紫薇之星地址(2025)上海普陀紫薇之星售楼处电话→楼盘百科→紫薇之星首页网站→楼盘百科→首页网站→24小时热线电话
扫描到手机,新闻随时看
扫一扫,用手机看文章
更加方便分享给朋友
上海普陀紫薇之星售楼处电话:400-9966-224【预约看房热线】紫薇之星售楼处营销中心:400-9966-224紫薇之星售楼处电话/地址☎:4009966224(开发商热线)如有问题欢迎来电咨询,专业一对一热情服务,让您用专业眼光去买房。一次800万级享受“亿级礼遇”的机会!
日前,小胖君参观了普陀智创城板块的新盘紫薇之星,内心触动颇多,真的想说一句:“品质之路,能超越宝华的只有宝华”。
一方面,紫薇之星4月20日开启认购,全实景亮相,户型为建面约98-122㎡3房及141-188㎡4房,接待会馆和样板间已开放!
另一方面,
上海普陀紫薇之星售楼处电话:400-9966-224【预约看房热线】紫薇之星售楼处营销中心:400-9966-224紫薇之星售楼处电话/地址☎:4009966224(开发商热线)
这次宝华携手东苑,邀请顶尖设计大师梁志天,共同打造上海海派私宅定制化样本。
直白点讲,作为中国现代简奢级教父人物,梁志天参与设计的通常是富豪、明星的上亿私宅,设计感超前、工艺精美,但施工难度高,极为耗时,因此只能定制化打造,无法批量落地。
而这次紫薇之星,把梁志天设计风格和要求的巨量颗粒度细节完美呈现,且私宅定制标准延展到公区,大堂、电梯、电梯厅、入户厅全覆盖,可谓全域高度定制。
私宅级交付标准,充分体现了宝华和东苑对品质的执着追求,不仅卷实景、卷车库、卷装标,更已精进到审美艺术高度。
上海普陀紫薇之星售楼处电话:400-9966-224【预约看房热线】紫薇之星售楼处营销中心:400-9966-224紫薇之星售楼处电话/地址☎:4009966224(开发商热线)
当其它开发商还在盯着硬件时,宝华和东苑已在琢磨如何让业主更艺术且优雅的生活,以设计艺术品态度建造房子,拔升了高端住宅的品味和调性。
同时这次私宅定制化的落地,于市场于购房者更着非凡意义。
于市场,打破原先“产品标准化”限制,为高端住宅新方向打了样;
于购房者,豪宅平权化让更多人有机会享受私宅才有的美学设计和精致细节;聚焦到紫薇之星,这应该是大家第一次有机会以800多万的价格享受家装领域TOP级的私宅体验。
首套即改善,私宅定制化
大家肯定好奇私宅定制化体现在什么地方?
1、最直观的是运用大量弧形造型,让各空间化身艺术空间。
弧线,是建筑语言中更具表现力的元素。在紫薇之星,弧线贯穿始终。
比如,小区入户大堂约6.2米挑高穹顶,运用极高曲率的弧形造型塑造震撼视觉,四个边的弧度很夸张,没办法预制,只能依靠工匠们在现场精细打磨。
从现场呈现效果看,四个边的收边都非常均匀。
楼栋入户大堂也采用同款穹顶,同样的施工难度再来一遍,只为让业主每一次归家都能沉浸在艺术氛围里。
上海普陀紫薇之星售楼处电话:400-9966-224【预约看房热线】紫薇之星售楼处营销中心:400-9966-224紫薇之星售楼处电话/地址☎:4009966224(开发商热线)
电梯轿厢门沿、进户门框皆以流畅弧线勾勒,为业主日常等电梯和归家增添几分优雅。
室内更夸张,无论墙面转角还是吊顶四周几乎都做了弧形处理,视觉更柔和的同时为空间注入更多优雅气息。
背景墙用了不同弧度曲面来表达,打破了传统方正、生硬的空间感受。
其实现在不少开发商在强调”弧线“,但像紫薇之星这样”全屋遍布“的极为少见,因为好看的代价是工艺难度高、成本高、施工周期长,无法批量化落地。
上海普陀紫薇之星售楼处电话:400-9966-224【预约看房热线】紫薇之星售楼处营销中心:400-9966-224紫薇之星售楼处电话/地址☎:4009966224(开发商热线)
2、国际化审美,色系高度统一,营造连贯和谐的视觉观感
实现单一空间的美感并非难事,然而要达成空间之间的连贯统一,则需要极致的巧思与细节把控。
印象最深的是,站在电梯厅,四周墙面、地面、天花板,包括电梯几乎都被同一种色系温暖包裹,为了更好与环境相融,电梯轿厢地面、呼叫面板采用意大利GUCCI红。
开启入户门,室内空间色调又与电梯厅高度统一,观感一气呵成。
这一点实在难能可贵,毕竟在大多数样板间里,电梯厅和室内空间往往由于采购商与施工方的不同,导致风格、色系等方面存在割裂感。
值得一提,一脉相承的色系让业主后期搭配家具也更容易。
3、使用奢石+大量石材,且颜色与装修风格统一
紫薇之星采用大量石材提升质感:
比如,小区入户大堂、一层入户大堂背景墙均铺设巴西银河白奢石;墙面则采用土耳其天悦米黄。
可见,在石材的选用过程中,项目充分考量搭配协调性。
此外,B1层大堂采用土耳其白玉兰、土耳其雅柏白;电梯轿厢背景还点缀白雪公主石材。
室内也有大量石材,卫生间墙面主角是“南斯拉夫白”,建面188㎡主客卫洗台背景墙使用巴西沁园春雪。

建面约188㎡主卫实拍
4、真正的定制化,使用大量细腻材质和精细手法升华空间品质
项目电梯厅和室内使用了大量皮革、金属、编织、车线元素,产品细腻度非常高。
入户门用皮革精心包裹,触感轻柔顺滑,高级质感扑面而来。同时,横向竖向内嵌的金属线条增强了入户门的立体感,使这扇门兼具实用功能与艺术美感。
上海普陀紫薇之星售楼处电话:400-9966-224【预约看房热线】紫薇之星售楼处营销中心:400-9966-224紫薇之星售楼处电话/地址☎:4009966224(开发商热线)
室内墙面及转角处内嵌金属线条。这些线条不仅是装饰,更在视觉上起到了延伸与过渡效果,让空间更具层次。
但你应该知道,这背后是大幅提升的成本、施工难度和施工周期。
值得一提,我还见到罕见的“编织”图案,这才叫高度定制化,其独特纹理与质感,与皮革、金属等元素相互呼应,共同造就紫薇之星的国际美学。
细节我不打算说太多了,各位可以到现场细细体味。但有必要分享一件事:
上海普陀紫薇之星售楼处电话:400-9966-224【预约看房热线】紫薇之星售楼处营销中心:400-9966-224紫薇之星售楼处电话/地址☎:4009966224(开发商热线)
项目负责人告诉我这轮样板间前后打磨了将近6个月。
你要知道,现在很多楼盘拿地3个月就出样板房了,这让我意识到私宅定制化可能只有像宝华和东苑这样的开发商才能落地。
因为不仅需要漫长的装修周期,对现场工艺的还原能力更是要求严苛,这无疑对开发商资金实力及产品精研能力提出很高要求。而宝华和东苑恰恰凭借雄厚的资金实力与卓越的产品打磨能力,多年来始终在市场中屹立,这些优势正是私宅定制化得以成功落地的坚实保障 。
全实景呈现,全域精装
在硬件方面,紫薇之星全实景呈现,全域精装。
项目实拍图
上海普陀紫薇之星售楼处电话:400-9966-224【预约看房热线】紫薇之星售楼处营销中心:400-9966-224紫薇之星售楼处电话/地址☎:4009966224(开发商热线)
这次项目外立面质感很特别,采用浅色系全石材干挂,巴西都伯斯金麻、宏宇金麻搭配铝板线条,看盘当天天气不错,在阳光照耀下,立面闪烁着温润光泽。
项目实拍图
上海普陀紫薇之星售楼处电话:400-9966-224【预约看房热线】紫薇之星售楼处营销中心:400-9966-224紫薇之星售楼处电话/地址☎:4009966224(开发商热线)
至于风雨连廊、名贵树种、石材地面等在其他项目或许是亮点,在紫薇之星只是标配(三棵100多年的朴树各具造型和姿态),不赘述了。
项目实拍图
有三个细节和大家分享一下:
第一,地面石材的铺设,不同方向采用不同纹理,细节精致到毫末。
项目实拍图
上海普陀紫薇之星售楼处电话:400-9966-224【预约看房热线】紫薇之星售楼处营销中心:400-9966-224紫薇之星售楼处电话/地址☎:4009966224(开发商热线)
第二,水景池采用挪威蓝珍珠打磨,花坛立面-压顶使用保加利亚沉香米黄,搭配堆坡景观,层次错落。
石、树、水,几乎每个高端项目都会有的元素,在紫薇之星却产生了奇妙的化学反应。
项目实拍图
第三,大草坪是宝华和东苑的拿手好戏,草坪的工整度是我参观过项目中数一数二的,见微知著,匠心可见一斑。
项目实拍图
上海普陀紫薇之星售楼处电话:400-9966-224【预约看房热线】紫薇之星售楼处营销中心:400-9966-224紫薇之星售楼处电话/地址☎:4009966224(开发商热线)
户型方面,项目推出建面约98-122㎡3房及141-188㎡4房。
标准层层高3.15米,满足“好房子”的标准。
建面约100-101㎡户型,拥类独立电梯厅,无连廊+飞机户型南北通透。
样板间视频如下:
四房为建面约141-188㎡。
其中188㎡为全景舱户型,我认为一半的价值在窗外,西侧直面桃浦中央公园。
格局上三卧朝南,其中有两个套间,满足了大家庭对于阳光和私密性的需求。
样板间视频如下:
智创城难得地铁房
最后关于地段和配套,紫薇之星有多重优势和利好。
首先,这是智创城目前所有项目中离11号线祁连山路站较近的地块,直线大概约700米,属于地铁房。
上海普陀紫薇之星售楼处电话:400-9966-224【预约看房热线】紫薇之星售楼处营销中心:400-9966-224紫薇之星售楼处电话/地址☎:4009966224(开发商热线)
同时区政府正积极推进轨道交通20号线西延伸服务桃浦智创城核心区的研究工作(信息来源:上海市人民政府网站)。网传20号线西沿线常和路站就在项目周边。(仅供参考,以官方发布的规划为准)
项目效果图,仅供参考,以实际交付为准
其次,紫薇之星商业便利,门口就是项目自带的商业及周边项目的商业配套,共同组成约5万方生活底盘。
且商业街区质感极高,立面用的是和紫薇之星相同的材质,同时预留了外摆,将社交元素融入到商业底盘中。
现在很多人都在说“松弛感”,住在这里,下楼就是桃浦中央公园和潮流商业带来的松弛体验,上楼就沉浸在私宅定制化带来的幸福感中。
此外,TOP智创A地块的桃浦湾已开业。
近期,普陀区官网发布了桃浦武威路TOD综合体规划信息,总开发体量达58万方。桃浦古浪路TOD上盖的70万方综合体目前已进入盘活程序,其一期近20万方的大型商业已封顶,进入将会满足桃浦智创城未来一站式的商业消费需求。
效果图仅供参考,具体以实际交付为准
第三,教育也迎来利好,去年12月普陀区人民政府与上海外国语大学签署合作办学协议,计划于桃浦智创城共建一所九年一贯制学校——上外附属桃李未来实验学校(暂定名),进一步推动普陀基础教育提质扩优,优化重点地区教育资源配置。
一篇文章很难写尽紫薇之星的亮点,但这样的项目写起来让人心情舒畅。我可以负责任说:
紫薇之星可以说是今年目前为止,在产品端带给市场惊喜更大的项目。
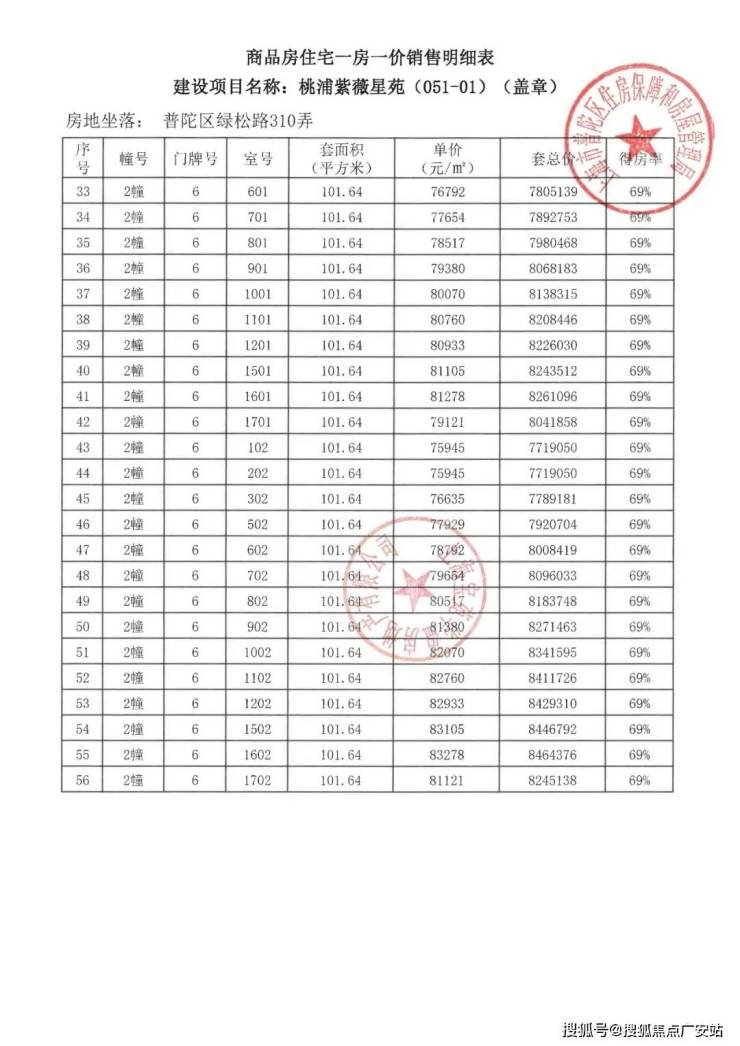
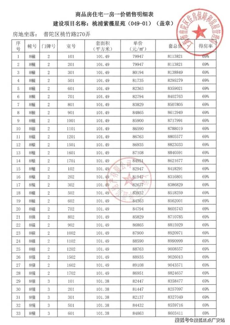
诚然,不可能所有项目都有这样的规格,但我理解的产品主义本就不是以价格来区分,而是态度。紫薇之星的出现再次让市场看到了宝华和东苑对于产品的态度。也正是因为有了这样的项目,让我这样有产品情结的人对这个市场充满希完整一房一价如下:
免责:本资料仅作为项目介绍之参考,不得作为要约或承诺。周边环境以现状勘察及政府规划文件为准。项目设计方案后期存在变更调整的可能,每套房源不同单元不同楼层均存在差异性。买卖双方的权利义务及交付标准以双方签订的《商品房预售/买卖合同》等书面文件为准。开发商保留在购买人未经通知的情况下对宣传资料修改的权利,敬请各购买人留意最新资料。本资料解释权归上海宝苑华盈房地产有限公司所有。本宣传资料自发布之日起有效期一个月。本项目推广名:紫薇之星;备案名:桃浦紫薇星苑
上海普陀紫薇之星售楼处电话:400-9966-224【预约看房热线】紫薇之星售楼处营销中心:400-9966-224紫薇之星售楼处电话/地址☎:4009966224(开发商热线)
声明:本文由入驻焦点开放平台的作者撰写,除焦点官方账号外,观点仅代表作者本人,不代表焦点立场。


