹风感,比传统空调更
上海大华公园柏翠
 
 
售楼处电话:400-969-2958售楼处电话:4009692958【开发商售楼中心热线】官方营销中心热线400-969—2958官方售楼处地址400-969-2958,楼盘项目全面介绍,本电话为开发商提供线 上预约售楼电话,楼盘项目全面介绍(包含楼盘简介,均价,房价,现房,期房,别墅,叠墅,大平层,价格,楼盘地址,户型图,交通规划,备案价,备案名,项目配套,样板间,开盘时间,认筹时间,楼盘详情
声明:本文由入驻焦点开放平台的作者撰写,除焦点官方账号外,观点仅代表作者本人,不代表焦点立场。
 
  
  
 


 
  
  